LEMON Manuals: Even more car manuals for everyone: 1960-2025
Home >> Toyota >> 2004 >> Matrix Base, FWD, Standard >> Repair and Diagnosis >> External Pages >> Different car >> Section 213 (Power Window Control System) >> System Tests >> Test No. 1: Window Moves Down During Up Operation
April 5, 2026: LEMON Manuals is launched! Read the announcement.

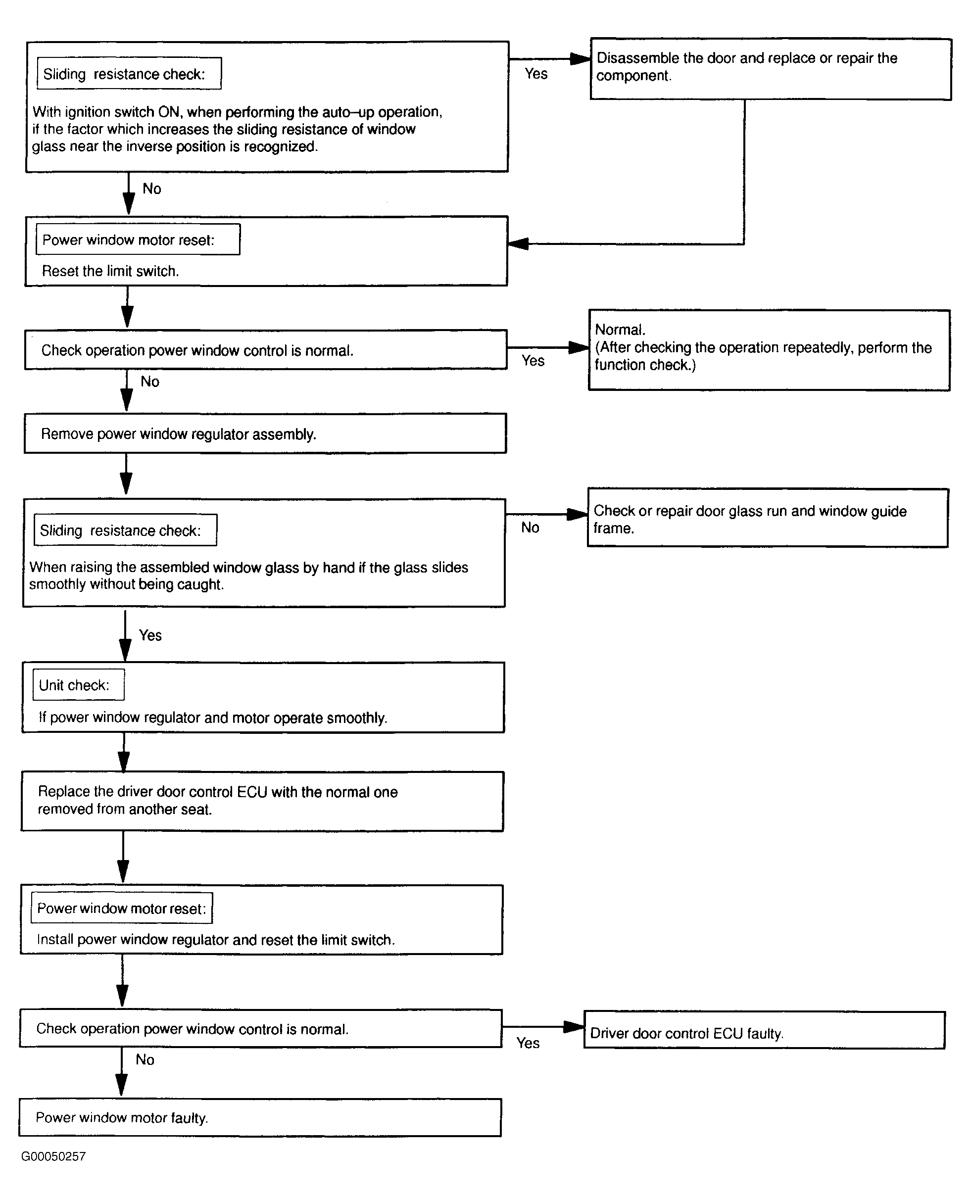
Test No. 1: Window Moves Down During Up Operation

WARNING: This page is about a different car, the 2002 Toyota Avalon. However, it is still accessible from the selected car via links, so may be relevant.
NOTE: See Fig 1.
Fig 1: Window Moves Down During Up Operation
G00050257Courtesy of © TOYOTA, LICENSE AGREEMENT TMS1002