LEMON Manuals: Even more car manuals for everyone: 1960-2025
Home >> Toyota >> 2012 >> Prius Three >> Repair and Diagnosis >> External Pages >> Different variant/trim >> Section 16 (Engine Control System (Plug-In) (Diagnostics - Introduction)) >> SFI System >> Data List / Active Test >> Data List / Active Test
April 5, 2026: LEMON Manuals is launched! Read the announcement.

Data List / Active Test

WARNING: This page is about a different variant/trim than selected.
  1. DATA LIST 

    HINT: 

    Using the Techstream to read the Data List allows the values or states of switches, sensors, actuators and other items to be read without removing any parts. This non-intrusive inspection can be very useful because intermittent conditions or signals may be discovered before parts or wiring is disturbed. Reading the Data List information early in troubleshooting is one way to save diagnostic time.

    NOTE:

    In the table below, the values listed under "Normal Condition" are reference values. Do not depend solely on these reference values when deciding whether a part is faulty or not.

    1. Warm up the engine.
    2. Turn the A/C switch off.
    3. Turn the power switch off.
    4. Connect the Techstream to the DLC3.
    5. Turn the power switch on (IG).
    6. Turn the Techstream on.
    7. Enter the following menus: Powertrain / Engine and ECT / Data List.

      HINT: 

      • To display the list box, press the pull down menu button next to Primary. Then select a measurement group.
      • When you select a measurement group, the ECU data belonging to that group is displayed.
      • Measurement Group List / Description
        • All Data / All data
        • Primary / -
        • Engine Control / Engine control system related data
        • Gas General / -
        • Gas AF Control / Air fuel ratio control system related data
        • Gas AF O2 Sensor / Air fuel ratio sensor and heated oxygen sensor related data
        • Gas Throttle / Gasoline throttle system related data
        • Gas Intake Control / Intake control system related data
        • Gas Valve Control / Valve control system related data
        • Gas Misfire / "Misfire" related data
        • Gas Starting / "Difficult to start" related data
        • Gas Rough Idle / "Rough idle" related data
        • Gas Evaporative / Evaporative system related data
        • Gas CAT Converter / Catalyst converter related data
        • Check Mode / Check mode related data
        • Monitor Status / Monitor status related data
        • Ignition / Ignition system related data
        • Charging Control / Charging control system related data
        • Compression / Data used during "Check the Cylinder Compression" Active Test
        • AT / Automatic transmission system related data
        • Vehicle Information / Vehicle information
    8. According to the display on the Techstream, read the Data List.

      HINT: 

      The title used for each group of Data List items in this repair information does not appear on the Techstream. However, the name in parentheses after the title, which is a Measurement Group, does appear on the Techstream. When the name shown in parentheses is selected on the Techstream, all the Data List items listed for that group will be displayed.

  2. Various Vehicle Conditions 1 (All Data) 
    VEHICLE SPEED

    Tester Display Measurement Item/Range Normal Condition Stored as Freeze Frame Data
    Vehicle Speed Vehicle speed/
    Min.: 0 km/h (0 mph), Max.: 255 km/h (158 mph)
    Actual vehicle speed Yes
    Diagnostic Note:
    This is the current vehicle speed
    ENGINE SPEED

    Tester Display Measurement Item/Range Normal Condition Stored as Freeze Frame Data
    Engine Speed Engine speed/
    Min.: 0 rpm, Max.: 16383 rpm
    950 to 1050 rpm: Idling Yes
    Diagnostic Note:
    When the crankshaft position sensor is malfunctioning, "Engine Speed" is approximately 0 rpm or varies greatly from the actual engine speed.
    CALCULATE LOAD

    Tester Display Measurement Item/Range Normal Condition Stored as Freeze Frame Data
    Calculate Load Load calculated by ECM/
    Min.: 0%, Max.: 100%
    • 20 to 40%: Idling
    • 15 to 35%: Running without load (2500 rpm)
    Yes
    Diagnostic Note:
    This is the engine load calculated based on the estimated intake manifold pressure.
    Calculate Load = Estimated intake manifold pressure / maximum intake manifold pressure x 100 (%)
    (For example, when the estimated intake manifold pressure is the same as atmospheric pressure, Calculate Load is 100%.)
    VEHICLE LOAD

    Tester Display Measurement Item/Range Normal Condition Stored as Freeze Frame Data
    Vehicle Load Vehicle load/
    Min.: 0%, Max.: 25700%
    Actual vehicle load Yes
    Diagnostic Note:
    This is the engine intake air charging efficiency.
    Vehicle Load = Current intake airflow (g/rev.) / maximum intake airflow
    Maximum intake airflow = Displacement (L) / 2 x 1.2 (g/rev.)
    HINT: 
    Due to individual engine differences, intake air temperature, etc., the value may exceed 100%.
    Intake airflow (g/rev.) = Intake airflow (gm/sec) x 60 / Engine speed (rpm)
    (Intake airflow (gm/sec) is MAF)
    MAF

    Tester Display Measurement Item/Range Normal Condition Stored as Freeze Frame Data
    MAF Airflow rate from mass air flow meter sub-assembly/
    Min.: 0 gm/sec, Max.: 655.35 gm/sec
    1 to 3 gm/sec: Idling
    4.5 to 8.5 gm/sec: Running without load (2500 rpm)
    Yes
    Diagnostic Note:
    This is the intake air amount from the mass air flow meter sub-assembly.
    ATMOSPHERE PRESSURE

    Tester Display Measurement Item/Range Normal Condition Stored as Freeze Frame Data
    Atmosphere Pressure Atmospheric pressure/
    Min.: 0 kPa (0 mmHg), Max.: 255 kPa (1913 mmHg)
    Equivalent to atmospheric pressure (absolute pressure) Yes
    Diagnostic Note:
    • This value is calculated from the intake air amount.
    • Standard atmospheric pressure: 101 kPa(abs) [760 mmHg(abs)]
    • For every 100 m (328 ft) increase in altitude, pressure drops by 1 kPa (7.5 mmHg). This varies by weather.
    MAP

    Tester Display Measurement Item/Range Normal Condition Stored as Freeze Frame Data
    MAP Intake manifold pressure/
    Min.: 0 kPa (0 mmHg), Max.: 255 kPa (1913 mmHg)
    • 80 to 110 kPa(abs) [600 to 825 mmHg(abs)]: Power switch on (IG)
    • 28 to 48 kPa(abs) [210 to 360 mmHg(abs)]: Idling
    Yes
    Diagnostic Note:
    This is the intake manifold pressure.
    HINT: 
    • When the power switch is on (IG), the manifold absolute pressure and atmospheric pressure are approximately the same (standard atmospheric pressure = 101 kPa(abs) [758 mmHg(abs)]).
    • As Vapor Pressure Pump together with MAP are almost the same as atmospheric pressure when the engine is stopped, these items can be used to help determine if the manifold absolute pressure sensor characteristics are abnormal, if there is noise, or if the sensor output is stuck at a certain value by comparing the values.
    COOLANT TEMP

    Tester Display Measurement Item/Range Normal Condition Stored as Freeze Frame Data
    Coolant Temp Engine coolant temperature/
    Min.: -40°C (-40°F), Max.: 140°C (284°F)
    80 to 100°C (176 to 212°F): After warming up Yes
    Diagnostic Note:
    This is the engine coolant temperature.
    HINT: 
    • After warming up the engine, the engine coolant temperature is 80 to 100°C (176 to 212°F).
    • After a long soak, the engine coolant temperature, intake air temperature and ambient air temperature are approximately equal.
    • If the value is -40°C (-40°F), or higher than 135°C (275°F), the sensor circuit may be open or shorted.
    • Check if the engine overheats when the value indicates higher than 135°C (275°F).
    INTAKE AIR

    Tester Display Measurement Item/Range Normal Condition Stored as Freeze Frame Data
    Intake Air Intake air temperature/
    Min.: -40°C (-40°F), Max.: 140°C (284°F)
    Equivalent to temperature at location of mass air flow meter sub-assembly Yes
    Diagnostic Note:
    • After a long soak, the engine coolant temperature, intake air temperature and ambient air temperature are approximately equal.
    • If the value is -40°C (-40°F), or higher than 128°C (262°F), the sensor circuit is open or shorted.
    ENGINE RUN TIME

    Tester Display Measurement Item/Range Normal Condition Stored as Freeze Frame Data
    Engine Run Time Engine run time/
    Min.: 0 s (seconds), Max.: 65535 s (seconds)
    Time after power switch on (READY) Yes
    Diagnostic Note:
    This is the time elapsed since the power switch on (READY).
    INITIAL ENGINE COOLANT TEMP

    Tester Display Measurement Item/Range Normal Condition Stored as Freeze Frame Data
    Initial Engine Coolant Temp Initial engine coolant temperature/
    Min.: -40°C (-40°F), Max.: 119.3°C (247°F)
    - Yes
    Diagnostic Note:
    This is the coolant temperature stored when the power switch is turned on (IG).
    INITIAL INTAKE AIR TEMP

