LEMON Manuals: Even more car manuals for everyone: 1960-2025
Home >> Toyota >> 2003 >> Matrix Base, FWD, Standard >> Repair and Diagnosis >> External Pages >> Different car >> Section 384 (Wireless Door Lock Control System) >> Replacement
April 5, 2026: LEMON Manuals is launched! Read the announcement.

Section 384 (Wireless Door Lock Control System): Replacement

WARNING: This page is about a different car, the 2003 Toyota Sequoia. However, it is still accessible from the selected car via links, so may be relevant.
  1. REPLACE TRANSMITTER (LITHIUM) BATTERY 
    NOTE: Great caution should be taken for handling each component as they are precision electronic components.
    1. Using a screwdriver, remove the cover.
      NOTE: Do not pry out the cover forcibly.
      Fig 1: Removing Cover Using Screwdriver
      G02852253Courtesy of © TOYOTA, LICENSE AGREEMENT TMS1002
      NOTE: Push the cover with a finger as shown in the illustration, so that there becomes clearance, then pry out the cover from that clearance.
    2. Remove the transmitter.
    3. Remove the battery (lithium battery).
      NOTE:
      • Do not push the terminals with a finger.
      • If prying up the battery (lithium battery) forcibly to remove, the terminals are deformed.
    4. Install a battery (lithium battery) as shown in the illustration.
      NOTE: Face the battery upward. Take care not to deform the terminals.
      Fig 2: Installing Battery (Lithium Battery)
      G02852254Courtesy of © TOYOTA, LICENSE AGREEMENT TMS1002
    5. Check that the rubber cover is not distorted or slipped off, and install the cover.
  2. REPLACE DOOR CONTROL RECEIVER AND TRANSMITTER 
    NOTE: When replacing the door control receiver and transmitter, registration of recognition code is necessary because they are provided as single components.
