LEMON Manuals: Even more car manuals for everyone: 1960-2025
Home >> Toyota >> 2004 >> Matrix Base, FWD, Standard >> Repair and Diagnosis >> External Pages >> Different car >> Section 478 (Wireless Door Lock Control System - Diagnostics) >> Pre-Check
April 5, 2026: LEMON Manuals is launched! Read the announcement.

Section 478 (Wireless Door Lock Control System - Diagnostics): Pre-Check

WARNING: This page is about a different car, the 2004 Toyota RAV4. However, it is still accessible from the selected car via links, so may be relevant.

Only wireless function (Remote control) does not operate. 

(If a new transmitter or a transmitter of the same type that works properly with the vehicle is not available.) 

Fig 1: Wireless Door Lock Control System Pre-Check Chart (1 Of 4)
G02913368Courtesy of © TOYOTA, LICENSE AGREEMENT TMS1002
Fig 2: Wireless Door Lock Control System Pre-Check Chart (2 Of 4)
G02913369Courtesy of © TOYOTA, LICENSE AGREEMENT TMS1002
Fig 3: Wireless Door Lock Control System Pre-Check Chart (3 Of 4)
G02913370Courtesy of © TOYOTA, LICENSE AGREEMENT TMS1002
Fig 4: Wireless Door Lock Control System Pre-Check Chart (4 Of 4)
G02913371Courtesy of © TOYOTA, LICENSE AGREEMENT TMS1002
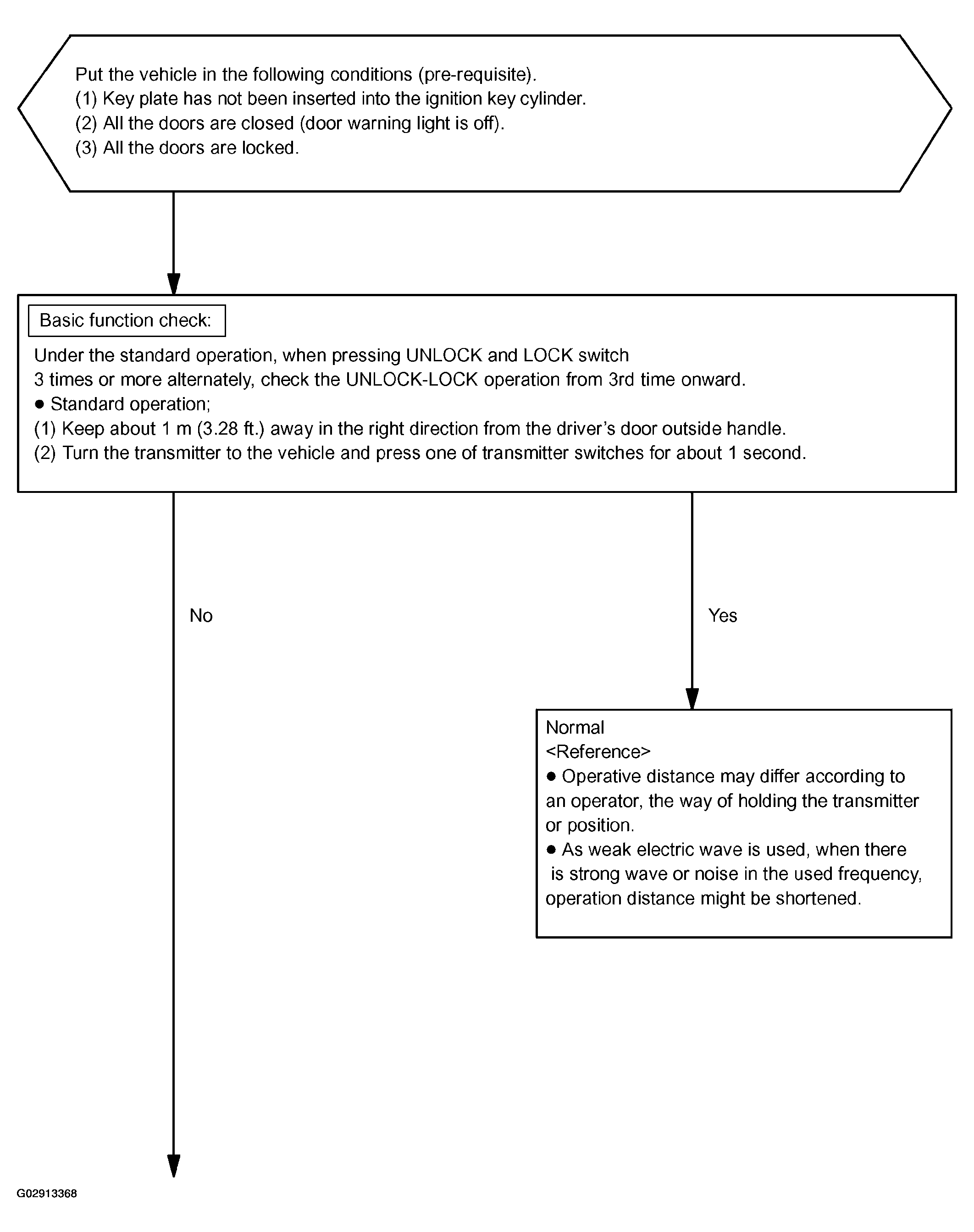
  1. INSPECT WIRELESS DOOR LOCK TRANSMITTER OPERATION 
    1. Remove the screw and cover.
    2. Remove the battery (lithium battery).
    3. Install a new or normal battery (lithium battery).