    Tester Display Measurement Item/Range Normal Condition Stored as Freeze Frame Data
    Initial Intake Air Temp Initial intake air temperature/
    Min.: -40°C (-40°F), Max.: 119.3°C (247°F)
    - Yes
    Diagnostic Note:
    This is the intake air temperature stored when the power switch is turned on (IG).
    BATTERY VOLTAGE

    Tester Display Measurement Item/Range Normal Condition Stored as Freeze Frame Data
    Battery Voltage Auxiliary battery voltage/
    Min.: 0 V, Max.: 65.535 V
    11 to 16 V: Power switch on (IG) Yes
    Diagnostic Note:
    If 11 V or less, characteristics of some electrical components may change.
  3. Throttle Control (Gas Throttle) 
    THROTTLE SENSOR VOLT %

    Tester Display Measurement Item/Range Normal Condition Stored as Freeze Frame Data
    Throttle Sensor Volt % Throttle valve opening percentage according to throttle position sensor/
    Min.: 0%, Max.: 100%
    10 to 22%: Accelerator pedal fully released Yes
    Diagnostic Note:
    The throttle position sensor No. 1 output is converted using 5 V = 100%.
    HINT: 
    If there are no throttle position sensor DTCs stored, it is possible to conclude that the throttle position sensor system is normal.
    THROTTL SENSOR #2 VOLT %

    Tester Display Measurement Item/Range Normal Condition Stored as Freeze Frame Data
    Throttl Sensor #2 Volt % Throttle valve opening percentage according to throttle position sensor No. 2/
    Min.: 0%, Max.: 100%
    42 to 62%: Accelerator pedal fully released Yes
    Diagnostic Note:
    The throttle position sensor No. 2 output is converted using 5 V = 100%.
    SYSTEM GUARD

    Tester Display Measurement Item/Range Normal Condition Stored as Freeze Frame Data
    System Guard System guard/
    ON or OFF
    ON No
    Diagnostic Note:
    When there is a difference between the target and actual throttle valve opening angles, system guard turns off and stops the electronic throttle control system function.
    OFF: Electronic throttle control is stopped.
    THROTTLE IDLE POSITION

    Tester Display Measurement Item/Range Normal Condition Stored as Freeze Frame Data
    Throttle Idle Position Whether or not throttle position sensor detecting idle/
    ON or OFF
    - No
    Diagnostic Note:
    This is a parameter calculated by the ECM.
    THROTTLE REQUIRE POSITION

    Tester Display Measurement Item/Range Normal Condition Stored as Freeze Frame Data
    Throttle Require Position Required throttle position/
    Min.: 0 V, Max.: 4.98 V
    0.5 to 1.1 V: Idling No
    Diagnostic Note:
    This is a value calculated by the ECM showing the voltage for the target throttle valve position. It is almost an exact match of the Throttle Position No. 1 value except during very rapid throttle valve movement, such as that used during wheelspin control.
    THROTTLE SENSOR POSITION

    Tester Display Measurement Item/Range Normal Condition Stored as Freeze Frame Data
    Throttle Sensor Position Throttle sensor position/
    Min.: 0%, Max.: 100%
    0%: Accelerator pedal released Yes
    Diagnostic Note:
    This is the throttle valve opening amount used for engine control.
    (100% signifies 125° of throttle valve rotation. This does not include the amount the throttle valve is opened to maintain the idle speed during idling.)
    This value has no meaning when the power switch is on (IG) and the engine is stopped.
    The throttle valve opening amount during idling is indicated by 0%.
    THROTTLE POSITION NO. 1

    Tester Display Measurement Item/Range Normal Condition Stored as Freeze Frame Data
    Throttle Position No. 1 Throttle position sensor No. 1 output voltage/
    Min.: 0 V, Max.: 4.98 V
    • 0.5 to 1.1 V: Accelerator pedal fully released
    • 0.6 to 1.4 V: Fail-safe operating
    No
    Diagnostic Note:
    This is the throttle position sensor No. 1 output voltage.
    THROTTLE POSITION NO. 2

    Tester Display Measurement Item/Range Normal Condition Stored as Freeze Frame Data
    Throttle Position No. 2 Throttle position sensor No. 2 output voltage/
    Min.: 0 V, Max.: 4.98 V
    • 2.1 to 3.1 V: Accelerator pedal fully released
    • 2.1 to 3.1 V: Fail-safe operating
    No
    Diagnostic Note:
    This is the throttle position sensor No. 2 output voltage.
    THROTTLE POSITION COMMAND

    Tester Display Measurement Item/Range Normal Condition Stored as Freeze Frame Data
    Throttle Position Command Throttle position command value/
    Min.: 0 V, Max.: 4.98 V
    - No
    Diagnostic Note:
    Throttle Position Command is the same value as Throttle Require Position.
    THROTTLE SENS OPEN POS #1

    Tester Display Measurement Item/Range Normal Condition Stored as Freeze Frame Data
    Throttle Sens Open Pos #1 Throttle position sensor No. 1/
    Min.: 0 V, Max.: 4.98 V
    0.6 to 1.4 V No
    Diagnostic Note:
    This is the throttle position sensor No. 1 output voltage when there is no current supplied to the electronic throttle actuator. The accelerator pedal is released but the throttle valve is kept open by the throttle valve opener with the power switch on (IG).
    THROTTLE SENS OPEN POS #2

    Tester Display Measurement Item/Range Normal Condition Stored as Freeze Frame Data
    Throttle Sens Open Pos #2 Throttle position sensor No. 2/
    Min.: 0 V, Max.: 4.98 V
    1.7 to 2.5 V No
    Diagnostic Note:
    This is the throttle position sensor No. 2 output voltage when there is no current supplied to the electronic throttle actuator. The accelerator pedal is released but the throttle valve is kept open by the throttle valve opener with the power switch on (IG).
    THROTTLE MOTOR CURRENT

    Tester Display Measurement Item/Range Normal Condition Stored as Freeze Frame Data
    Throttle Motor Current Throttle motor current/
    Min.: 0 A, Max.: 19.9 A
    0 to 3.0 A: Idling No
    Diagnostic Note:
    • When this value is large but the actual opening angle (Throttle Position No. 1) does not reach the target opening angle (Throttle Require Position), there is an unable to open malfunction.
    • This value normally fluctuates around 1 A.
    THROTTLE MOTOR DUTY

    Tester Display Measurement Item/Range Normal Condition Stored as Freeze Frame Data
    Throttle Motor DUTY Throttle actuator/
    Min.: 0%, Max.: 100%
    10 to 22%: Idling after engine warmed up Yes
    Diagnostic Note:
    This is the output duty ratio of the throttle actuator drive circuit.
    THROTTLE MOTOR DUTY (OPEN)

    Tester Display Measurement Item/Range Normal Condition Stored as Freeze Frame Data
    Throttle Motor Duty (Open) Throttle actuator duty ratio (open)/
    Min.: 0%, Max.: 255%
    0 to 40%: Idling No
    Diagnostic Note:
    • This is the duty ratio used to drive the throttle actuator and open the throttle valve. It is an ECM command signal.
    • When the throttle valve is being opened, Throttle Motor Duty (Open) is 10 to 50%.
    THROTTLE MOTOR DUTY (CLOSE)

    Tester Display Measurement Item/Range Normal Condition Stored as Freeze Frame Data
    Throttle Motor Duty (Close) Throttle actuator duty ratio (close)/
    Min.: 0%, Max.: 255%
    0 to 40%: Idling No
    Diagnostic Note:
    This is the duty ratio used to drive the throttle actuator and close the throttle valve. It is an ECM command signal.
    HINT: 
    During idling, the throttle valve opening angle is usually controlled using a duty ratio drive signal which closes the throttle valve. However, when carbon deposits build up, it may be necessary to open the throttle valve more than the throttle valve opener does. In that case, the opening angle is controlled using a "Throttle Motor Duty (Open)" signal which opens the throttle valve.
    THROTTLE FULLY CLOSE LEARN

    Tester Display Measurement Item/Range Normal Condition Stored as Freeze Frame Data
    Throttle Fully Close Learn Throttle valve fully closed (learned value)/
    Min.: 0 V, Max.: 4.98 V
    0.4 to 1.0 V: Accelerator pedal fully released No
    Diagnostic Note:
    • The ECM uses this learned value to determine the fully closed (and fully open) position of the throttle valve. This learned value is calculated by the ECM with the throttle valve opener angle (approximately 5.5°, the position when the power switch is on (IG), the accelerator pedal is released and the throttle actuator is off).
    • Learning is performed immediately after the power switch is turned on (IG).
    +BM VOLTAGE

    Tester Display Measurement Item/Range Normal Condition Stored as Freeze Frame Data
    +BM Voltage +BM voltage/
    Min.: 0 V, Max.: 79.998 V
    11 to 16 V: Power switch on (IG) and system normal No
    Diagnostic Note:
    This is the power supply for the electronic throttle actuator. When the power supply is interrupted for approximately 1 second, DTCs P2118 (open circuit) and P0657 (short circuit, ECU malfunction) are stored and the electronic throttle control system enters fail-safe mode (normal operation is not restored until the power switch is turned off).
    ACTUATOR POWER SUPPLY

