LEMON Manuals: Even more car manuals for everyone: 1960-2025
Home >> Nissan-Datsun >> 2024 >> Altima S >> Repair and Diagnosis >> Body & Frame >> Door Locks >> Security Control System >> Basic Inspection >> Security Control System >> Diagnosis And Repair Work Flow >> Work Flow
April 5, 2026: LEMON Manuals is launched! Read the announcement.

Work Flow

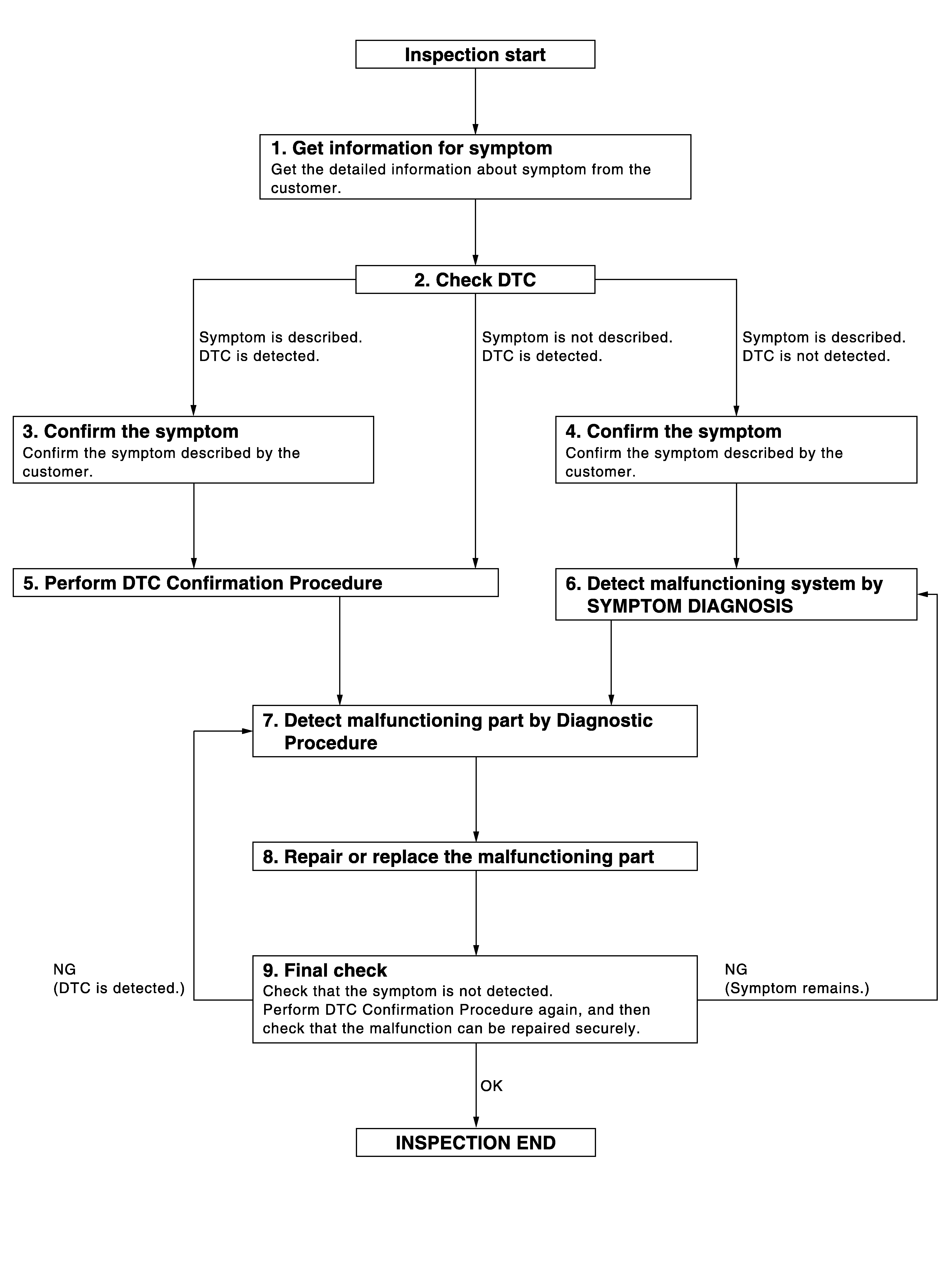
OVERALL SEQUENCE 

GNSDB98677Courtesy of NISSAN NORTH AMERICA, INC.