      HINT:

      When a new or normal battery is not available, connect 2 new 1.5 V batteries in series, connect the battery (+) to the battery receptacle side terminal and battery (-) to the bottom terminal, then apply 3 V to the transmitter.

    4. Fig 5: Connecting 2 New 1.5V Batteries In Series
      G02913372Courtesy of © TOYOTA, LICENSE AGREEMENT TMS1002
    5. In the location which is approximately 1 M away from the driver's outside handle in the right direction, check the transmitter operation by pressing the transmission switch on the transmitter body.

      Standard: 

      Remote control of vehicle door lock can be operated. 

      HINT:

      • The minimum operation distance varies according to an operator, the way of holding and location.
      • As weak electric wave is used, when there is strong wave or noise in the used frequency, operation distance might be shortened.
    6. Install the battery (lithium battery).
    7. Install a cover so that the O-ring is not distorted or slipped off.
    8. Tighten the screw.
  2. CHECK BATTERY CAPACITY 

    HINT:

    • With the battery unloaded, whether the battery is available or not cannot be determined on the test.
    • When the transmitter is faulty, the remaining battery capacity might not be checked correctly.
    • On the lithium battery used for the transmitter, the voltage at more than 2.5 V with the battery unloaded is shown on the tester until the battery is completely consumed. Accordingly when inspecting the remaining battery capacity in the battery, it is necessary to measure the voltage with the battery loaded (1.2 kΩ).
    1. Remove the cover by using a screwdriver.
    2. Remove the battery (lithium battery) from the transmitter.
    3. Fig 6: Removing Battery From Transmitter
      G02913373Courtesy of © TOYOTA, LICENSE AGREEMENT TMS1002
    4. Connect the lead to the (-) terminal of the transmitter and install the battery.
    5. Connect the (+) tester to the (+) battery (lithium battery), and (-) tester to the lead respectively.
    6. Press one of the transmitting switches on the transmitter for approximately. 1 second.
    7. Press the transmitting switch on the transmitter again to check the voltage.

      Standard: 2.1 V or more 

      Fig 7: Checking Transmitter Battery Voltage
      G02913374Courtesy of © TOYOTA, LICENSE AGREEMENT TMS1002

      HINT:

      • If the temperature of the battery is low, the precise measurement is impossible.

        If the test result indicates less than 2.1 V, conduct the test again after leaving the battery on the place where its surrounding temperature is at 18°C (64°F) for more than 30 minutes.