    Tester Display Measurement Item/Range Normal Condition Stored as Freeze Frame Data
    Actuator Power Supply Actuator power supply/
    ON or OFF
    ON: Idling No
    Diagnostic Note:
    If +BM power is lost, this item changes to OFF.
  4. Fuel System (Gas General) 
    INJECTOR (PORT)

    Tester Display Measurement Item/Range Normal Condition Stored as Freeze Frame Data
    Injector (Port) Injection period of the No. 1 cylinder/
    Min.: 0 μs, Max.: 65535 μs
    1000 to 3000 μs: Idling Yes
    Diagnostic Note:
    This is the injection period of the No. 1 cylinder (the command value from the ECM).
    INJECTION VOLUM (CYLINDER 1)

    Tester Display Measurement Item/Range Normal Condition Stored as Freeze Frame Data
    Injection Volum (Cylinder 1) Injection volume (Cylinder 1)/
    Min.: 0 ml, Max.: 2.047 ml
    0.03 to 0.13 ml: Idling Yes
    Diagnostic Note:
    This is the fuel injection volume for 10 injections.
    FUEL PUMP/SPEED STATUS

    Tester Display Measurement Item/Range Normal Condition Stored as Freeze Frame Data
    Fuel Pump/Speed Status Fuel pump status/
    ON or OFF
    ON: Engine running Yes
  5. EVAP System 1 (All Data) 
    VACUUM PUMP

    Tester Display Measurement Item/Range Normal Condition Stored as Freeze Frame Data
    Vacuum Pump Key-off EVAP system leak detection pump status/
    ON or OFF
    - Yes
    Diagnostic Note:
    This item changes to ON during the key-off EVAP monitor which is performed approximately 5 hours after the power switch is turned off.
  6. EVAP System 2 (Gas Evaporative) 
    EVAP (PURGE) VSV

    Tester Display Measurement Item/Range Normal Condition Stored as Freeze Frame Data
    EVAP (Purge) VSV Purge VSV control duty/
    Min.: 0%, Max.: 100%
    0 to 50%: Idling, under purge control Yes
    Diagnostic Note:
    • This is the command signal from the ECM.
    • This is the purge VSV control duty ratio. When EVAP (Purge) VSV is any value except 0%, EVAP purge* is being performed.

      *: Fuel vapor from the fuel tank is being introduced into the intake system via the purge VSV.

    • When the engine is cold or immediately after the engine is started, EVAP (Purge) VSV is 0%.
    EVAP PURGE FLOW

    Tester Display Measurement Item/Range Normal Condition Stored as Freeze Frame Data
    Evap Purge Flow Purge flow/
    Min.: 0%, Max.: 399.9%
    0 to 10%: Idling Yes
    Diagnostic Note:
    This is the percentage of total engine airflow contributed by EVAP purge operation.
    (Evap Purge Flow = Purge flow / Engine airflow x 100 (%))
    It is based on MAF and a stored value for airflow and controlled by adjusting the duty cycle for the purge VSV.
    PURGE DENSITY LEARN VALUE

    Tester Display Measurement Item/Range Normal Condition Stored as Freeze Frame Data
    Purge Density Learn Value Purge density learned value/
    Min.: -200, Max.: 199.993
    -40 to 10: Idling Yes
    Diagnostic Note:
    Purge Density Learn Value is the proportion of the decrease in injection volume (based on the change in the air fuel ratio feedback compensation value) related to a 1% purge flow rate.
    When Purge Density Learn Value is a large negative value, the purge effect is large.
    The purge density is determined from the change in the air fuel ratio feedback compensation value when purge flow is introduced.
    Purge density learning is performed so that the feedback compensation value is 0 +/-2%.
    HINT: 
    • Usually, the value is approximately +/-1%.
    • 1%: The concentration of HC in the purge gas is relatively low.
    • 0%: The concentration of HC in the purge gas is approximately equal to the stoichiometric air fuel ratio.
    • Large negative values indicate that the concentration of HC in the purge gas is relatively high.
    VAPOR PRESSURE PUMP

    Tester Display Measurement Item/Range Normal Condition Stored as Freeze Frame Data
    Vapor Pressure Pump Vapor pressure/
    Min.: 0 kPa (0 mmHg), Max.: 1441.77 kPa (10813.27 mmHg)
    Approximately 100 kPa(abs) [750 mmHg(abs)]: Power switch on (IG) No
    Diagnostic Note:
    This is the EVAP system pressure monitored by the canister pressure sensor.
    HINT: 
    • Except for when the monitor is running, this value should be approximately the same as atmospheric pressure.
    • As MAP with Vapor Pressure Pump are almost the same as atmospheric pressure when the engine is stopped, these items can be used to help determine if the canister pressure sensor characteristics are abnormal, if there is noise, or if the sensor output is stuck at a certain value.
    VAPOR PRESSURE TANK

    Tester Display Measurement Item/Range Normal Condition Stored as Freeze Frame Data
    Vapor Pressure Tank Fuel tank pressure/
    Min.: -25.6 kPa (-192 mmHg), Max.: 25.599 kPa (192 mmHg)
    Atmospheric pressure: Fuel tank cap removed No
    Diagnostic Note:
    Pressure inside fuel tank monitored by fuel tank pressure sensor.
    EVAP VAPOR PRESSURE (WIDE)

    Tester Display Measurement Item/Range Normal Condition Stored as Freeze Frame Data
    EVAP Vapor Pressure (Wide) Fuel tank pressure (wide range)/
    Min.: -32.76 kPa (-246 mmHg), Max.: 32.76 kPa (246 mmHg)
    Atmospheric pressure: Fuel tank cap removed Yes
    VAPOR PRESSURE (CALCULATED)

    Tester Display Measurement Item/Range Normal Condition Stored as Freeze Frame Data
    Vapor Pressure (Calculated) Calculated EVAP system pressure/
    Min.: -720.896 kPa (-5406.72 mmHg), Max.: 720.874 kPa (5406.555 mmHg)
    Approximately 100 kPa(abs) [750 mmHg(abs)]: Power switch on (IG) No
    EVAP SYSTEM VENT VALVE

    Tester Display Measurement Item/Range Normal Condition Stored as Freeze Frame Data
    EVAP System Vent Valve Key-off EVAP system vent valve status/
    ON or OFF
    OFF: Vent
    ON: Close
    Yes
    FUEL FILLER OPENER

    Tester Display Measurement Item/Range Normal Condition Stored as Freeze Frame Data
    Fuel Filler Opener Fuel lid opener motor status/
    ON or OFF
    ON: Fuel lid opener motor is actuated
    OFF: Fuel lid opener motor is not actuated
    Yes
    FUEL VAPOR-CONTAINMENT VALVE

    Tester Display Measurement Item/Range Normal Condition Stored as Freeze Frame Data
    Fuel Vapor-Containment Valve Fuel vapor-containment valve status/
    ON or OFF
    ON: Fuel vapor-containment valve open Yes
    FUEL LID

    Tester Display Measurement Item/Range Normal Condition Stored as Freeze Frame Data
    Fuel Lid Fuel lid courtesy switch status/
    Close or Open
    Open: Fuel lid open
    Close: Fuel lid closed
    Yes
    FUEL LID SWITCH

    Tester Display Measurement Item/Range Normal Condition Stored as Freeze Frame Data
    Fuel Lid Switch Fuel lid opener switch status/
    ON or OFF
    ON: Fuel lid opener switch pushed
    OFF: Fuel lid opener switch not pushed
    Yes
    EVAP PURGE VSV

    Tester Display Measurement Item/Range Normal Condition Stored as Freeze Frame Data
    EVAP Purge VSV VSV status for EVAP control/
    ON or OFF
    - Yes
    Diagnostic Note:
    This parameter displays ON when EVAP (Purge) VSV is 30% or higher, and displays OFF when the VSV duty ratio is less than 30%.
    PURGE CUT VSV DUTY

    Tester Display Measurement Item/Range Normal Condition Stored as Freeze Frame Data
    Purge Cut VSV Duty Purge VSV duty/
    Min.: 0%, Max.: 399.9%
    - Yes
  7. Air Fuel Ratio Control (All Data) 
    TARGET AIR-FUEL RATIO

    Tester Display Measurement Item/Range Normal Condition Stored as Freeze Frame Data
    Target Air-Fuel Ratio Target air fuel ratio/
    Min.: 0, Max.: 1.99
    0.8 to 1.2: During idling Yes
    Diagnostic Note:
    This is the target air fuel ratio used by the ECM.
    • 1.0 is the stoichiometric air fuel ratio. Values that are more than 1 indicate the system attempting to make the air fuel ratio leaner. Values that are less than 1 indicate the system attempting to make the air fuel ratio richer.
    • Target Air-Fuel Ratio and AF Lambda B1S1 are related.
  8. Air Fuel Ratio Control 2 (Gas AF O2 Sensor) 
    AF LAMBDA B1S1

