LEMON Manuals: Even more car manuals for everyone: 1960-2025
Home >> Toyota >> 2003 >> Avalon XL >> Repair and Diagnosis >> Body & Frame >> Windows >> Power Window Control System >> Troubleshooting
April 5, 2026: LEMON Manuals is launched! Read the announcement.

Power Window Control System: Troubleshooting

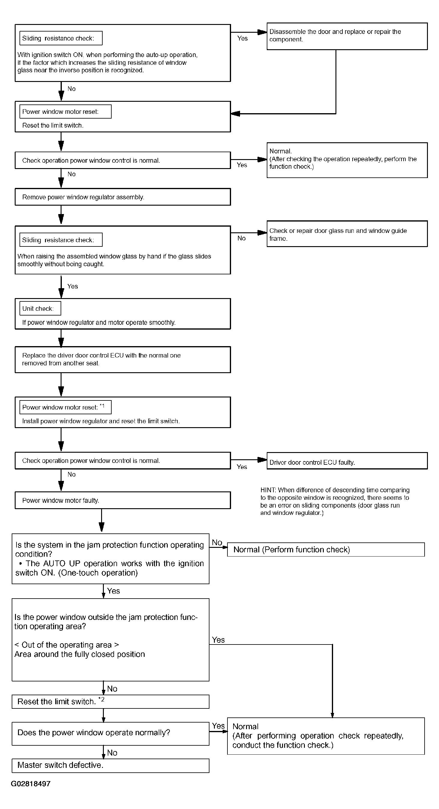
Fig 1: Power Window Control System Troubleshooting Chart
G02818497Courtesy of © TOYOTA, LICENSE AGREEMENT TMS1002