LEMON Manuals: Even more car manuals for everyone: 1960-2025
Home >> Nissan-Datsun >> 2006 >> Maxima SL >> Repair and Diagnosis >> Engine Performance >> System >> Engine Control System - DTCS P1211 To P2A03 >> DTC P1402 EGR Function >> Description >> Component Description >> EGR Temperature Sensor
April 5, 2026: LEMON Manuals is launched! Read the announcement.

EGR Temperature Sensor

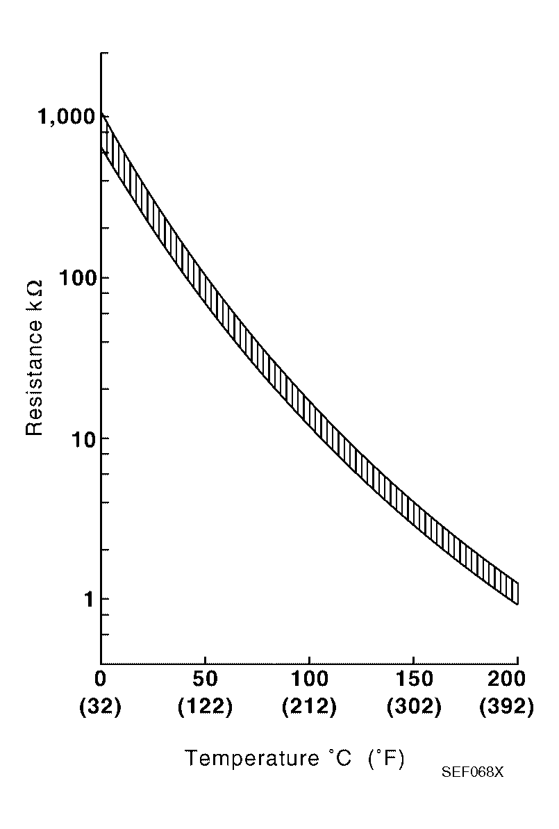
The EGR temperature sensor detects temperature changes in the EGR passageway. When the EGR volume control valve opens, hot exhaust gases flow, and the temperature in the passageway changes. The EGR temperature sensor is a thermistor that modifies a voltage signal sent from the ECM. This modified signal then returns to the ECM as an input signal. As the temperature increases, EGR temperature sensor resistance decreases.

This sensor is not directly used to control the engine system. It is used only for the on board diagnosis.

Fig 1: Sectional View Of EGR Temperature Sensor
G04160707Courtesy of NISSAN MOTOR CO., U.S.A.

< Reference data> 

EGR TEMPERATURE VOLTAGE & RESISTANCE

EGR temperature °C (°F) Voltage(1) V Resistance MΩ,
0 (32) 4.59 0.73 - 0.88
50 (122) 2.32 0.074 - 0.082
100 (212) 0.62 0.011 - 0.014
(1) This data is reference value and is measured between ECM terminal 54 (EGR temperature sensor) and ground.
CAUTION: Do not use ECM ground terminals when measuring input/output voltage. Doing so may damage the ECM's transistor. Use a ground other than ECM terminals, such as the ground.
When EGR system is operating.
Voltage: 0 - 1.5V
Fig 2: Resistance And Temperature Graph
G04160708Courtesy of NISSAN MOTOR CO., U.S.A.