LEMON Manuals: Even more car manuals for everyone: 1960-2025
Home >> Toyota >> 2002 >> Corolla LE, Standard >> Repair and Diagnosis >> External Pages >> Different car >> Section 249 (Wireless Door Lock Control System) >> Wireless Door Lock Control System >> Replacement
April 5, 2026: LEMON Manuals is launched! Read the announcement.

Wireless Door Lock Control System: Replacement

WARNING: This page is about a different car, the 2002 Toyota ECHO. However, it is still accessible from the selected car via links, so may be relevant.
    NOTE: Special caution should be taken for handling each component as they are precision electronic components.
    Fig 2: Identifying Lithium Battery
    G01894924Courtesy of © TOYOTA, LICENSE AGREEMENT TMS1002
  1. Replace transmitter (lithium) battery  :
      NOTE: Do not pry out the cover forcibly.
      Fig 1: Removing Transmitter Cover
      G01894923Courtesy of © TOYOTA, LICENSE AGREEMENT TMS1002
    1. Using a screwdriver, remove the cover.

      Push the cover with a finger as shown in the illustration, so that there becomes clearance, then pry out the cover from that clearance.

    2. Remove the transmitter.
    3. Remove the battery (lithium battery) as shown in the illustration.
      NOTE:
      • Do not push the terminals with a finger.
      • If prying up the battery (lithium battery) forcibly to remove, the terminals are deformed.
    4. NOTE: Face the battery upward. Take care not to deform the terminals.
    5. Install a battery (lithium battery).
    6. NOTE: When the shrews are tightened loosely, it might cause faulty contact of battery (lithium battery) and terminals.
    7. Check that the rubber cover is not distorted or slipped off, and install the cover.
  2. NOTE: When replacing the door control receiver and transmitter, registration of recognition code is necessary because they are provided as single components.
  3. Replace door control receiver and transmitter  :
    1. Select which operation mode should be performed from the following modes.
      • Add mode
      • Rewrite mode
      • Prohibition mode
      • Confirmation mode
      NOTE:
      • The add mode is used to retain codes already registered while you register new recognition codes. This mode is used when adding a transmitter. However, if the number of registered codes exceeds 4 codes, previously registered codes are correspondingly erased in order, starting from the first registered code.
      • The rewrite mode is used to erase all previously registered codes and register only new recognition codes.
      • The prohibition mode is used to erase all registered codes and cancels the wireless door lock function. Use this mode when the transmitter is lost.
      • The confirmation mode is for confirming how many recognition codes are already registered before you register additional recognition codes.
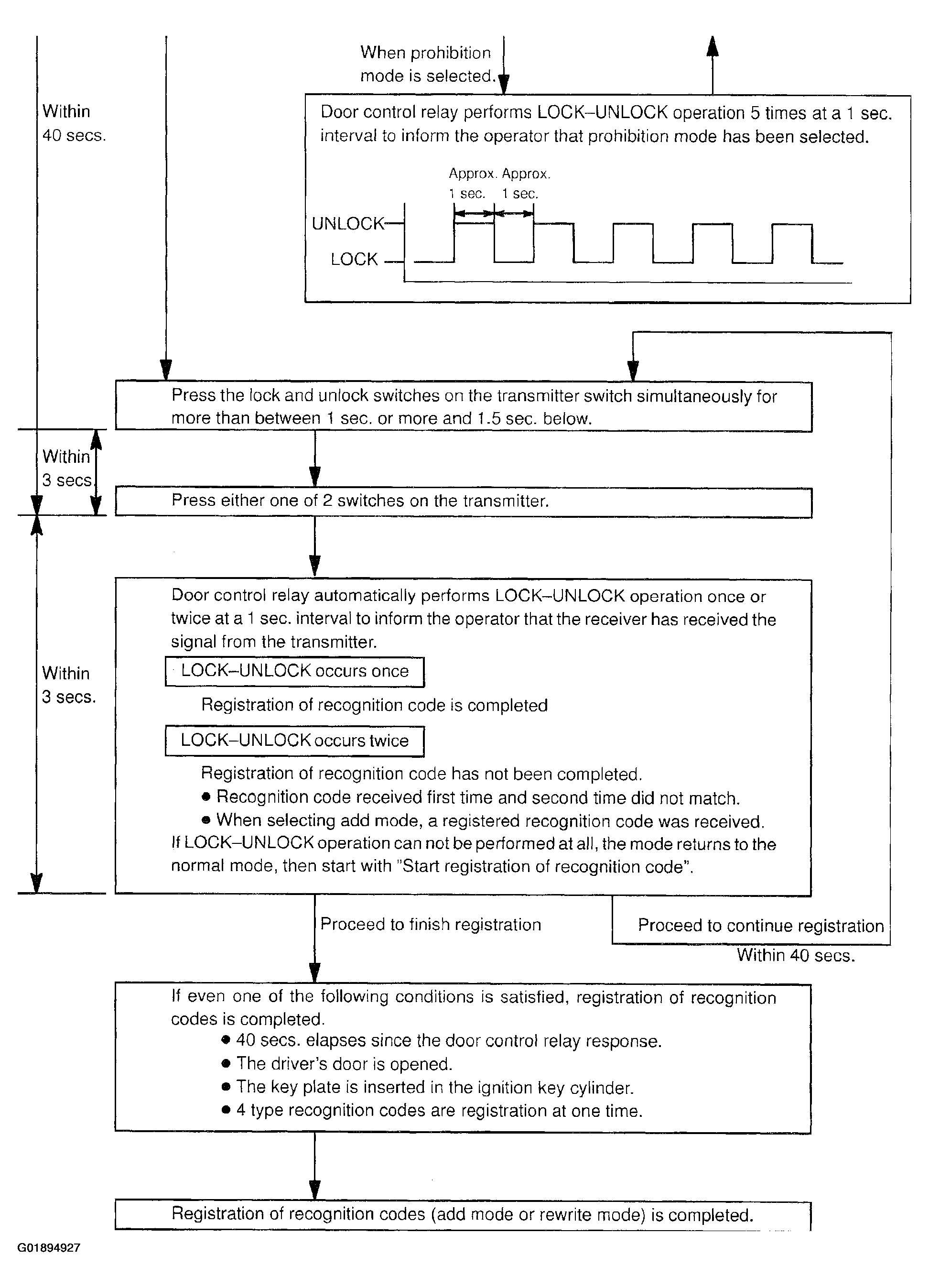
    2. Follow the chart on the following pages to register the transmitter recognition code at the wireless door lock control receiver.
      NOTE:
      • When procedure is out of the specified, the operation returns to normal operation.
      • Maximum 4 recognition codes can be registered.
      Fig 3: Door Control Receiver & Transmitter Replacement Flowchart (1 Of 3)
      G01894925Courtesy of © TOYOTA, LICENSE AGREEMENT TMS1002
      Fig 4: Door Control Receiver & Transmitter Replacement Flowchart (2 Of 3)
      G01894926Courtesy of © TOYOTA, LICENSE AGREEMENT TMS1002
      Fig 5: Door Control Receiver & Transmitter Replacement Flowchart (3 Of 3)
      G01894927Courtesy of © TOYOTA, LICENSE AGREEMENT TMS1002