LEMON Manuals: Even more car manuals for everyone: 1960-2025
Home >> Toyota >> 2004 >> Matrix 4WD L4-1.8L (1ZZ-FE) >> Repair and Diagnosis >> Specifications >> Mechanical Specifications >> Automatic Transmission/Transaxle >> System Specifications
April 5, 2026: LEMON Manuals is launched! Read the announcement.

System Specifications

Automatic Transmission/Transaxle - Service Data Part 1:




Automatic Transmission/Transaxle - Service Data Part 2:




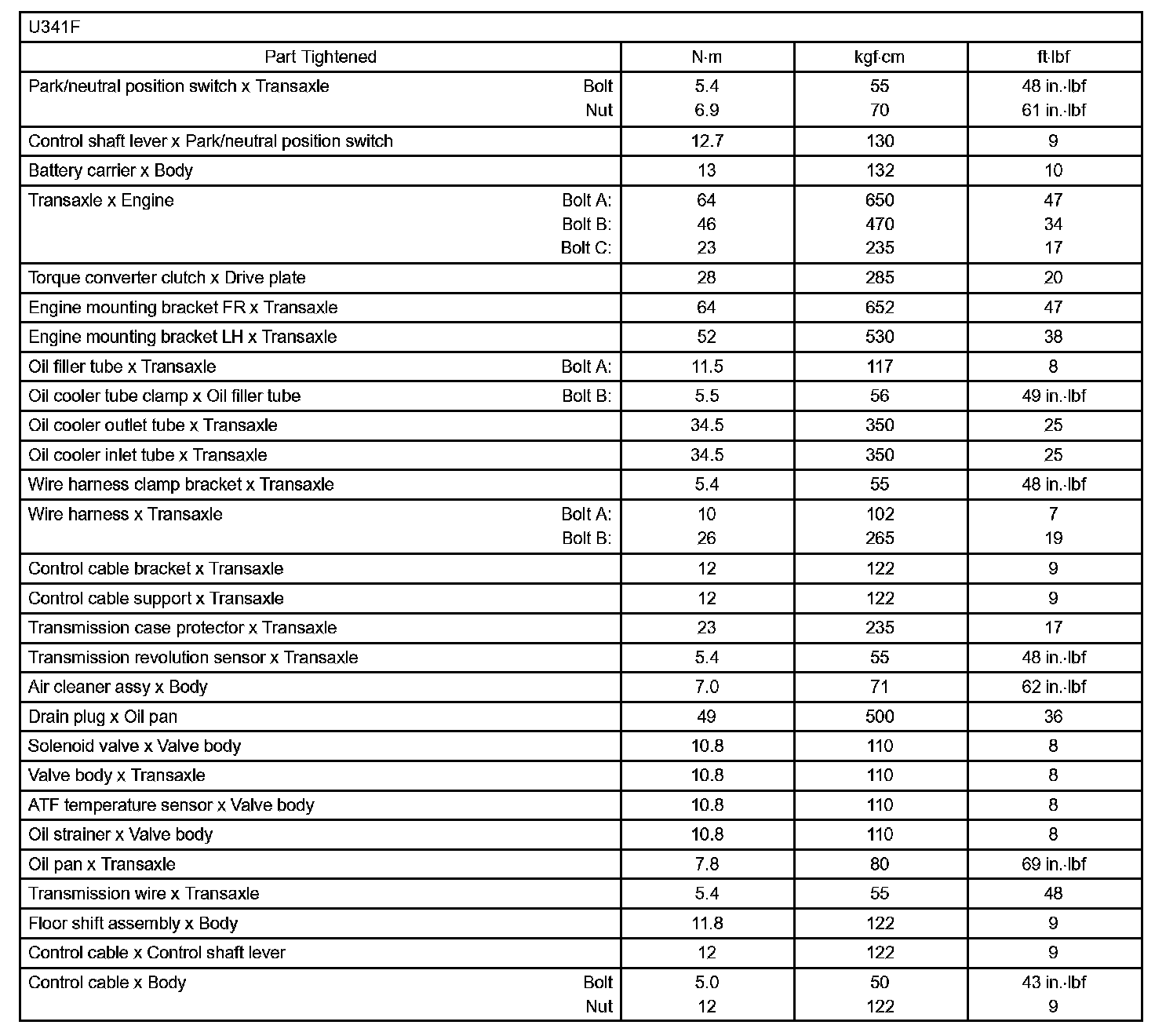
Automatic Transmission/Transaxle - Torque Specification Part 2: