LEMON Manuals: Even more car manuals for everyone: 1960-2025
Home >> Toyota >> 2004 >> RAV4 Base, AWD, Standard >> Repair and Diagnosis (Single Page) >> Body & Frame >> Windows >> Power Window Control System >> Troubleshooting
April 5, 2026: LEMON Manuals is launched! Read the announcement.

Power Window Control System: Troubleshooting

MALFUNCTION SYMPTOMS

Malfunction Symptoms Applicable Chart
Window does not move up and down with one-touch power window function (AUTO operation function). 1
During AUTO UP operation, window moves down. 2
Window does not move down even though something is caught between window and vehicle body. 3
Fig 1: Locating Power Window Master Switch And Power Window Motor
G02926414Courtesy of © TOYOTA, LICENSE AGREEMENT TMS1002
  1. Window does not move up and down with one-touch power window function. 
    Fig 2: Window Does Not Move Up Or Down With One-Touch Power Window Function Flow Chart (1 Of 2)
    G02926415Courtesy of © TOYOTA, LICENSE AGREEMENT TMS1002
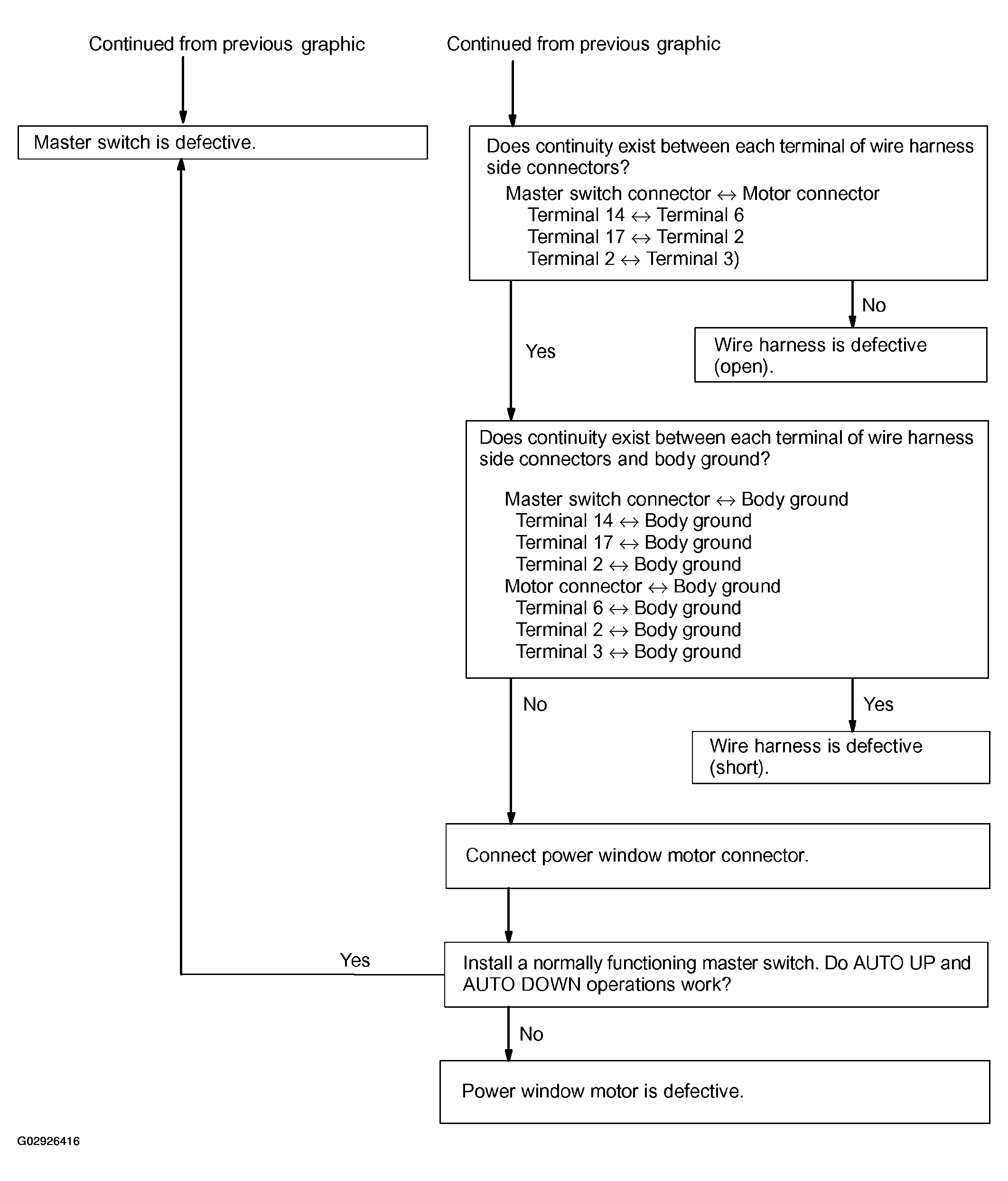
    Fig 3: Window Does Not Move Up Or Down With One-Touch Power Window Function Flow Chart (2 Of 2)
    G02926416Courtesy of © TOYOTA, LICENSE AGREEMENT TMS1002
  2. During AUTO UP operation, window moves down. 
    Fig 4: During Auto Up Operation, Window Moves Down Flow Chart
    G02926417Courtesy of © TOYOTA, LICENSE AGREEMENT TMS1002
  3. Window does not move down even though something is caught between window and vehicle body. 
    Fig 5: Window Does Not Move Down Even Though Something Is Caught Between Window & Vehicle Body Flow Chart
    G02926418Courtesy of © TOYOTA, LICENSE AGREEMENT TMS1002
    NOTE: For chart 1, see Fig 2