      • By auto power off function, the voltage becomes no load (more than 2.5 V) in 20 seconds after the switch was pressed. So be sure to read the voltage before 20 seconds.
      • As high voltage might be shown once or twice after leaving the battery, a judgement should be made with the voltage shown from 3rd time onward.
    8. Disconnect the lead.
    9. Set the battery (lithium battery) in the transmitter.
    10. Install the cover so that the O-ring is not distorted or slipped off.
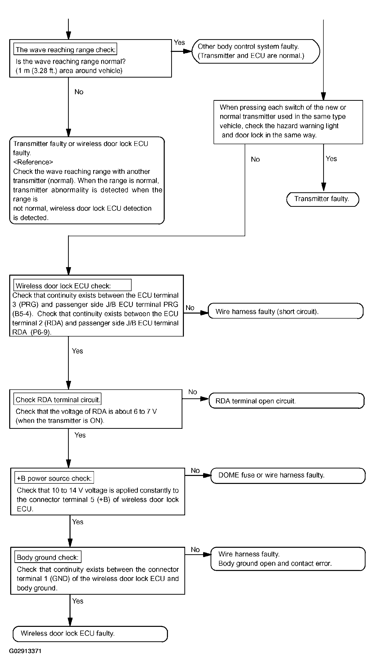
  3. INSPECT WIRELESS DOOR LOCK ECU CIRCUIT 
    1. Disconnect the connector from the ECU and inspect the connector on the wire harness side as follows.
      Fig 8: Identifying Wireless Door Lock ECU Circuit Connector
      G02913375Courtesy of © TOYOTA, LICENSE AGREEMENT TMS1002
      WIRELESS DOOR LOCK ECU CIRCUIT CONNECTOR TERMINAL CONDITIONS

      Tester Connection Condition Specified Condition
      1 - Ground Constant Continuity
      5 - Ground Constant Battery voltage

      If the circuit is not as specified, inspect the other circuit connected to other parts.

    2. Connect the wire harness side connector to the ECU and inspect the wire harness side connector from the back side as shown in Fig 9.
      Fig 9: Identifying Back Of Wire Harness Side Connector
      G02913376Courtesy of © TOYOTA, LICENSE AGREEMENT TMS1002
      WIRELESS DOOR LOCK ECU CIRCUIT CONNECTOR TERMINAL CONDITIONS & VOLTAGE

      Tester Connection Condition Specified Condition
      3 - Ground Normal mode 10 to 14 V
      2 - Ground Ignition switch position OFF About 6 to 7 V
      2 - Ground Key removed About 6 to 7 V
      2 - Ground Transmitter ON About 6 to 7 V

      If the circuit is as specified, replace the ECU.

      If the circuit is not as specified, inspect the other circuit connected to other parts.

  4. REPLACE TRANSMITTER (LITHIUM) BATTERY 
    NOTE: Special caution should be taken when handling each component, as they are precision electronic components.
    1. Using a screwdriver, remove the cover.
      NOTE: Do not pry out the cover forcibly.
      Fig 10: Removing Transmitter Cover
      G02913377Courtesy of © TOYOTA, LICENSE AGREEMENT TMS1002

      HINT:

      Push the cover with a finger as shown in Fig 10 so that there makes a clearance, then pry out the cover from that clearance.

    2. Remove the transmitter.
    3. Remove the battery (lithium battery).
      NOTE:
      • Do not push the terminals with your finger.
      • If prying out the battery (lithium battery) forcibly to remove it, the terminals will be deformed.
    4. Install a battery (lithium battery) as shown in Fig 11.
      NOTE: Face the battery upward. Take care not to deform the terminals.
    5. Fig 11: Installing Battery In Transmitter
      G02913378Courtesy of © TOYOTA, LICENSE AGREEMENT TMS1002
    6. Assemble the transmitter to the key plate and cover.
  5. REPLACE DOOR LOCK ECU AND TRANSMITTER 
    NOTE: When replacing the door lock ECU and transmitter, registration of recognition code is necessary, because they are provided as a single component.
    1. Select which operation mode should be performed out of the following modes.
      • Add mode
      • Rewrite mode
      • Prohibition mode
      • Confirmation mode

      HINT:

