LEMON Manuals: Even more car manuals for everyone: 1960-2025
Home >> Nissan-Datsun >> 2009 >> Sentra SE-R >> Repair and Diagnosis >> External Pages >> Different variant/trim >> Section 12 (Engine Control System - DTCS P0643 To P2A00 (MR20DE-CALIFORNIA)) >> DTC P1217 Engine Over Temperature >> System Description >> System Description
April 5, 2026: LEMON Manuals is launched! Read the announcement.

System Description

WARNING: This page is about a different variant/trim than selected.
NOTE:
  • If DTC P1217 is displayed with DTC UXXXX, first perform the trouble diagnosis for DTC UXXXX.
  • If DTC P1217 is displayed with DTC P0607, first perform the trouble diagnosis for DTC P0607. Refer to DTC P0607 ECM .

Cooling Fan Control

ECM SIGNAL REFERENCE

Sensor Input Signal to ECM ECM function Actuator
Crankshaft position sensor (POS)
Camshaft position sensor (PHASE)
Engine speed(1) Cooling fan control
  • IPDM E/R (Cooling fan relays-1, -2 and -3)
  • Cooling fan relays-4 and -5
Battery Battery voltage(1)
ABS actuator and electric unit (control unit) Vehicle speed(2)
Combination meter
Engine coolant temperature sensor Engine coolant temperature
Air conditioner switch Air conditioner ON signal(2)
Refrigerant pressure sensor Refrigerant pressure
(1) The ECM determines the start signal status by the signals of engine speed and battery voltage.
(2) This signal is sent to ECM through CAN communication line.

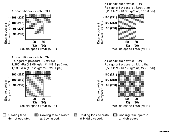
The ECM controls the cooling fan corresponding to the vehicle speed, engine coolant temperature, refrigerant pressure, and air conditioner ON signal. The control system has 4-step control [HIGH/MIDDLE/LOW/OFF].

Cooling Fan Operation

Models with A/C 

Fig 1: Engine Coolant Temperature Graph (Models With A/C)
G04925508Courtesy of NISSAN MOTOR CO., U.S.A.

Models without A/C 

Fig 2: Engine Coolant Temperature Graph (Models Without A/C)
G04925509Courtesy of NISSAN MOTOR CO., U.S.A.

Cooling Fan Relay Operation

The ECM controls cooling fan relays through CAN communication line.

COOLING FAN RELAY REFERENCE

Cooling fan speed Cooling fan relay
1 2 3 4 5
Stop (OFF) OFF OFF OFF OFF OFF
Low (LOW) OFF OFF OFF ON OFF
Middle (MID) ON OFF OFF OFF ON
High (HI) ON ON ON OFF ON