DETAILED FLOW 

  1. GET INFORMATION FOR SYMPTOM 
      1. Get detailed information from the customer about the symptom (the condition and the environment when the incident/malfunction occurs).
      2. Check operation condition of the function that is malfunctioning.

    >>

    GO TO 2.

  2. CHECK DTC 
    1. SYMBOL CONSULT
      1. Check DTC.
      2. Perform the following procedure if DTC is detected:
        • Record DTC and freeze frame data (Print them out.)
        • Erase DTC.
        • Study the relationship between the cause detected by DTC and the symptom described by the customer.
      3. Check related service bulletins for information.

    Are any symptoms described and any DTC detected?

    Symptom is described, DTC is detected>>

    GO TO 3.

    Symptom is described, DTC is not detected>>

    GO TO 4.

    Symptom is not described, DTC is detected>>

    GO TO 5.

  3. CONFIRM THE SYMPTOM 
    1. Try to confirm the symptom described by the customer. Also study the normal operation and fail-safe related to the symptom. Verify relation between the symptom and the condition when the symptom is detected.

    >>

    GO TO 5.

  4. CONFIRM THE SYMPTOM 
    1. Try to confirm the symptom described by the customer. Verify relation between the symptom and the condition when the symptom is detected.

    >>

    GO TO 6.

  5. PERFORM DTC CONFIRMATION PROCEDURE 
    1. SYMBOL CONSULT Perform DTC CONFIRMATION PROCEDURE for the detected DTC, and then check that DTC is detected again. At this time, always connect CONSULT to the vehicle, and check self diagnostic results in real time. If two or more DTCs are detected, refer to DTC Inspection Priority Chart and determine trouble diagnosis order.
      NOTE: SYMBOL
      • Freeze frame data is useful if the DTC is not detected.
      • Perform Component Function Check if DTC CONFIRMATION PROCEDURE is not included in this Service Information. This simplified check procedure is an effective alternative though DTC cannot be detected during this check. If the result of Component Function Check is NG, it is the same as the detection of DTC by DTC CONFIRMATION PROCEDURE.

    Is DTC detected?

    YES>>

    GO TO 7.

    NO>>

    Refer to Inspection .

  6. DETECT MALFUNCTIONING SYSTEM BY SYMPTOM DIAGNOSIS 
    1. SYMBOL CONSULT Detect malfunctioning system according to SYMPTOM DIAGNOSIS based on the confirmed symptom in step 4, and determine the trouble diagnosis order based on possible causes and symptom.

    Is the symptom described?

    YES>>

    GO TO 7.

    NO>>

    Monitor input data from related sensors or check voltage of related module terminals.

  7. DETECT MALFUNCTIONING PART BY DIAGNOSIS PROCEDURE 
    1. Inspect according to Diagnosis Procedure of the system.

    Is malfunctioning part detected?

    YES>>

    GO TO 8.

    NO>>

    Refer to Inspection .

  8. REPAIR OR REPLACE THE MALFUNCTIONING PART 
    1. SYMBOL CONSULT
      1. Repair or replace the malfunctioning part.
      2. Reconnect parts or connectors disconnected during Diagnosis Procedure again after repair and replacement.
      3. Check DTC. If DTC is detected, erase it.

    >>

    GO TO 9.

  9. FINAL CHECK 
    1. SYMBOL CONSULT When DTC is detected in step 2, perform DTC CONFIRMATION PROCEDURE again, and then check that the malfunction is repaired securely. When symptom is described by the customer, refer to confirmed symptom in step 3 or 4, and check that the symptom is not detected.

    Is DTC detected and does symptom remain?

    YES>>

    DTC is detected: GO TO 7.

    YES>>

    Symptom remains: GO TO 4.

    NO>>

    Before returning the vehicle to the customer, always erase DTC.