LEMON Manuals: Even more car manuals for everyone: 1960-2025
Home >> Nissan-Datsun >> 2004 >> Sentra SE-R >> Repair and Diagnosis >> External Pages >> Different car >> Section 412 (Engine Control System) >> Trouble Diagnosis >> Consult-II Function >> Data Monitor Mode >> Monitored Item
April 5, 2026: LEMON Manuals is launched! Read the announcement.

Monitored Item

WARNING: This page is about a different car, the 2004 Infiniti M45. However, it is still accessible from the selected car via links, so may be relevant.
Fig 1: Identifying Data Monitor Mode Information (1 Of 4)
G00795604Courtesy of NISSAN MOTOR CO., U.S.A.
Fig 2: Identifying Data Monitor Mode Information (2 Of 4)
G00795605Courtesy of NISSAN MOTOR CO., U.S.A.
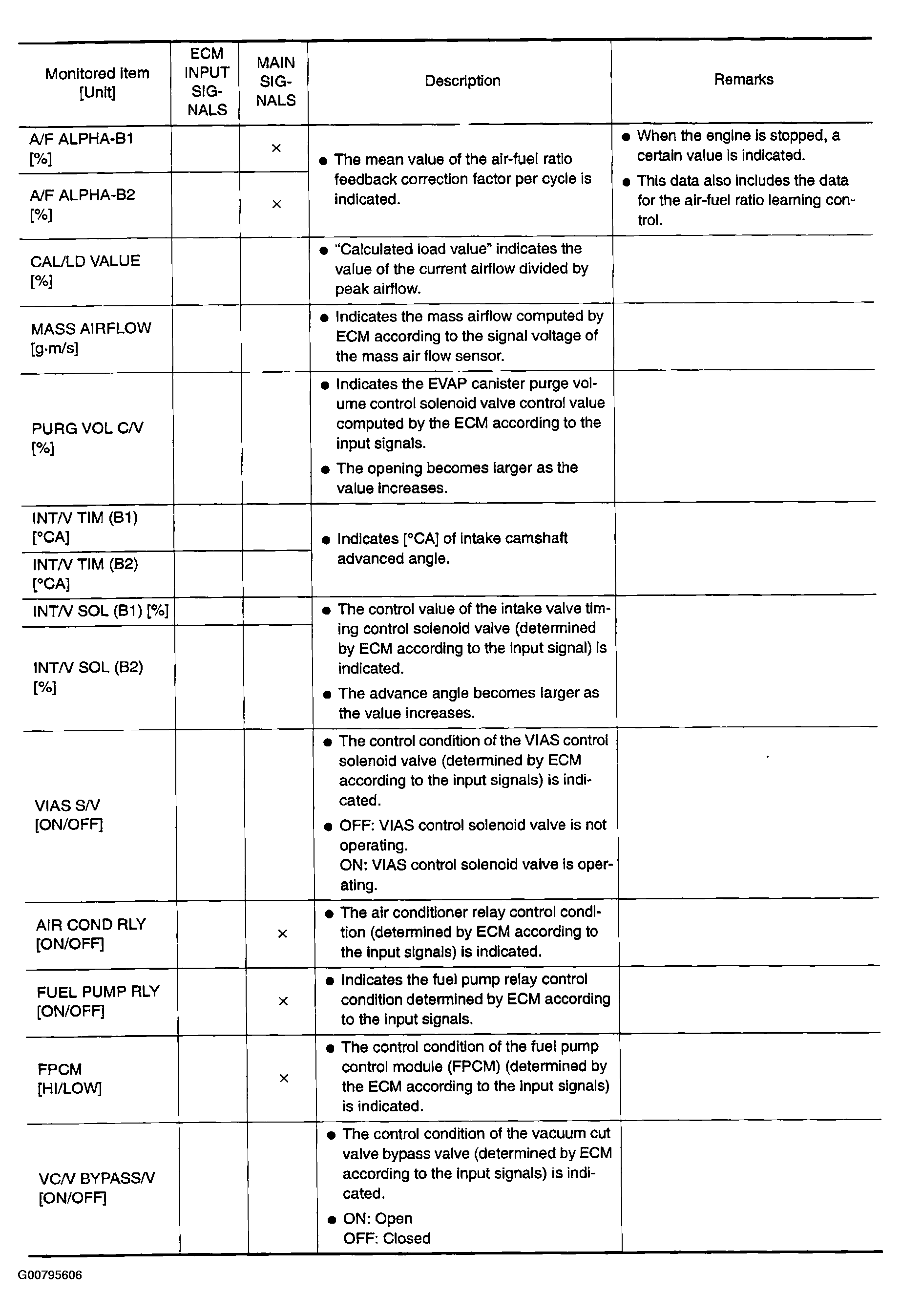
Fig 3: Identifying Data Monitor Mode Information (3 Of 4)
G00795606Courtesy of NISSAN MOTOR CO., U.S.A.
Fig 4: Identifying Data Monitor Mode Information (4 Of 4)
G00795607Courtesy of NISSAN MOTOR CO., U.S.A.
NOTE: Any monitored item that does not match the vehicle being diagnosed is deleted from the display automatically.