LEMON Manuals: Even more car manuals for everyone: 1960-2025
Home >> Nissan-Datsun >> 2008 >> Rogue SL, AWD >> Repair and Diagnosis >> Engine Performance >> Engine Control Systems >> Engine Control System (Except For CALIFORNIA) >> Function Diagnosis [USA (Federal) And CANADA] >> Cooling Fan Control >> System Description >> System Description
April 5, 2026: LEMON Manuals is launched! Read the announcement.

System Description

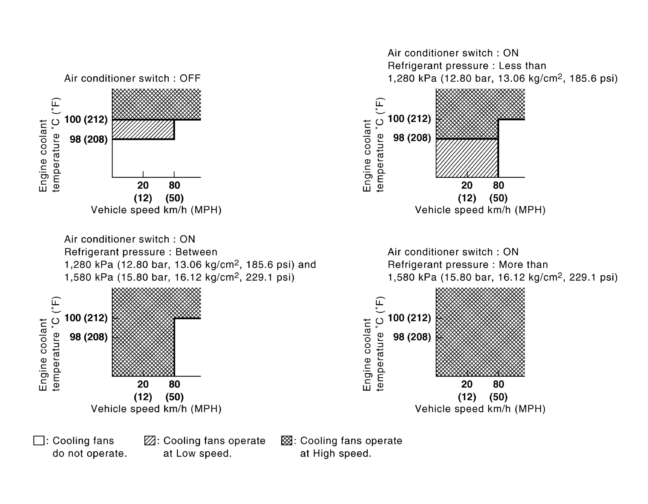
ECM controls cooling fan speed corresponding to vehicle speed, engine coolant temperature, refrigerant pressure, air conditioner ON signal. Then control system has 3-step control [HIGH/LOW/OFF].

Cooling Fan Operation

Fig 1: Cooling Fan Operation Chart
G05369512

Cooling Fan Relay Operation

The ECM controls cooling fan relays through CAN communication line.

REFERENCE CHART

Cooling fan speed Cooling fan relay
1 2 3 4 5
Stop (OFF) OFF OFF OFF OFF OFF
Low (LOW) OFF OFF OFF ON OFF
High (HI) ON ON ON OFF ON