LEMON Manuals: Even more car manuals for everyone: 1960-2025
Home >> Nissan-Datsun >> 2004 >> Sentra SE-R Spec V >> Repair and Diagnosis >> External Pages >> Different variant/trim >> Section 8 (Automatic Transaxle - Re4F03B) >> Trouble Diagnosis - Introduction >> Work Flow >> How To Perform Trouble Diagnoses For Quick And Accurate Repair
April 5, 2026: LEMON Manuals is launched! Read the announcement.

How To Perform Trouble Diagnoses For Quick And Accurate Repair

WARNING: This page is about a different variant/trim than selected.

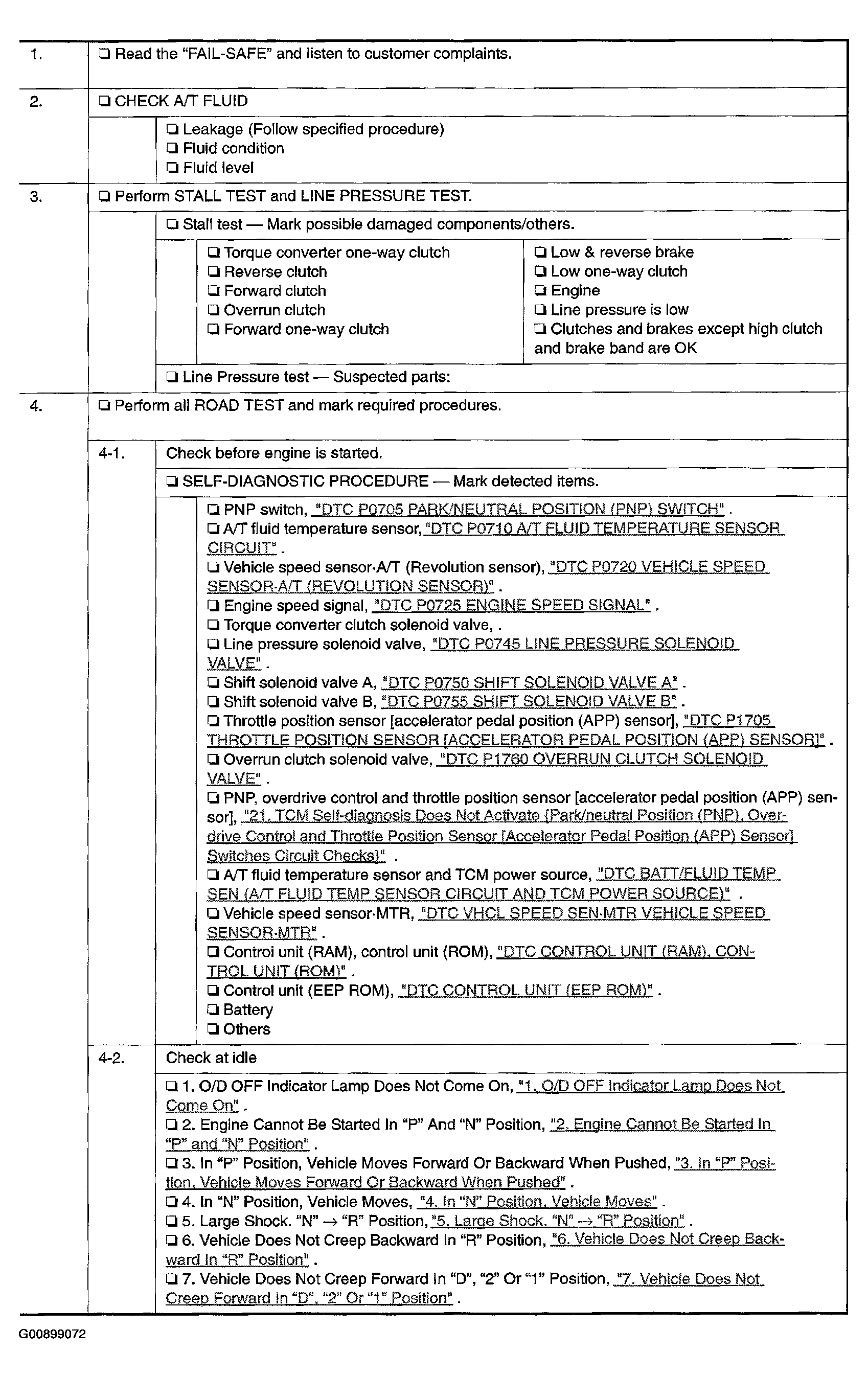
A good understanding of the malfunction conditions can make troubleshooting faster and more accurate. In general, each customer feels differently about a problem. It is important to fully understand the symptoms or conditions for a customer complaint.

Make good use of the two sheets provided, "Information from Customer" (Figure.) and "Diagnostic Worksheet" (Figure), to perform the best troubleshooting possible.