    Tester Display Measurement Item/Range Normal Condition Stored as Freeze Frame Data
    AF Lambda B1S1 Output air fuel ratio associated with bank 1 sensor 1/
    Min.: 0, Max.: 1.99
    • Value less than 1 (0.000 to 0.999) = Rich
    • 1 = Stoichiometric air fuel ratio
    • Value more than 1 (1.001 to 1.999) = Lean
    Yes
    Diagnostic Note:
    This is the actual air fuel ratio calculated based on the air fuel ratio sensor output.
    AFS VOLTAGE B1S1

    Tester Display Measurement Item/Range Normal Condition Stored as Freeze Frame Data
    AFS Voltage B1S1 Air fuel ratio sensor output voltage for bank 1 sensor 1/
    Min.: 0 V, Max.: 7.99 V
    2.6 to 3.8 V: Idling after engine warmed up Yes
    Diagnostic Note:
    This is the voltage output of the air fuel ratio sensor (the voltage cannot be measured at the terminals of the sensor). This value is calculated by the ECM based on the current output of the air fuel ratio sensor (refer to AFS Current B1S1 below for the actual sensor output).
    AFS CURRENT B1S1

    Tester Display Measurement Item/Range Normal Condition Stored as Freeze Frame Data
    AFS Current B1S1 Air fuel ratio sensor output current for bank 1 sensor 1/
    Min.: -128 mA, Max.: 127.99 mA
    -0.5 to 0.5 mA: Idling, engine warmed up Yes
    Diagnostic Note:
    • With a stoichiometric air fuel ratio (for example, during idling after the engine is warmed up), the air fuel ratio sensor current output is approximately -0.5 to 0.5 mA.
    • When the value is outside the range of 0.7 to 2.2 mA when the fuel-cut is being performed, there is a malfunction in the air fuel ratio sensor or sensor circuit.
    A/F HEATER DUTY #1

    Tester Display Measurement Item/Range Normal Condition Stored as Freeze Frame Data
    A/F Heater Duty #1 Air fuel ratio sensor heater duty ratio for bank 1 sensor 1/
    Min.: 0%, Max.: 399.9%
    0 to 100% Yes
    Diagnostic Note:
    When the value is any value except 0%, current is being supplied to the heater.
    O2S B1S2

    Tester Display Measurement Item/Range Normal Condition Stored as Freeze Frame Data
    O2S B1S2 Heated oxygen sensor output voltage for bank 1 sensor 2/
    Min.: 0 V, Max.: 1.275 V
    0.0 to 0.9 V: Driving at 70 km/h (43 mph) Yes
    Diagnostic Note:
    This is the output voltage of the heated oxygen sensor.
    • Values close to 0 V indicate an air fuel ratio leaner than the stoichiometric ratio.
    • Values close to 1 V indicate an air fuel ratio richer than the stoichiometric ratio.
    • During air fuel ratio feedback control, the value moves back and forth in the range of 0 to 1 V.
    O2S IMPEDANCE B1S2

    Tester Display Measurement Item/Range Normal Condition Stored as Freeze Frame Data
    O2S Impedance B1S2 Heated oxygen sensor impedance for bank 1 sensor 2/
    Min.: 0 ohm, Max.: 21247.67 ohm
    5 to 15000 ohm: After driving for 10 minutes or more in urban area Yes
    Diagnostic Note:
    After driving approximately 10 minutes in an urban area: 5 to 15000 ohm
    HINT: 
    When the value is outside the range of 5 to 15000 ohm, there is a problem in the heated oxygen sensor or sensor circuit.
    O2 HEATER B1S2

    Tester Display Measurement Item/Range Normal Condition Stored as Freeze Frame Data
    O2 Heater B1S2 Heated oxygen sensor heater for bank 1 sensor 2/
    Not Act or Active
    - Yes
    O2 HEATER CURR VAL B1S2

    Tester Display Measurement Item/Range Normal Condition Stored as Freeze Frame Data
    O2 Heater Curr Val B1S2 Heated oxygen sensor current for bank 1 sensor 2/
    Min.: 0 A, Max.: 4.999 A
    - Yes
    Diagnostic Note:
    When the value is any value except 0 A, current is being supplied to the heater.
    SHORT FT #1

    Tester Display Measurement Item/Range Normal Condition Stored as Freeze Frame Data
    Short FT #1 Short-term fuel trim for bank 1/
    Min.: -100%, Max.: 99.2%
    -20 to 20% Yes
    Diagnostic Note:
    This item is the "short-term fuel injection volume compensation ratio" used to maintain the air fuel ratio at the stoichiometric ratio using the air fuel ratio sensor for feedback.
    LONG FT #1

    Tester Display Measurement Item/Range Normal Condition Stored as Freeze Frame Data
    Long FT #1 Long-term fuel trim for bank 1/
    Min.: -100%, Max.: 99.2%
    -20 to 20% Yes
    Diagnostic Note:
    The ECM will learn the Long FT #1 values based on Short FT #1. The goal is to keep Short FT #1 at 0% to keep the air fuel ratio mixture at the stoichiometric ratio.
    This value is used to determine whether the system related to air fuel ratio control is malfunctioning.
    The condition of the system is determined based on the sum of Short FT #1 and Long FT #1 (excluding times when the system is in transition).
    • 20% or higher: There may be a lean air fuel ratio.
    • -20 to 20%: The air fuel ratio can be determined to be normal.
    • -20% or less: There may be a rich air fuel ratio.
    • Air fuel ratio feedback learning is divided up according to the engine operating range (engine speed x load), and a separate value is stored for each operating range. "Long FT #1" indicates the learned value for the current operating range.

      [A/F Learn Value Idle #1], [A/F Learn Value Low #1], [A/F Learn Value Mid1 #1], [A/F Learn Value Mid2 #1] and [A/F Learn Value High #1] indicate the learned values for the different operating ranges. The learned value that is the same as "Long FT #1" indicates the current engine operating range.

    A/F LEARN VALUE IDLE #1

    Tester Display Measurement Item/Range Normal Condition Stored as Freeze Frame Data
    A/F Learn Value Idle #1 Idle area of air fuel ratio learn value/
    Min.: -50%, Max.: 49.6%
    -20 to 20% Yes
    Diagnostic Note:
    Learning is performed when idling with the engine warmed up (engine coolant temperature is 80°C [176°F] or higher).
    A/F LEARN VALUE LOW #1

    Tester Display Measurement Item/Range Normal Condition Stored as Freeze Frame Data
    A/F Learn Value Low #1 Low load area of air fuel ratio learn value/
    Min.: -50%, Max.: 49.6%
    -20 to 20% Yes
    Diagnostic Note:
    Learning is performed when driving with the engine warmed up (engine coolant temperature is 80°C [176°F] or higher) and operating in the low load range (when the range of engine loads is divided into four parts).
    A/F LEARN VALUE MID1 #1

    Tester Display Measurement Item/Range Normal Condition Stored as Freeze Frame Data
    A/F Learn Value Mid1 #1 Middle 1 load area of air fuel ratio learn value/
    Min.: -50%, Max.: 49.6%
    -20 to 20% Yes
    Diagnostic Note:
    Learning is performed when driving with the engine warmed up (engine coolant temperature is 80°C [176°F] or higher) and operating in the mid-size load range closer to the low load range (when the range of engine loads is divided into four parts).
    A/F LEARN VALUE MID2 #1

    Tester Display Measurement Item/Range Normal Condition Stored as Freeze Frame Data
    A/F Learn Value Mid2 #1 Middle 2 load area of air fuel ratio learn value/
    Min.: -50%, Max.: 49.6%
    -20 to 20% Yes
    Diagnostic Note:
    Learning is performed when driving with the engine warmed up (engine coolant temperature is 80°C [176°F] or higher) and operating in the mid-size load range closer to the high load range (when the range of engine loads is divided into four parts).
    A/F LEARN VALUE HIGH #1

    Tester Display Measurement Item/Range Normal Condition Stored as Freeze Frame Data
    A/F Learn Value High #1 High load area of air fuel ratio learn value/
    Min.: -50%, Max.: 49.6%
    -20 to 20% Yes
    Diagnostic Note:
    Learning is performed when driving with the engine warmed up (engine coolant temperature is 80°C [176°F] or higher) and operating in the high load range (when the range of engine loads is divided into four parts).
    TOTAL FT #1

    Tester Display Measurement Item/Range Normal Condition Stored as Freeze Frame Data
    Total FT #1 Total fuel trim for bank 1 (Average value for fuel trim system of bank 1)/
    Min.: -0.5, Max.: 0.496
    -0.28 to 0.2: Idling Yes
    Diagnostic Note:
    Total FT #1 = Short FT #1 + Long FT #1
    FUEL SYSTEM STATUS #1

    Tester Display Measurement Item/Range Normal Condition Stored as Freeze Frame Data
    Fuel System Status #1 Fuel system status for bank 1/
    OL, CL, OLDrive, OLFault, CLFault, Unused
    CL: Idling after warming up Yes
    Diagnostic Note:
    • OL (Open Loop): Has not yet satisfied conditions to go to closed loop.
    • CL (Closed Loop): Feedback for fuel control.
    • OLDrive: Open loop due to driving conditions (fuel enrichment).
    • OLFault: Open loop due to a detected system fault.
    • CLFault: Closed loop but the air fuel ratio sensor, which is used for fuel control, is malfunctioning.

