LEMON Manuals: Even more car manuals for everyone: 1960-2025
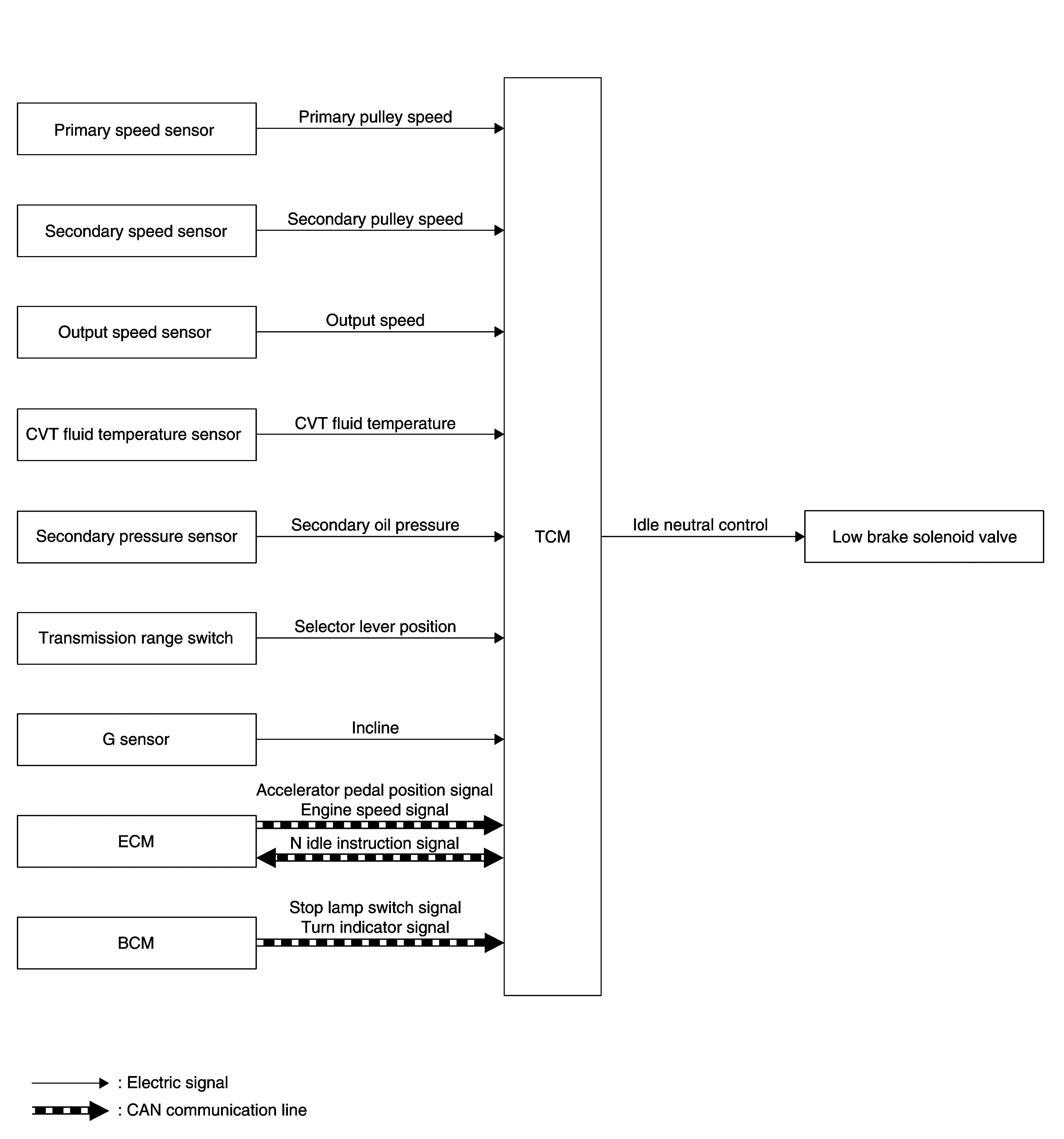
Home >> Nissan-Datsun >> 2019 >> Versa Note S >> Repair and Diagnosis >> Transmission >> Automatic Trans >> Automatic Transmission (Introduction And Basic Inspection) >> System Description >> System >> Idle Neutral Control >> System Description >> System Diagram
April 5, 2026: LEMON Manuals is launched! Read the announcement.

System Diagram

G08199935Courtesy of NISSAN NORTH AMERICA, INC.