      • The add mode is used to retain codes which are already registered when you register new recognition codes. This mode is used when adding a transmitter. If the number of registered codes exceeds 4, old registered codes are erased one by one in the order of code being registered.
      • The rewrite mode is used to erase all previously registered codes and register only new recognition codes.
      • The prohibition mode is used to erase all registered codes and cancels the wireless door lock function. Use this mode when the transmitter is lost.
      • The confirmation mode is used to confirm how many recognition codes are already registered before you register additional recognition codes.
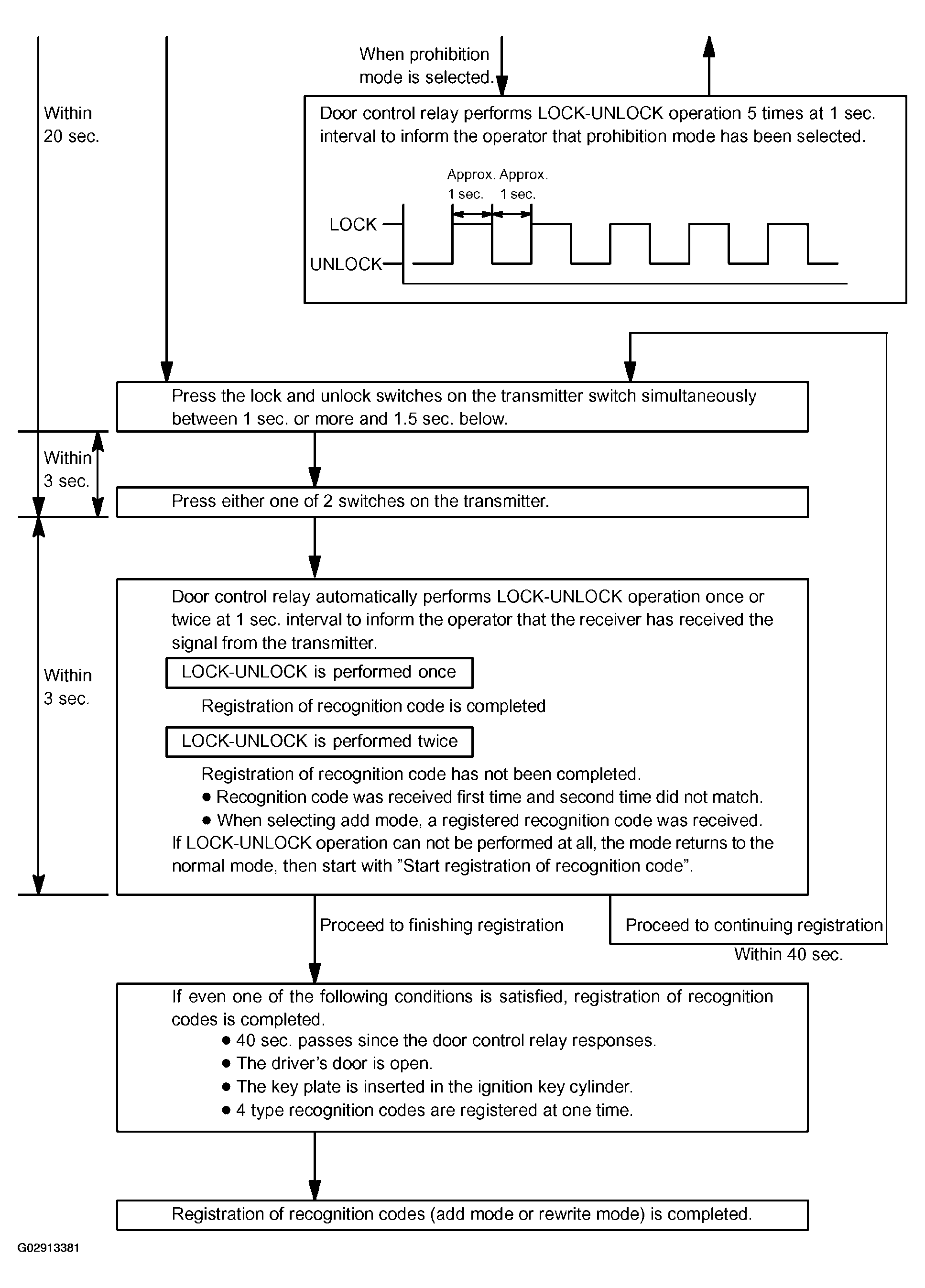
    2. Follow the chart in Fig 12, Fig 13 and Fig 14 to register transmitter recognition codes in the wireless door lock ECU.

      HINT:

      • When procedure is not as specified, the operation returns to normal.
      • Maximum 4 recognition codes can be registered.
Fig 12: Transmitter Registration Of Recognition Codes Procedure Chart (1 Of 3)
G02913379Courtesy of © TOYOTA, LICENSE AGREEMENT TMS1002
Fig 13: Transmitter Registration Of Recognition Codes Procedure Chart (2 Of 3)
G02913380Courtesy of © TOYOTA, LICENSE AGREEMENT TMS1002
Fig 14: Transmitter Registration Of Recognition Codes Procedure Chart (3 Of 3)
G02913381Courtesy of © TOYOTA, LICENSE AGREEMENT TMS1002