    CL (Closed Loop): During air fuel ratio feedback control, AF Lambda B1S1 is approximately 1.0 and AFS Voltage B1S1 is approximately 3.3 V.
    FUEL SYSTEM STATUS #2

    Tester Display Measurement Item/Range Normal Condition Stored as Freeze Frame Data
    Fuel System Status #2 Fuel system status for bank 2/
    OL, CL, OLDrive, OLFault, CLFault, Unused
    Unused Yes
  9. Ignition System (Ignition) 
    IGN ADVANCE

    Tester Display Measurement Item/Range Normal Condition Stored as Freeze Frame Data
    IGN Advance Ignition timing advance for No. 1 cylinder/
    Min.: -64 deg., Max.: 63.5 deg.
    BTDC 0 to 16 deg.: Idling Yes
    KNOCK FEEDBACK VALUE

    Tester Display Measurement Item/Range Normal Condition Stored as Freeze Frame Data
    Knock Feedback Value Knocking feedback value/
    Min.: -1024°CA, Max.: 1023.9°CA
    -20 to 0°CA
    Driving at 70 km/h (43 mph)
    Yes
    Diagnostic Note:
    This is the ignition timing retard compensation amount determined by the presence or absence of knocking.
    Ignition timing = Most retarded timing value*1 + Knock Correct Learn Value*2 + Knock Feedback Value*3 + each compensation amount
    Example: 21°CA = 10°CA + 14°CA - 3°CA
    *1: The most retarded timing value is a constant determined by the engine speed and engine load.
    *2: The knock correction learned value is calculated as shown below in order to keep Knock Feedback Value as close to -3°CA as possible.
    When Knock Feedback Value is less than -4°CA, Knock Correct Learn Value is slowly decreased.
    When Knock Feedback Value is more than -2°CA, Knock Correct Learn Value is slowly increased.
    *3: The base value is -3°CA and is adjusted based on the presence or absence of knocking. When there is no knocking, the value is increased, and when knocking is present, the value is decreased.
    • -1°CA: There is no knocking and ignition timing is advanced.
    • -6°CA: Knocking is present and the ignition timing is being retarded.

    HINT: 
    If Knock Feedback Value does not change around the time when knocking occurs even though knocking continues (for example, stays at -3°CA), it can be determined that knocking is not being detected.
    Possible Causes: 
    • There is a problem with the knock control sensor sensitivity.
    • The knock control sensor is improperly installed.
    • There is a problem with a wire harness.
    KNOCK CORRECT LEARN VALUE

    Tester Display Measurement Item/Range Normal Condition Stored as Freeze Frame Data
    Knock Correct Learn Value Knocking correction learned value/
    Min.: -1024°CA, Max.: 1023.9°CA
    0 to 22°CA
    Driving at 70 km/h (43 mph)
    Yes
    Diagnostic Note:
    Refer to "Knock Feedback Value".
    When there is knocking or a lack of power, compare the following values to another vehicle of the same model.
    • Engine Speed
    • Calculate Load
    • IGN Advance
    • Knock Feedback Value
    • Knock Correct Learn Value

    Knock Correct Learn Value is large: There is no knocking and the ignition timing is advanced.
    Knock Correct Learn Value is small: Knocking is present and the ignition timing is being retarded.
    HINT: 
    When knocking continues even though Knock Correct Learn Value is less than that of the vehicle being used for comparison (in other words, the ignition timing is being retarded but the knocking is not stopping), there may be a buildup of deposits or other such problems due to deterioration over time (oil entering the cylinders, poor quality fuel, etc.).
  10. EGR System (All Data) 
    TARGET EGR POSITION

    Tester Display Measurement Item/Range Normal Condition Stored as Freeze Frame Data
    Target EGR Position EGR valve target opening amount/
    Min.: 0%, Max.: 100%
    0%: Idling Yes
    Diagnostic Note:
    When the engine is cold or idling, at engine start, etc., the value is 0%.
    • When the valve is fully closed, the value is 0%.
    • When the valve is fully open, the value is 100%.

    HINT: 
    During normal operation, control is performed with this value at 35% or less.
    EGR STEP POSITION

    Tester Display Measurement Item/Range Normal Condition Stored as Freeze Frame Data
    EGR Step Position EGR step position/
    Min.: 0 step, Max.: 255 step
    0 step: Idling Yes
    Diagnostic Note:
    This is the ECM control command.
    • When the valve is fully closed, the value is 0 step.
    • When the valve is fully open, the value is 110 step.
  11. VVT Control 1 (All Data) 
    ACTUAL VVT ANGLE #1

    Tester Display Measurement Item/Range Normal Condition Stored as Freeze Frame Data
    Actual VVT Angle #1 Actual VVT angle for bank 1/
    Min.: 0 DegFR, Max.: 639.9 DegFR
    - Yes
    Diagnostic Note:
    This item is displayed in freeze frame data only.
  12. VVT Control 2 (Gas Valve Control) 
    VVT CONTROL STATUS #1

    Tester Display Measurement Item/Range Normal Condition Stored as Freeze Frame Data
    VVT Control Status #1 Variable valve timing (VVT) control status for bank 1/
    ON or OFF
    - Yes
    Diagnostic Note:
    ON: The ECM is sending commands to change the timing (even when the timing is advanced, when the timing is being maintained and not being retarded or advanced any further, the value changes to OFF).
    OFF: The system is commanding the timing to change to the most retarded timing.
    VVT AIM ANGLE #1

    Tester Display Measurement Item/Range Normal Condition Stored as Freeze Frame Data
    VVT Aim Angle #1 VVT hold duty learned value for bank 1/
    Min.: 0%, Max.: 399.9%
    - No
    Diagnostic Note:
    This value represents the duty ratio necessary to operate the camshaft timing oil control valve assembly in order to block the camshaft timing oil control valve assembly path and maintain the advanced state of the VVT controller. This is only available during the Active Test.
    VVT CHANGE ANGLE #1

    Tester Display Measurement Item/Range Normal Condition Stored as Freeze Frame Data
    VVT Change Angle #1 VVT displacement angle for bank 1/
    Min.: 0 DegFR, Max.: 639.9 DegFR
    - No
    Diagnostic Note:
    This is the VVT displacement angle during forced operation.
    This is only available during the Active Test.
    By checking the VVT Change Angle during the Active Test, it is also possible to determine whether or not the camshaft position sensor signal is being output.
    VVT OCV DUTY #1

    Tester Display Measurement Item/Range Normal Condition Stored as Freeze Frame Data
    VVT OCV Duty #1 VVT camshaft timing oil control valve assembly operation duty for bank 1/
    Min.: 0%, Max.: 399.9%
    - No
    Diagnostic Note:
    This is the requested duty value for forced operation.
    This is only available during the Active Test.
  13. Various Vehicle Conditions 2 (All Data) 
    VN TURBO TYPE

    Tester Display Measurement Item/Range Normal Condition Stored as Freeze Frame Data
    VN Turbo Type Variable nozzle turbo type/
    Not Avl or Commo or Vacuum or CAN Com
    Not Avl (Unused) No
  14. Catalyst (Gas CAT Converter) 
    CATALYST TEMP B1S1

    Tester Display Measurement Item/Range Normal Condition Stored as Freeze Frame Data
    Catalyst Temp B1S1 Catalyst temperature for bank 1 sensor 1/
    Min.: -40°C (-40°F), Max.: 6513.5°C (11756.3°F)
    - Yes
    Diagnostic Note:
    This is the temperature of the front catalyst estimated by the ECM.
    This value is included in the conditions used to detect catalyst deterioration (DTC P0420), etc., and should therefore be used as a reference when recreating malfunction conditions.
    CATALYST TEMP B1S2

    Tester Display Measurement Item/Range Normal Condition Stored as Freeze Frame Data
    Catalyst Temp B1S2 Catalyst temperature for bank 1 sensor 2/
    Min.: -40°C (-40°F), Max.: 6513.5°C (11756.3°F)
    - Yes
    Diagnostic Note:
    This is the temperature of the rear catalyst estimated by the ECM.
  15. Various Vehicle Conditions 3 (All Data) 
    CLOSED THROTTLE POSITION SW

    Tester Display Measurement Item/Range Normal Condition Stored as Freeze Frame Data
    Closed Throttle Position SW Closed throttle position switch/
    ON or OFF
    - Yes
    FUEL CUT CONDITION

