LEMON Manuals: Even more car manuals for everyone: 1960-2025
Home >> Nissan-Datsun >> 2002 >> Sentra SE-R, Automatic >> Repair and Diagnosis >> Electrical >> Gauges >> Instrument Panel >> Instrument Panel Assembly >> Removal and Installation
April 5, 2026: LEMON Manuals is launched! Read the announcement.

Removal and Installation

CAUTION:
  • Lock the CD changer unit mechanism (models with CD changer). Refer to LOCKING CD CHANGER UNIT MECHANISM
  • Disconnect both terminals from battery and wait three minutes.
  • Disconnect air bag module connectors in advance.
  • Be careful not to scratch pad and other parts.
  • Never tamper with or force air bag lid open, as this may adversely affect air bag performance.
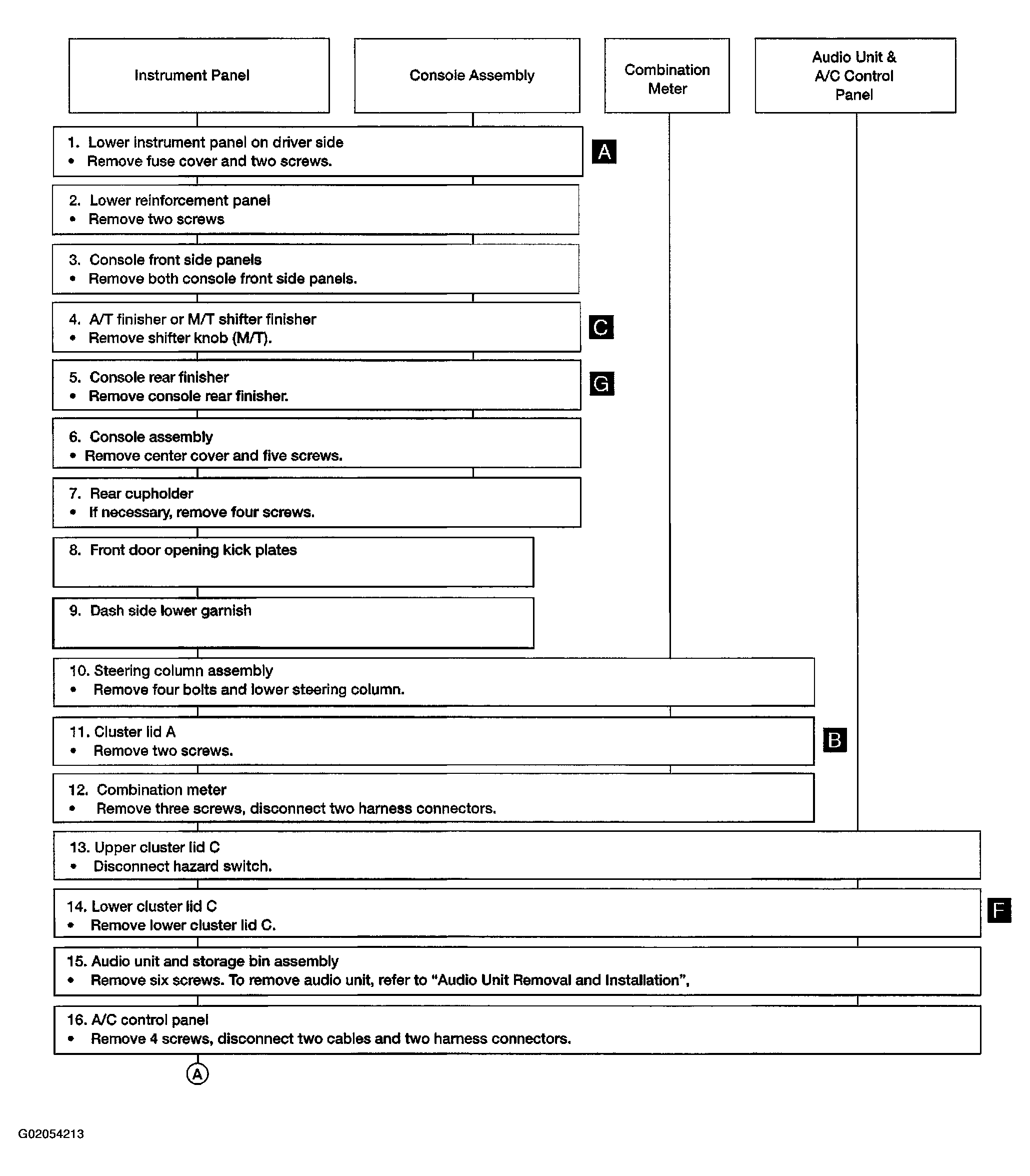
Fig 1: Removal & Installation Flow Chart (1 Of 2)
G02054213Courtesy of NISSAN MOTOR CO., U.S.A.
Fig 2: Removal & Installation Flow Chart (2 Of 2)
G02054214Courtesy of NISSAN MOTOR CO., U.S.A.
Fig 3: Exploded View Of Instrument Panel Assembly Components (1 Of 2)
G02054215Courtesy of NISSAN MOTOR CO., U.S.A.
Fig 4: Exploded View Of Instrument Panel Assembly Components (2 Of 2)
G02054216Courtesy of NISSAN MOTOR CO., U.S.A.