LEMON Manuals: Even more car manuals for everyone: 1960-2025
Home >> Nissan-Datsun >> 2004 >> Sentra SE-R >> Repair and Diagnosis >> External Pages >> Different car >> Section 412 (Engine Control System) >> Index For DTC >> Alphabetical Index
April 5, 2026: LEMON Manuals is launched! Read the announcement.

Alphabetical Index

WARNING: This page is about a different car, the 2004 Infiniti M45. However, it is still accessible from the selected car via links, so may be relevant.
NOTE: If DTC U1000 or U1001 is displayed with other DTC, first perform the trouble diagnosis for DTC U1000, U1001. Refer to DTC U1000, U1001 CAN COMMUNICATION LINE .
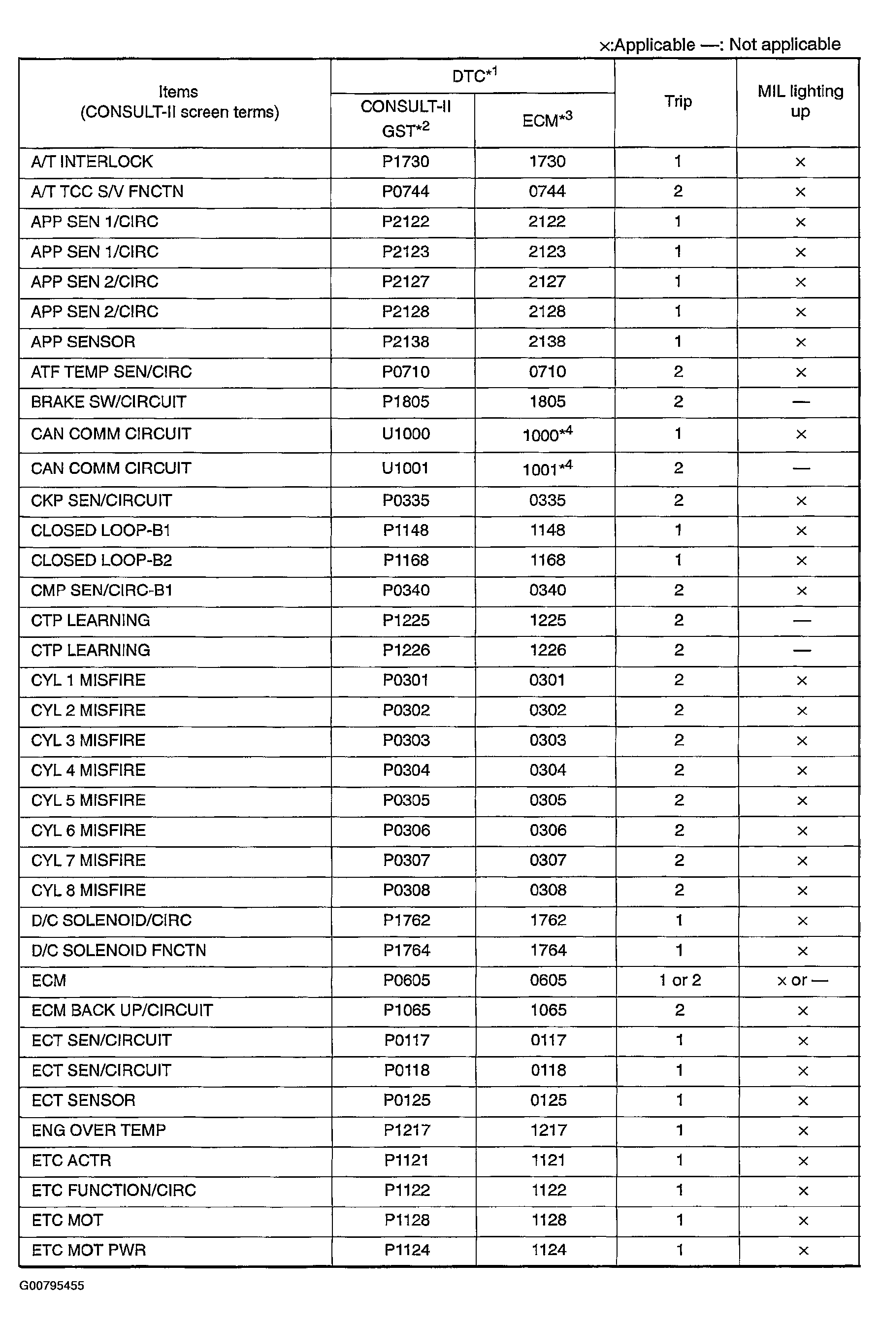
Fig 1: Identifying DTC Alphabetical Index Information (1 Of 4)
G00795455Courtesy of NISSAN MOTOR CO., U.S.A.
Fig 2: Identifying DTC Alphabetical Index Information (2 Of 4)
G00795456Courtesy of NISSAN MOTOR CO., U.S.A.
Fig 3: Identifying DTC Alphabetical Index Information (3 Of 4)
G00795457Courtesy of NISSAN MOTOR CO., U.S.A.
Fig 4: Identifying DTC Alphabetical Index Information (4 Of 4)
G00795458Courtesy of NISSAN MOTOR CO., U.S.A.