    Tester Display Measurement Item/Range Normal Condition Stored as Freeze Frame Data
    Fuel Cut Condition Fuel cut condition/
    ON or OFF
    ON: Fuel cut operating or engine stopped Yes
  16. Check Mode (Check Mode) 
    CHECK MODE

    Tester Display Measurement Item/Range Normal Condition Diagnostic Note Stored as Freeze Frame Data
    Check Mode Check mode/
    ON or OFF
    ON: Check mode ON Refer to Check Mode Procedure. Refer to CHECK MODE PROCEDURE . No
    Misfire Test Result Check mode result for misfire monitor/
    Compl or Incmpl
    - - No
    OXS1 Test Result Check mode result for heated oxygen sensor (Bank 1)/
    Compl or Incmpl
    - - No
    A/F Test Results #1 Check mode result for air fuel ratio sensor (Bank 1)/
    Compl or Incmpl
    - - No
  17. Test Result (Monitor Status) 
    MONITOR INFORMATION 1

    Tester Display Measurement Item/Range Normal Condition Diagnostic Note Stored as Freeze Frame Data
    Complete Parts Monitor Comprehensive component monitor/
    Not Avl or Avail
    - *1 No
    Fuel System Monitor Fuel system monitor/
    Not Avl or Avail
    - *1 No
    Misfire Monitor Misfire monitor/
    Not Avl or Avail
    - *1 No
    EGR/VVT Monitor EGR/VVT monitor/
    Not Avl or Avail
    - *1 No
    EGR/VVT Monitor EGR/VVT monitor/
    Compl or Incmpl
    - *1 No
    O2S(A/FS) Heater Monitor O2S (A/FS) heater monitor/
    Not Avl or Avail
    - *1 No
    O2S(A/FS) Heater Monitor O2S (A/FS) heater monitor/
    Compl or Incmpl
    - *1 No
    O2S(A/FS) Monitor O2S (A/FS) monitor/
    Not Avl or Avail
    - *1 No
    O2S(A/FS) Monitor O2S (A/FS) monitor/
    Compl or Incmpl
    - *1 No
    A/C Monitor A/C monitor/
    Not Avl or Avail
    - *1 No
    A/C Monitor A/C monitor/
    Compl or Incmpl
    - *1 No
    2nd Air Monitor 2nd air monitor/
    Not Avl or Avail
    - *1 No
    2nd Air Monitor 2nd air monitor/
    Compl or Incmpl
    - *1 No
    EVAP Monitor EVAP monitor/
    Not Avl or Avail
    - *1 No
    EVAP Monitor EVAP monitor/
    Compl or Incmpl
    - *1 No
    Heated Catalyst Monitor Heated catalyst monitor/
    Not Avl or Avail
    - *1 No
    Heated Catalyst Monitor Heated catalyst monitor/
    Compl or Incmpl
    - *1 No
    Catalyst Monitor Catalyst monitor/
    Not Avl or Avail
    - *1 No
    Catalyst Monitor Catalyst monitor/
    Compl or Incmpl
    - *1 No
    *1:
    Avail: The monitor is available on the vehicle.
    Not Avl: The monitor is not available on the vehicle.
    Incmpl / Compl: The item changes from Incmpl to Compl if the monitor was completed at least once at some time in the past. This item does not change when the power switch is turned off. However, the item changes back to Incmpl when DTCs are cleared or the auxiliary battery cable is disconnected.
    Monitor result (mode 06): The last judgment result is output. This is not cleared when the power switch is turned off, but is cleared when DTCs are cleared.
    MONITOR INFORMATION 2

    Tester Display Measurement Item/Range Normal Condition Diagnostic Note Stored as Freeze Frame Data
    Component Monitor ENA Comprehensive component monitor/
    Unable or Enable
    - *2 No
    Component Monitor CMPL Comprehensive component monitor/
    Compl or Incmpl
    - *2 No
    Fuel System Monitor ENA Fuel system monitor/
    Unable or Enable
    - *2 No
    Fuel System Monitor CMPL Fuel system monitor/
    Compl or Incmpl
    - *2 No
    Misfire Monitor ENA Misfire monitor/
    Unable or Enable
    - *2 No
    Misfire Monitor CMPL Misfire monitor/
    Compl or Incmpl
    - *2 No
    EGR/VVT Monitor ENA EGR monitor/
    Unable or Enable
    - *2 No
    EGR/VVT Monitor CMPL EGR monitor/
    Compl or Incmpl
    - *2 No
    Heater Monitor ENA O2S (A/FS) heater monitor/
    Unable or Enable
    - *2 No
    Heater Monitor CMPL O2S (A/FS) heater monitor/
    Compl or Incmpl
    - *2 No
    O2S(A/FS) Monitor ENA O2S (A/FS) monitor/
    Unable or Enable
    - *2 No
    O2S(A/FS) Monitor CMPL O2S (A/FS) monitor/
    Compl or Incmpl
    - *2 No
    A/C Monitor ENA A/C monitor/
    Unable or Enable
    - *2 No
    A/C Monitor CMPL A/C monitor/
    Compl or Incmpl
    - *2 No
    2nd Air Monitor ENA 2nd air monitor/
    Unable or Enable
    - *2 No
    2nd Air Monitor CMPL 2nd air monitor/
    Compl or Incmpl
    - *2 No
    EVAP Monitor ENA EVAP monitor/
    Unable or Enable
    - *2 No
    EVAP Monitor CMPL EVAP monitor/
    Compl or Incmpl
    - *2 No
    Heated Cat Monitor ENA Heated catalyst monitor/
    Unable or Enable
    - *2 No
    Heated Cat Monitor CMPL Heated catalyst monitor/
    Compl or Incmpl
    - *2 No
    Catalyst Monitor ENA Catalyst monitor/
    Unable or Enable
    - *2 No
    Catalyst Monitor CMPL Catalyst monitor/
    Compl or Incmpl
    - *2 No
    *2:
    Enable: The monitor is available on the vehicle.
    Unable: The monitor is not available on the vehicle.
    Incmpl / Compl: The item changes from Incmpl to Compl if the monitor was completed during the current trip. The item changes back to Incmpl when the power switch is turned off.
    Monitor result (mode 06): The last judgment result is output. This is not cleared when the power switch is turned off, but is cleared when DTCs are cleared. Therefore, only when DTCs are cleared at the beginning of a trip do the system monitor (Monitor Information 2) and monitor result (mode 06) match.
  18. Various Vehicle Conditions 4 (All Data) 
    TC TERMINAL

    Tester Display Measurement Item/Range Normal Condition Stored as Freeze Frame Data
    TC Terminal TC terminal status/
    ON or OFF
    - Yes
    # CODES (INCLUDE HISTORY)

    Tester Display Measurement Item/Range Normal Condition Stored as Freeze Frame Data
    # Codes (Include History) Number of codes/
    Min.: 0, Max.: 255
    0 No
    Diagnostic Note:
    This is the number of DTCs stored.
    MIL

    Tester Display Measurement Item/Range Normal Condition Stored as Freeze Frame Data
    MIL MIL status/
    ON or OFF
    OFF No
    MIL ON RUN DISTANCE

    Tester Display Measurement Item/Range Normal Condition Stored as Freeze Frame Data
    MIL ON Run Distance Distance driven with MIL on/
    Min.: 0 Km (0 mile), Max.: 65535 Km (40723 mile)
    - No
    Diagnostic Note:
    This is the distance driven after a DTC is stored.
    RUNNING TIME FROM MIL ON

    Tester Display Measurement Item/Range Normal Condition Stored as Freeze Frame Data
    Running Time from MIL ON Running time from MIL ON/
    Min.: 0 min, Max.: 65535 min
    Running time after MIL turned on No
    TIME AFTER DTC CLEARED

    Tester Display Measurement Item/Range Normal Condition Stored as Freeze Frame Data
    Time after DTC Cleared Time after DTCs cleared/
    Min.: 0 min, Max.: 65535 min
    Time after DTCs cleared Yes
    Diagnostic Note:
    This is the time elapsed after DTCs were cleared (or after the vehicle left the factory). Time elapsed after the power switch is turned off is not counted.
    DISTANCE FROM DTC CLEARED

    Tester Display Measurement Item/Range Normal Condition Stored as Freeze Frame Data
    Distance from DTC Cleared Distance driven after DTCs cleared/
    Min.: 0 km (0 mile), Max.: 65535 km (40723 mile)
    Equivalent to driven distance after DTCs cleared Yes
    Diagnostic Note:
    This is the distance driven after DTCs were cleared (or after the vehicle left the factory).
    WARMUP CYCLE CLEARED DTC

    Tester Display Measurement Item/Range Normal Condition Stored as Freeze Frame Data
    Warmup Cycle Cleared DTC Warmup cycles after DTCs cleared/
    Min.: 0, Max.: 255
    - Yes
    Diagnostic Note:
    This is the number of warmup cycles after the DTCs were cleared.
    This is the number of times the engine was warmed up* after DTCs were cleared (or after the vehicle left the factory).
    *: An engine warmup is defined as the engine coolant temperature rising 20°C (36°F) or higher and reaching a temperature of 70°C (158°F) or higher after the engine is started.
    DIST BATT CABLE DISCONNECT