    1. Select one of the operations mode should be performed from the following modes.
      • Add mode
      • Rewrite mode
      • Prohibition mode
      • Confirmation mode
      NOTE:
      • The add mode is used to retain codes already registered while you register new recognition codes. This mode is used when adding a transmitter. However, if the number of registered codes exceeds 4 codes, previously registered codes are correspondingly erased in order, starting from the first registered code.
      • The rewrite mode is used to erase all previously registered codes and register only new recognition codes.
      • The prohibition mode is used to erase all registered codes and cancels the wireless door lock function. Use this mode when the transmitter is lost.
      • The confirmation mode is for confirming how many recognition codes are already registered before you register additional recognition codes.
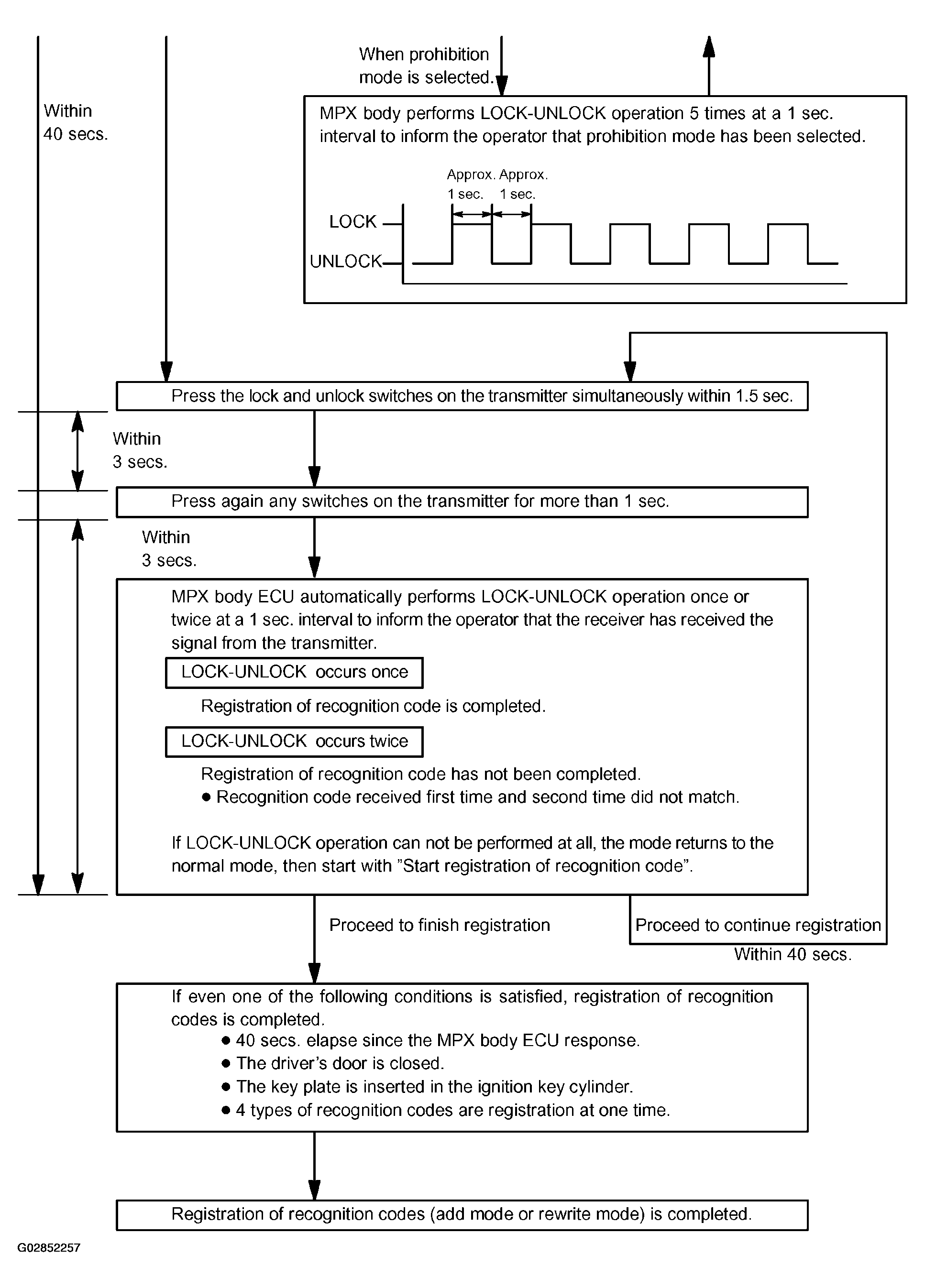
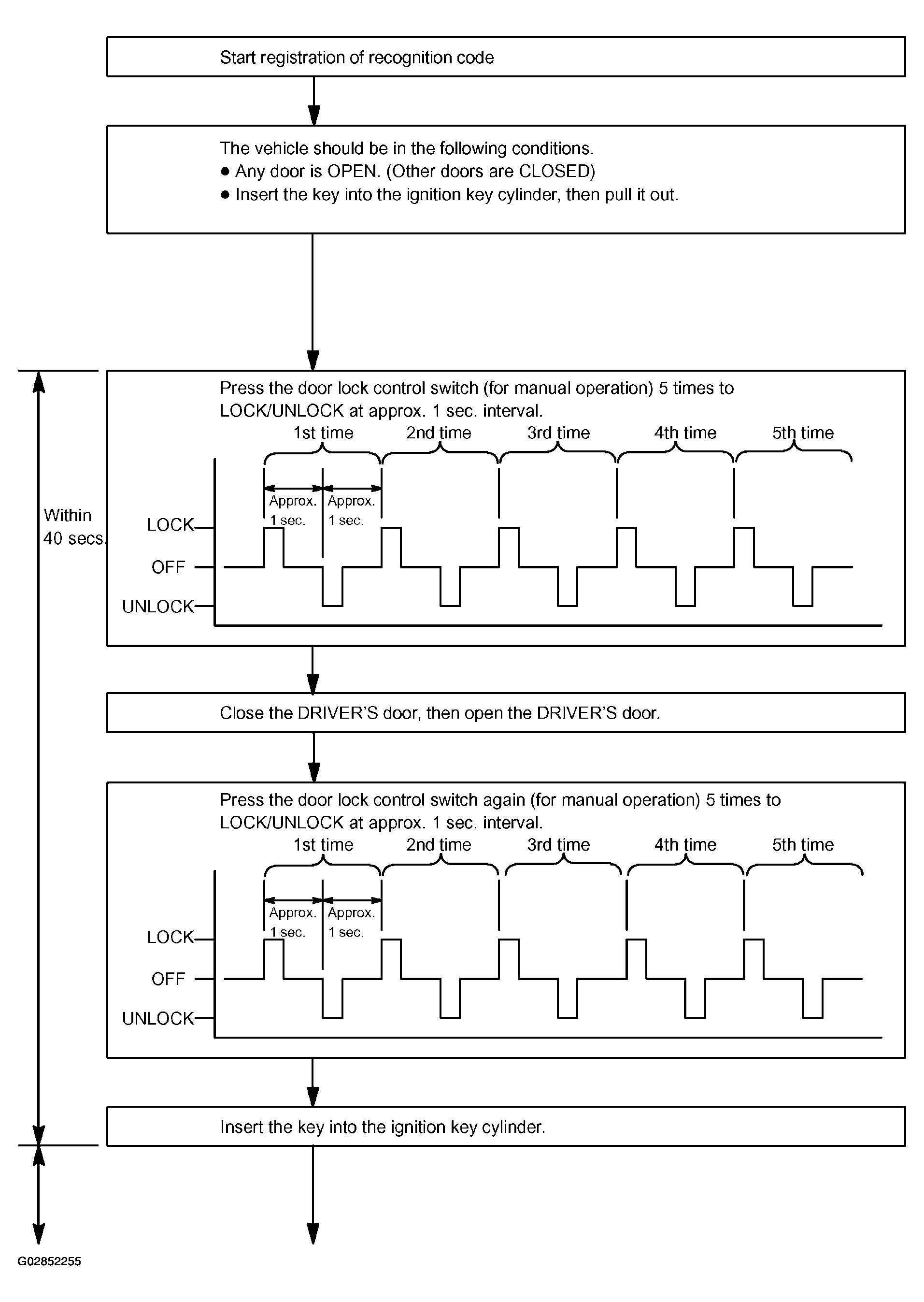
    2. Follow the chart on the following sections to register the transmitter recognition code at the wireless door lock control receiver.
      NOTE:
      • When procedure is out of the specified, the operation returns to normal operation.
      • Maximum 4 recognition codes can be registered.
    Fig 3: Door Control Receiver And Transmitter Inspection Flow Chart (1 Of 3)
    G02852255Courtesy of © TOYOTA, LICENSE AGREEMENT TMS1002
    Fig 4: Door Control Receiver And Transmitter Inspection Flow Chart (2 Of 3)
    G02852256Courtesy of © TOYOTA, LICENSE AGREEMENT TMS1002
    Fig 5: Door Control Receiver And Transmitter Inspection Flow Chart (3 Of 3)
    G02852257Courtesy of © TOYOTA, LICENSE AGREEMENT TMS1002