LEMON Manuals: Even more car manuals for everyone: 1960-2025
Home >> Nissan-Datsun >> 2006 >> Altima SE-R, Automatic >> Repair and Diagnosis >> Body & Frame >> Door Locks >> Body, Lock & Security System >> Remote Keyless Entry System >> ID Code Entry Procedure >> KEYFOB Id Set Up Without Consult-II
April 5, 2026: LEMON Manuals is launched! Read the announcement.

KEYFOB Id Set Up Without Consult-II

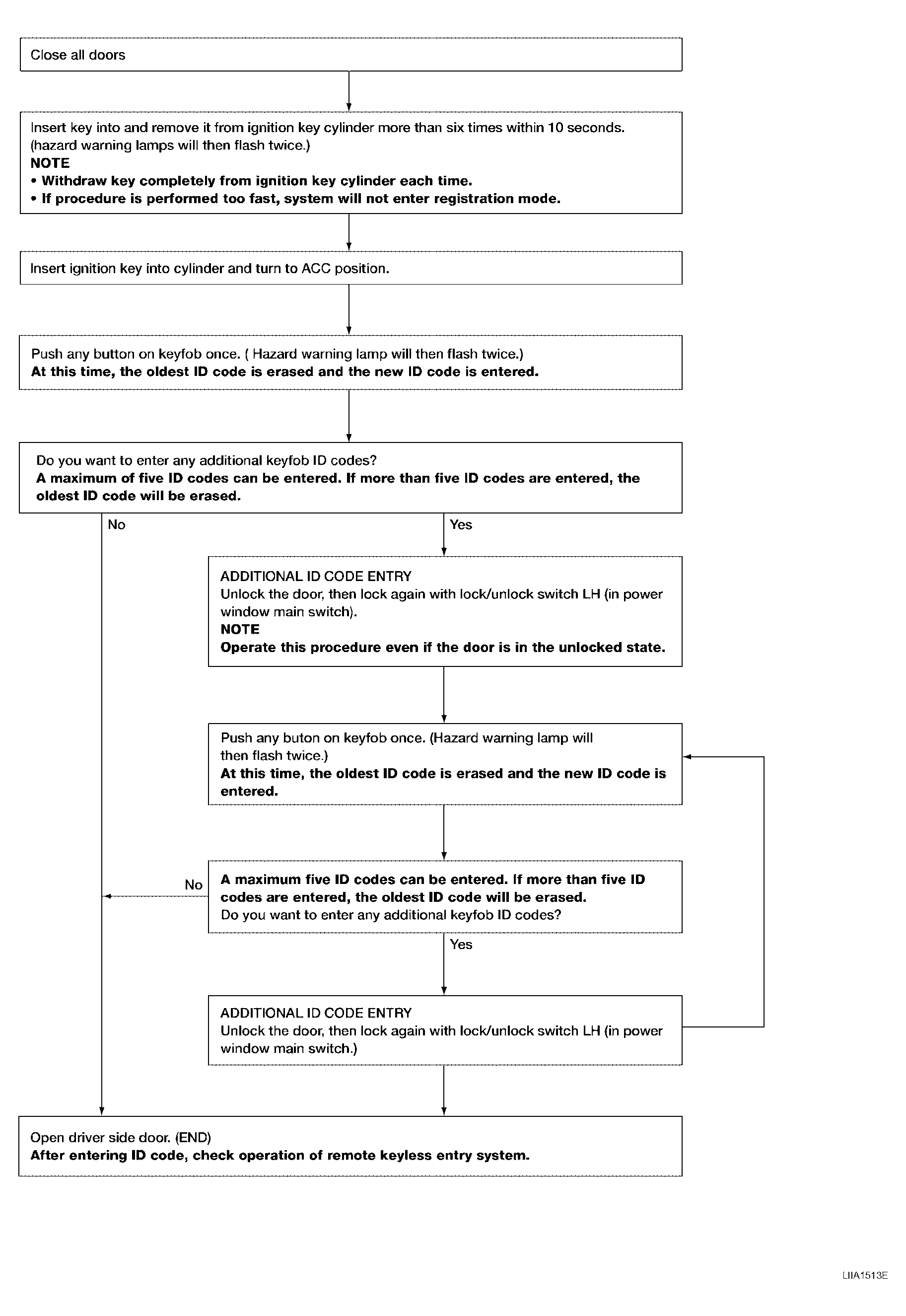
Fig 1: Flow Chart - Keyfob Id Set Up Without CONSULT-II
G04170133Courtesy of NISSAN MOTOR CO., U.S.A.
NOTE:
  • If a keyfob is lost, the ID code of the lost keyfob must be erased to prevent unauthorized use. A specific ID code can be erased with CONSULT-II. However, when the ID code of a lost keyfob is not known, all controller ID codes should be erased. After all ID codes are erased, the ID codes of all remaining and/or new keyfobs must be re-registered. To erase all ID codes in memory, register one ID code (keyfob) five times. After all ID codes are erased, the ID codes of all remaining and/or new keyfobs must be re-registered.
  • When registering an additional keyfob, the existing ID codes in memory may or may not be erased. If five ID codes are stored in memory, when an additional code is registered, only the oldest code is erased. If less than five ID codes are stored in memory, when an additional ID code is registered, the new ID code is added and no ID codes are erased.
  • If you need to activate more than two additional new keyfobs, repeat the procedure "Additional ID code entry" for each new keyfob.
  • Entry of maximum five ID codes is allowed. When more than five ID codes are entered, the oldest ID code will be erased.
  • Even if same ID code that is already in the memory is input, the same ID code can be entered. The code is counted as an additional code.