LEMON Manuals: Even more car manuals for everyone: 1960-2025
Home >> Nissan-Datsun >> 2014 >> Juke SL, 4WD >> Repair and Diagnosis >> Engine Performance >> Testing & Diagnosis >> Engine Control System (Introduction) >> System Description >> System >> Direct Injection Gasoline System >> DIRECT INJECTION GASOLINE SYSTEM: System Diagram
April 5, 2026: LEMON Manuals is launched! Read the announcement.

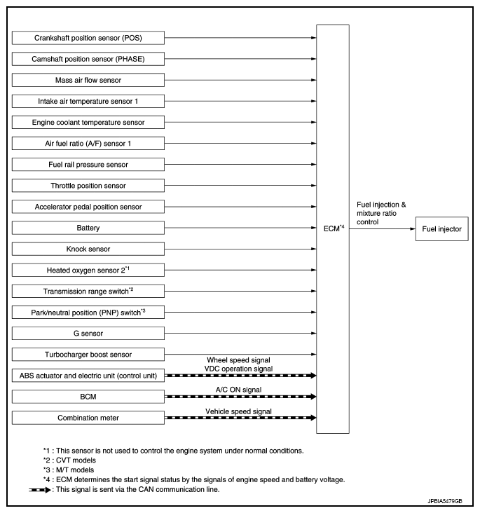
DIRECT INJECTION GASOLINE SYSTEM: System Diagram

Fig 1: Direct Injection Gasoline - System Diagram
G09246154Courtesy of NISSAN NORTH AMERICA, INC.