LEMON Manuals: Even more car manuals for everyone: 1960-2025
Home >> Toyota >> 1977 >> Land Cruiser 2D Utility >> Repair and Diagnosis >> Engine Performance >> Ignition System >> Spark Control/Delay Systems >> Testing >> Spark Control System >> 1977 Models
April 5, 2026: LEMON Manuals is launched! Read the announcement.

1977 Models

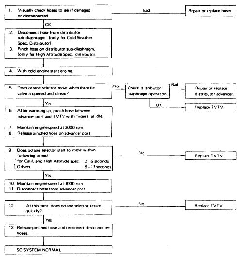
See applicable spark control system diagnostic chart and perform test as outlined. See Figs. Figure through Figure.