    Tester Display Measurement Item/Range Normal Condition Stored as Freeze Frame Data
    Dist Batt Cable Disconnect Distance driven after auxiliary battery cable disconnected/
    Min.: 0 Km (0 mile), Max.: 65535 Km (40723 mile)
    Distance driven after DTCs cleared Yes
    IG OFF ELAPSED TIME

    Tester Display Measurement Item/Range Normal Condition Stored as Freeze Frame Data
    IG OFF Elapsed Time Time after power switch off/
    Min.: 0 min, Max.: 655350 min
    Cumulative time after power switch off Yes
    OBD REQUIREMENTS

    Tester Display Measurement Item/Range Normal Condition Stored as Freeze Frame Data
    OBD Requirements OBD requirement OBD II (California ARB) No
    NUMBER OF EMISSION DTC

    Tester Display Measurement Item/Range Normal Condition Stored as Freeze Frame Data
    Number of Emission DTC Emission related DTCs - No
    Diagnostic Note:
    This is the number of emissions-related DTCs.
    TC AND TE1

    Tester Display Measurement Item/Range Normal Condition Stored as Freeze Frame Data
    TC and TE1 TC and CG (TE1) terminals of DLC3/
    ON or OFF
    - Yes
  19. Misfire (Gas Misfire) 
    IGNITION TRIG. COUNT

    Tester Display Measurement Item/Range Normal Condition Stored as Freeze Frame Data
    Ignition Trig. Count Ignition counter/
    Min.: 0, Max.: 65535
    0 to 400 Yes
    Diagnostic Note:
    This is the cumulative number of ignitions.
    This counter is incremented by one for each ignition (this stops when misfire monitoring stops). This value is cleared every 200 revolutions.
    The misfire rate for each cylinder is calculated by dividing the misfire count for each cylinder by Ignition Trig. Count.
    The misfire rate for each cylinder = Cylinder 1 to 4 Misfire Count / Ignition Trig. Count
    HINT: 
    • For 4-cylinder engines, the values range from 0 to 400.
    • For 6-cylinder engines, the values range from 0 to 600.
    • For 8-cylinder engines, the values range from 0 to 800.
    CYLINDER #1 MISFIRE COUNT TO CYLINDER #4 MISFIRE COUNT

    Tester Display Measurement Item/Range Normal Condition Stored as Freeze Frame Data
    Cylinder #1 Misfire Count
    Cylinder #2 Misfire Count
    Cylinder #3 Misfire Count
    Cylinder #4 Misfire Count
    Misfire count of cylinders 1 to 4/
    Min.: 0, Max.: 255
    0 Yes
    Diagnostic Note:
    This is the misfire count for each individual cylinder.
    This counter is incremented by one for each misfire and is cleared every 200 revolutions.
    Check this item to help determine the malfunctioning cylinder.
    ALL CYLINDERS MISFIRE COUNT

    Tester Display Measurement Item/Range Normal Condition Stored as Freeze Frame Data
    All Cylinders Misfire Count Misfire count of all cylinders/
    Min.: 0, Max.: 255
    0 Yes
    Diagnostic Note:
    This is the total misfire count of all cylinders.
    This counter is incremented by one for each misfire, has a maximum value of 255 and is cleared every 1000 revolutions.
    MISFIRE RPM

    Tester Display Measurement Item/Range Normal Condition Stored as Freeze Frame Data
    Misfire RPM Engine speed for first misfire range/
    Min.: 0 rpm, Max.: 6375 rpm
    0 rpm: Misfire 0 Yes
    Diagnostic Note:
    • This is the average engine speed recorded when misfiring occurs.
    • This value is closer to the actual conditions of the vehicle at the time the misfire occurred than the values of engine speed and engine load stored in the freeze frame data. When reproducing malfunction conditions, use this value as a reference.
    MISFIRE LOAD

    Tester Display Measurement Item/Range Normal Condition Stored as Freeze Frame Data
    Misfire Load Engine load for first misfire range/
    Min.: 0 g/rev, Max.: 3.98 g/rev
    0 g/rev: Misfire 0 Yes
    Diagnostic Note:
    • This is the average engine load recorded when misfiring occurs.
    • This value is closer to the actual conditions of the vehicle at the time the misfire occurred than the values of engine speed and engine load stored in the freeze frame data. When reproducing malfunction conditions, use this value as a reference.

    HINT: 
    To convert g/rev to gm/sec: RPM / 60 x g/rev = gm/sec.
    MISFIRE MARGIN

    Tester Display Measurement Item/Range Normal Condition Stored as Freeze Frame Data
    Misfire Margin Misfire monitoring/
    Min.: -128%, Max.: 127%
    0 to 127%: Idling Yes
    Diagnostic Note:
    This is the misfire detection margin.
    Misfire Margin = (Misfire detection threshold - maximum engine speed variation) / misfire detection threshold x 100%
    When the variation in the engine speed is large and exceeds the misfire detection threshold, the misfire count starts. Misfire margin is a measure of how much the engine speed variation can increase with respect to the threshold before the engine is determined to be misfiring.
    A large value means there is a large margin for the engine speed to vary before the engine is determined to be misfiring.
    Example:
    When the engine is determined to be misfiring, Misfire Margin = -128 to 0%.
  20. Various Vehicle Conditions 5 (All Data) 
    ELECTRIC FAN MOTOR

    Tester Display Measurement Item/Range Normal Condition Stored as Freeze Frame Data
    Electric Fan Motor Electric fan motors operation status/
    ON or OFF
    - Yes
    IDLE FUEL CUT

    Tester Display Measurement Item/Range Normal Condition Stored as Freeze Frame Data
    Idle Fuel Cut Fuel cut at idle/
    ON or OFF
    ON: Fuel cut operating Yes
    Diagnostic Note:
    Idle Fuel Cut = "ON" when the throttle valve is fully closed and the engine speed is high.
    FC TAU

    Tester Display Measurement Item/Range Normal Condition Stored as Freeze Frame Data
    FC TAU Fuel cut TAU (fuel cut during very light load)/
    ON or OFF
    ON: Fuel cut operating Yes
    Diagnostic Note:
    This is the fuel cut performed under a very light load to prevent the engine combustion from becoming incomplete.
    COMMUNICATION WITH HV

    Tester Display Measurement Item/Range Normal Condition Stored as Freeze Frame Data
    Communication with HV Status of communication with the power management control ECU/
    Comm or No Comm
    Comm: Power switch on (IG) Yes
    COMMUNICATION WITH BRAKE

    Tester Display Measurement Item/Range Normal Condition Stored as Freeze Frame Data
    Communication with Brake Status of communication with the skid control ECU/
    Comm or No Comm
    Comm: Power switch on (IG) Yes
  21. Various Vehicle Conditions 6 (Vehicle Information) 
    MODEL CODE

    Tester Display Measurement Item/Range Normal Condition Stored as Freeze Frame Data
    Model Code Model code - No
    Diagnostic Note:
    Used for identifying the model code: ZVW35#
    ENGINE TYPE

    Tester Display Measurement Item/Range Normal Condition Stored as Freeze Frame Data
    Engine Type Engine type - No
    Diagnostic Note:
    Used for identifying the engine type: 2ZRFXE
    CYLINDER NUMBER

    Tester Display Measurement Item/Range Normal Condition Stored as Freeze Frame Data
    Cylinder Number Number of cylinders/
    Min.: 0, Max.: 255
    - No
    Diagnostic Note:
    Used for identifying the number of cylinders: 4
    TRANSMISSION TYPE

    Tester Display Measurement Item/Range Normal Condition Stored as Freeze Frame Data
    Transmission Type Transmission type N/A No
    TRANSMISSION TYPE2

    Tester Display Measurement Item/Range Normal Condition Stored as Freeze Frame Data
    Transmission Type2 Transmission type N/A No
    DESTINATION

    Tester Display Measurement Item/Range Normal Condition Stored as Freeze Frame Data
    Destination Destination - No
    Diagnostic Note:
    Used for identifying the destination: A (America)
    MODEL YEAR

    Tester Display Measurement Item/Range Normal Condition Stored as Freeze Frame Data
    Model Year Model year/
    Min.: 1900, Max.: 2155
    - No
    Diagnostic Note:
    Used for identifying the model year: 2012
    SYSTEM IDENTIFICATION

    Tester Display Measurement Item/Range Normal Condition Stored as Freeze Frame Data
    System Identification System identification - No
    Diagnostic Note:
    Used for identifying the engine system: HV (Hybrid)
  22. Compression (Compression) 
    ENGINE SPEED OF CYL #1 TO #4

