LEMON Manuals: Even more car manuals for everyone: 1960-2025
Home >> Nissan-Datsun >> 2003 >> Sentra SE-R, Automatic >> Repair and Diagnosis >> External Pages >> Different car >> Section 855 (Combination Meters) >> Combination Meters >> Can Communication System Inspection
April 5, 2026: LEMON Manuals is launched! Read the announcement.

Can Communication System Inspection

WARNING: This page is about a different car, the 2003 Nissan Murano. However, it is still accessible from the selected car via links, so may be relevant.
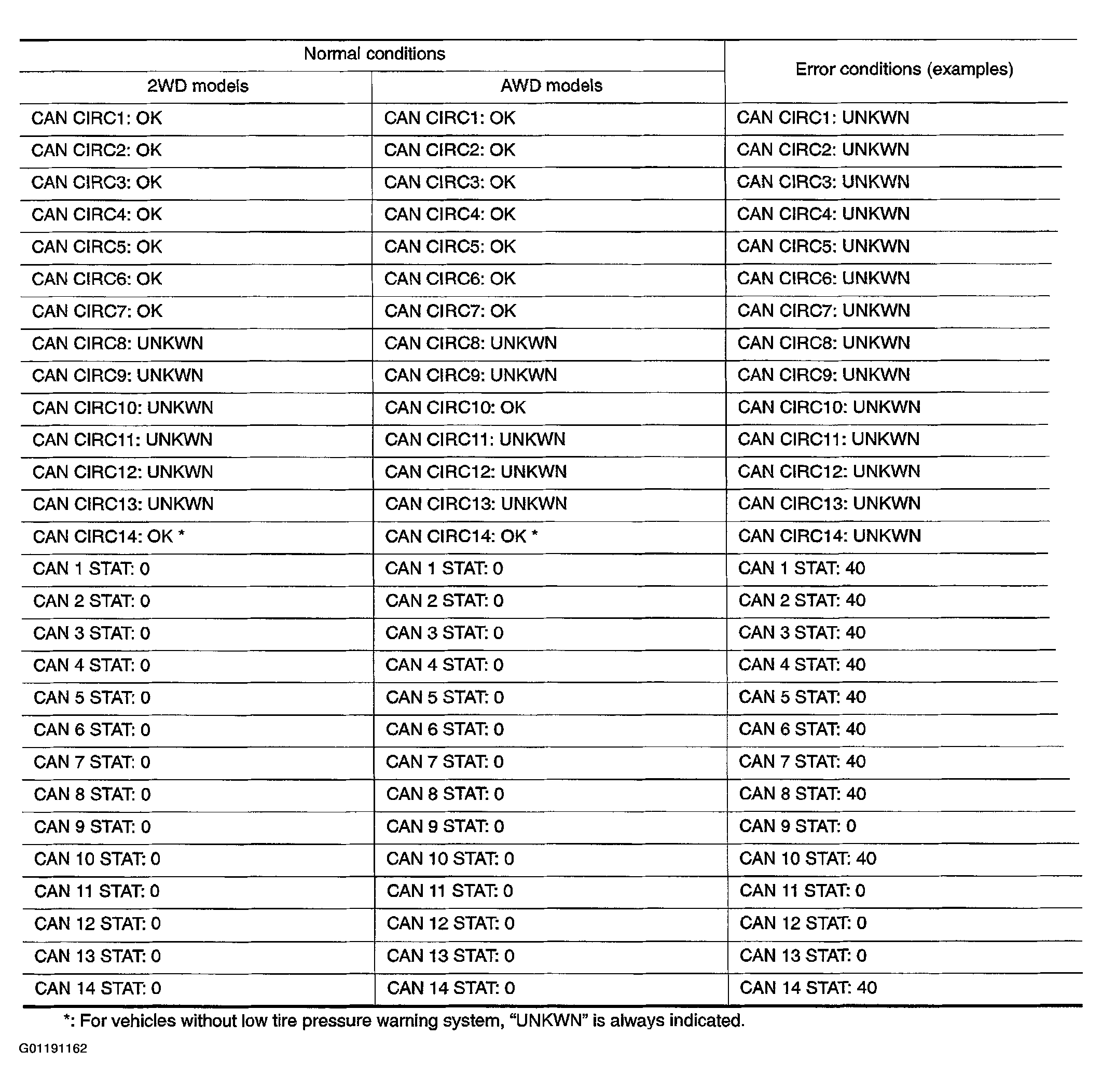
  1. CHECK CAN COMMUNICATION 
    1. Start engine.
    2. Select CAN DIAG SUPPORT MNTR in DATA MONITOR mode for METER A/C AMP with CONSULT-II.
    3. Print out CONSULT-II screen.
    Fig 1: CAN Communication System Inspection - Checking CAN Communication
    G01191162Courtesy of NISSAN MOTOR CO., U.S.A.
    1. : GO TO CAN system. Refer to PRECAUTIONS WHEN USING CONSULT-II .