LEMON Manuals: Even more car manuals for everyone: 1960-2025
Home >> Nissan-Datsun >> 2009 >> Cube Base >> Repair and Diagnosis >> Engine Performance >> System >> Engine Control System - Introduction >> Basic Inspection >> Diagnosis And Repair Work Flow >> Work Flow >> Overall Sequence
April 5, 2026: LEMON Manuals is launched! Read the announcement.

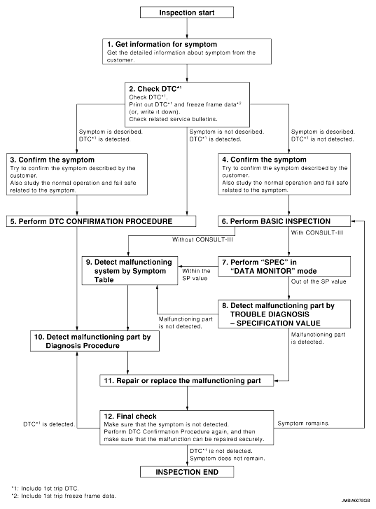
Overall Sequence

Fig 1: Diagnosis And Repair Workflow Chart
G04886354Courtesy of NISSAN MOTOR CO., U.S.A.