LEMON Manuals: Even more car manuals for everyone: 1960-2025
Home >> Nissan-Datsun >> 2011 >> Altima Base >> Repair and Diagnosis (Single Page) >> Restraints >> Restraints Control Systems >> SRS Airbag Control System (Except Hybrid) >> Basic Inspection >> Diagnosis And Repair Work Flow >> Work Flow >> Overall Sequence
April 5, 2026: LEMON Manuals is launched! Read the announcement.

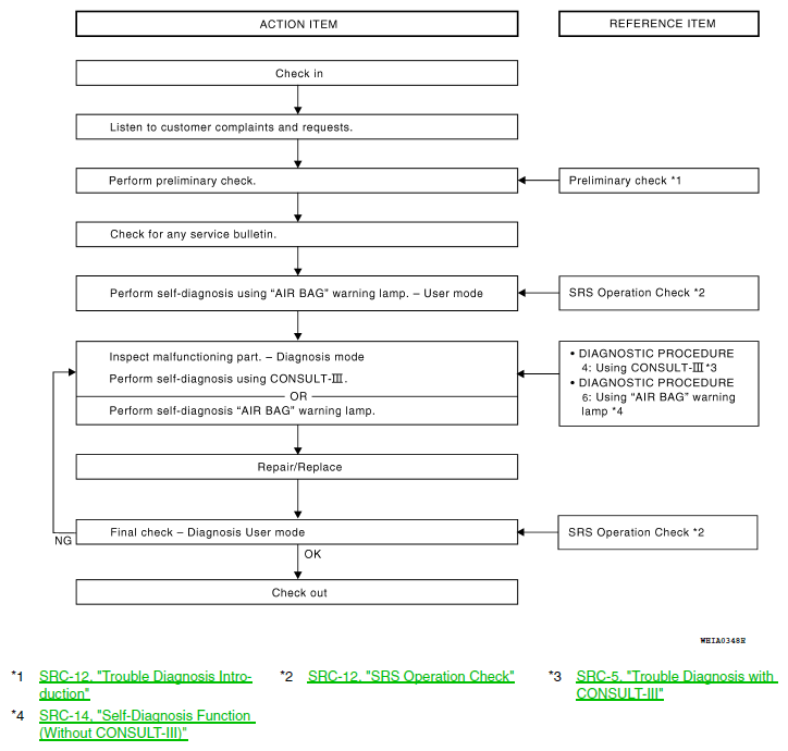
Overall Sequence

Fig 1: SRS Airbag Control System Diagnosis And Repair Work Flow Chart
G06997180Courtesy of NISSAN MOTOR CO., U.S.A.