LEMON Manuals: Even more car manuals for everyone: 1960-2025
Home >> Nissan-Datsun >> 2008 >> Altima Base >> Repair and Diagnosis >> External Pages >> Different variant/trim >> Section 17 (Engine Control System (Hybrid)) >> Basic Inspection >> Diagnosis And Repair Workflow >> Work Flow >> Overall Sequence
April 5, 2026: LEMON Manuals is launched! Read the announcement.

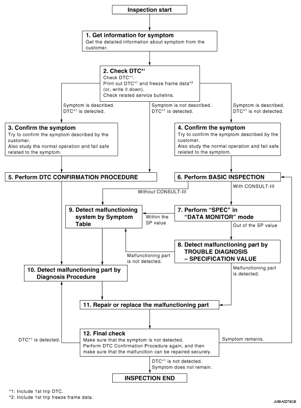
Overall Sequence

WARNING: This page is about a different variant/trim than selected.
Fig 1: Diagnosis And Repair Workflow Chart
G05694863Courtesy of NISSAN MOTOR CO., U.S.A.