LEMON Manuals: Even more car manuals for everyone: 1960-2025
Home >> Toyota >> 1985 >> MR2 >> Repair and Diagnosis >> Engine Performance >> System >> TCCS System >> Testing >> Trouble Code 7 Blinks TPS Sensor & Circuit
April 5, 2026: LEMON Manuals is launched! Read the announcement.

Trouble Code 7 Blinks TPS Sensor & Circuit

Fig 1: Terminal Vcc - E2
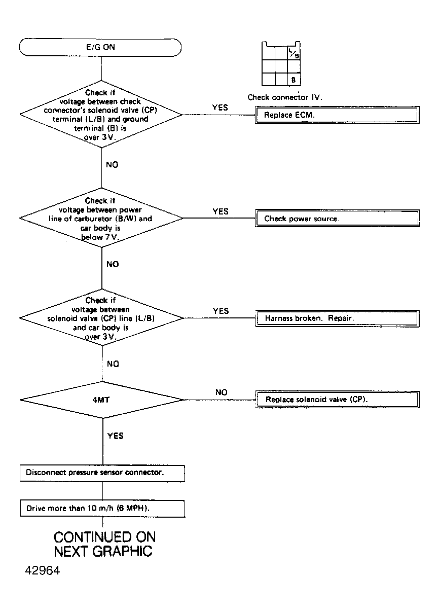
G42964Courtesy of © TOYOTA, LICENSE AGREEMENT TMS1002
Fig 2: Terminal VTA - E2
G42879Courtesy of © TOYOTA, LICENSE AGREEMENT TMS1002