LEMON Manuals: Even more car manuals for everyone: 1960-2025
Home >> Nissan-Datsun >> 2003 >> Sentra SE-R, Automatic >> Repair and Diagnosis >> External Pages >> Different car >> Section 192 (Engine Controls - Self-Diagnostics) >> Scan Tool Usage >> Consult-II >> Data Monitor Mode Reference Values
April 5, 2026: LEMON Manuals is launched! Read the announcement.

Data Monitor Mode Reference Values

WARNING: This page is about a different car, the 2003 Infiniti G35. However, it is still accessible from the selected car via links, so may be relevant.

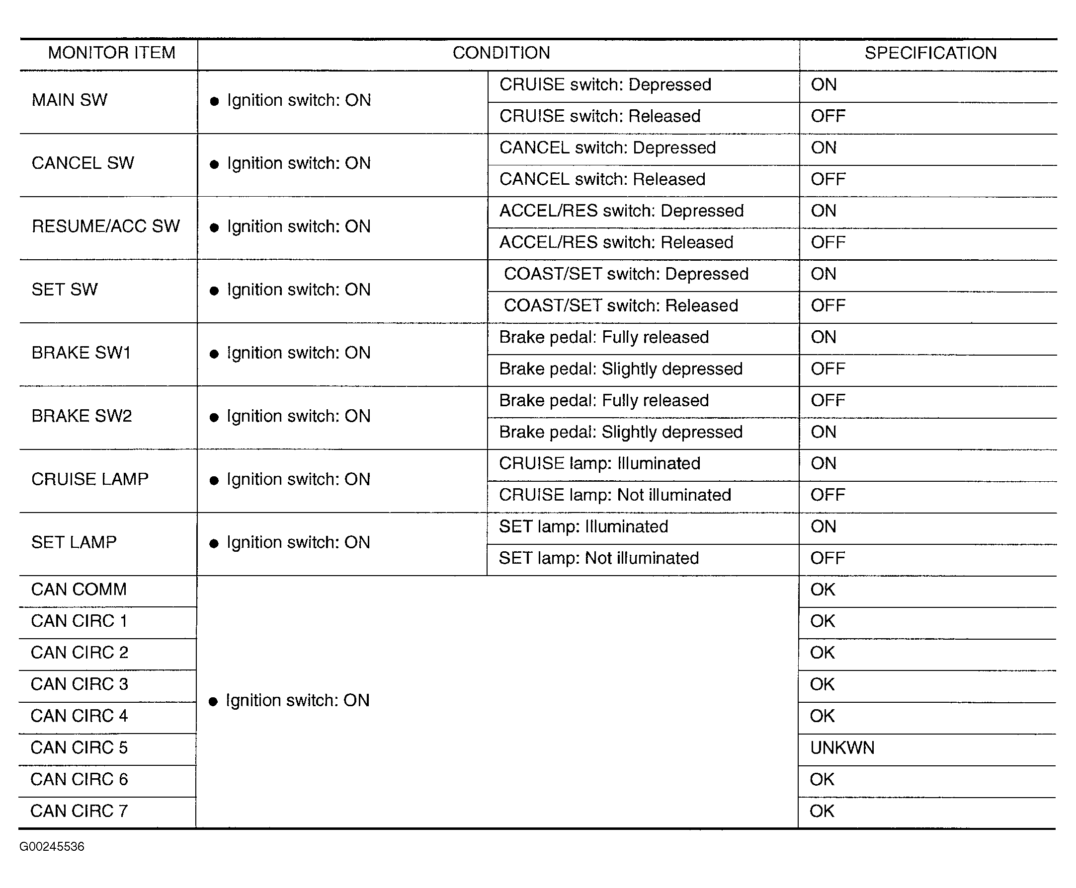
Reference values are normal values for components monitored by scan tool. For scan tool reference values, see Fig 1 -Fig 4 .

Fig 1: Data Monitor Mode Reference Values (1 Of 4)
G00245533Courtesy of NISSAN MOTOR CO., U.S.A.
Fig 2: Data Monitor Mode Reference Values (2 Of 4)
G00245534Courtesy of NISSAN MOTOR CO., U.S.A.
Fig 3: Data Monitor Mode Reference Values (3 Of 4)
G00245535Courtesy of NISSAN MOTOR CO., U.S.A.
Fig 4: Data Monitor Mode Reference Values (4 Of 4)
G00245536Courtesy of NISSAN MOTOR CO., U.S.A.