    Tester Display Measurement Item/Range Normal Condition Stored as Freeze Frame Data
    Engine Speed of Cyl #1
    Engine Speed of Cyl #2
    Engine Speed of Cyl #3
    Engine Speed of Cyl #4
    Engine speed for cylinder No. 1 to No. 4/
    Min.: 0 rpm, Max.: 51199 rpm
    - No
    Diagnostic Note:
    This is output only when Check the Cylinder Compression is performed using the Active Test.
    This is the engine speed for each cylinder measured during the engine cranking.
    When there is compression loss, the engine speed for that cylinder increases.
    HINT: 
    When multiple cylinders have compression loss, the engine speeds for multiple cylinders increase and it is not possible to determine which cylinders have compression loss. At this time, it is necessary to actually perform a compression measurement.
    AV ENGINE SPEED OF ALL CYL

    Tester Display Measurement Item/Range Normal Condition Stored as Freeze Frame Data
    Av Engine Speed of All Cyl Average engine speed for all cylinders/
    Min.: 0 rpm, Max.: 51199 rpm
    - No
    Diagnostic Note:
    This is output only when Check the Cylinder Compression is performed using the Active Test.
  23. Air Fuel Ratio Cylinder Imbalance (Gas AF O2 Sensor) 
    A/F SENSOR DETERMINATION (WORST VALUE) #1

    Tester Display Measurement Item/Range Normal Condition Stored as Freeze Frame Data
    A/F Sensor Determination (worst value) #1 Worst judgment value of A/F sensor output (Bank 1)/
    Min.: -1, Max.: 0.99
    0 to 0.04 Yes
    ENGINE SPEED FLUCTUATION AVG (WORST VALUE) #1 TO #4

    Tester Display Measurement Item/Range Normal Condition Stored as Freeze Frame Data
    Engine Speed Fluctuation Avg (worst value) #1
    Engine Speed Fluctuation Avg (worst value) #2
    Engine Speed Fluctuation Avg (worst value) #3
    Engine Speed Fluctuation Avg (worst value) #4
    Worst value of average engine speed fluctuation (Cylinder 1 to 4)/
    Min.: 0, Max.: 2.55
    0 to 1.0 Yes
    Diagnostic Note:
    • The worst value detected during monitoring is displayed.
    • The value is reset when DTCs are cleared.
  24. Various Vehicle Conditions 7 (All Data) 
    SPORTS MODE SWITCH

    Tester Display Measurement Item/Range Normal Condition Stored as Freeze Frame Data
    Sports Mode Switch Mode switch status/
    ON or OFF
    - Yes
    REQUESTED ENGINE TORQUE

    Tester Display Measurement Item/Range Normal Condition Stored as Freeze Frame Data
    Requested Engine Torque Requested engine torque/
    Min.: 0 kW, Max.: 16383.75 kW
    0 to 73 kW Yes
    HV TARGET ENGINE SPEED

    Tester Display Measurement Item/Range Normal Condition Stored as Freeze Frame Data
    HV Target Engine Speed HV target engine speed/
    Min.: 0 rpm, Max.: 6375 rpm
    0 to 5200 rpm Yes
    ACTUAL ENGINE TORQUE

    Tester Display Measurement Item/Range Normal Condition Stored as Freeze Frame Data
    Actual Engine Torque Actual engine torque/
    Min.: -32768 Nm, Max.: 32767 Nm
    Actual engine torque Yes
    ENGINE RUN TIME

    Tester Display Measurement Item/Range Normal Condition Stored as Freeze Frame Data
    Engine Run Time Engine run time/
    Min.: 0 s (seconds), Max.: 255 s (seconds)
    0 to 255 s Yes
    REQUEST ENGINE RUN TIME

    Tester Display Measurement Item/Range Normal Condition Stored as Freeze Frame Data
    Request Engine Run Time Request engine run time/
    Min.: 0 s (seconds), Max.: 25.5 s (seconds)
    0 to 25.5 s Yes
    JUDGE TIME ENGINE IGNITION

    Tester Display Measurement Item/Range Normal Condition Stored as Freeze Frame Data
    Judge Time Engine Ignition Judgment time for complete explosion of ignition/
    Min.: 0 s (seconds), Max.: 25.5 s (seconds)
    0 to 25.5 s Yes
    JUDGE TIME ENGINE OUTPUT

    Tester Display Measurement Item/Range Normal Condition Stored as Freeze Frame Data
    Judge Time Engine Output Judgment time for time until engine output/
    Min.: 0 s (seconds), Max.: 25.5 s (seconds)
    0 to 25.5 s Yes
    FUEL LEVEL

    Tester Display Measurement Item/Range Normal Condition Stored as Freeze Frame Data
    Fuel Level Fuel level/
    Empty or Not Emp
    - Yes
    ISC LEARNING

    Tester Display Measurement Item/Range Normal Condition Stored as Freeze Frame Data
    ISC Learning ISC learning/
    Compl or Incmpl
    - Yes
    F/C FOR ENGINE STOP REQ

    Tester Display Measurement Item/Range Normal Condition Stored as Freeze Frame Data
    F/C for Engine Stop Req Fuel cut for engine stop request/
    ON or OFF
    - Yes
    ENGINE INDEPENDENT

    Tester Display Measurement Item/Range Normal Condition Stored as Freeze Frame Data
    Engine Independent Engine independent operation/
    Not Opr or Operate
    - Yes
    RACING OPERATION

    Tester Display Measurement Item/Range Normal Condition Stored as Freeze Frame Data
    Racing Operation Racing operation/
    Not Opr or Operate
    - Yes
    REQUEST WARM-UP

    Tester Display Measurement Item/Range Normal Condition Stored as Freeze Frame Data
    Request Warm-up Request engine warm up/
    Not Req or Request
    - Yes
    ENGINE INDEPENDENT CONTROL

    Tester Display Measurement Item/Range Normal Condition Stored as Freeze Frame Data
    Engine Independent Control Engine independent control operation/
    Not Opr or Operate
    - Yes
    ELEC WATER PUMP TARGET SPD

    Tester Display Measurement Item/Range Normal Condition Stored as Freeze Frame Data
    Elec Water Pump Target Spd Engine water pump assembly target speed/
    Min.: 0 rpm, Max.: 6375 rpm
    - Yes
    Diagnostic Note:
    Target motor speed of the engine water pump
    ELEC WATER PUMP SPD

    Tester Display Measurement Item/Range Normal Condition Stored as Freeze Frame Data
    Elec Water Pump Spd Engine water pump assembly speed/
    Min.: 0 rpm, Max.: 6375 rpm
    - Yes
    Diagnostic Note:
    Actual motor speed of the engine water pump
    ISC LEARNING VALUE

    Tester Display Measurement Item/Range Normal Condition Stored as Freeze Frame Data
    ISC Learning Value ISC learning value/
    Min.: 0 L/s, Max.: 79.998 L/s
    0.5 to 6.1 L/s: Idling Yes
  25. ACTIVE TEST 

    HINT: 

    Using the Techstream to perform Active Tests allows relays, VSVs, actuators and other items to be operated without removing any parts. This non-intrusive functional inspection can be very useful because intermittent operation may be discovered before parts or wiring is disturbed. Performing Active Tests early in troubleshooting is one way to save diagnostic time. Data List information can be displayed while performing Active Tests.

    1. Connect the Techstream to the DLC3.
    2. Turn the power switch on (IG).
    3. Turn the Techstream on.
    4. Put the engine in inspection mode (maintenance mode). Refer to INSPECTION MODE PROCEDURE .
    5. Start the engine.
    6. Warm up the engine.
    7. Turn the power switch off.
    8. Connect the Techstream to the DLC3.
    9. Turn the power switch on (IG).
    10. Turn the Techstream on.
    11. Enter the following menus: Powertrain / Engine and ECT / Active Test.
    12. According to the display on the Techstream, perform the Active Test.
      Tester Display Test Part Control Range Diagnostic Note
      Control the Injection Volume Change injection volume Between -12.5% and 24.8%
      • All fuel injector assemblies are tested at the same time.
      • Perform the test at 3000 rpm or less.
      • Injection volume can be changed in fine gradations within control range.
      • Control the Injection Volume enables the checking and graphing of the air fuel ratio sensor and the heated oxygen sensor voltage outputs.
      • To conduct the test, enter the following menus: Active Test / Control the Injection Volume / Data List / Gas AF Control / AFS Voltage B1S1 and O2S B1S2.
      • During the Active Test, air fuel ratio feedback control and feedback learning are stopped.
      • This active test should be performed in inspection mode (maintenance mode).
      Control the Injection Volume for A/F Sensor Change injection volume -12.5%/0%/+12.5%
      • All fuel injector assemblies are tested at the same time.
      • Perform the test at 3000 rpm or less.
      • Control the Injection Volume for A/F Sensor enables the checking and graphing of the air fuel ratio sensor and the heated oxygen sensor voltage outputs.
      • To conduct the test, enter the following menus: Active Test / Control the Injection Volume for A/F Sensor / Data List / Gas AF Control / AFS Voltage B1S1 and O2S B1S2.
      • During the Active Test, air fuel ratio feedback control and feedback learning are stopped.
      • This active test should be performed in inspection mode (maintenance mode).
      • See waveform *2
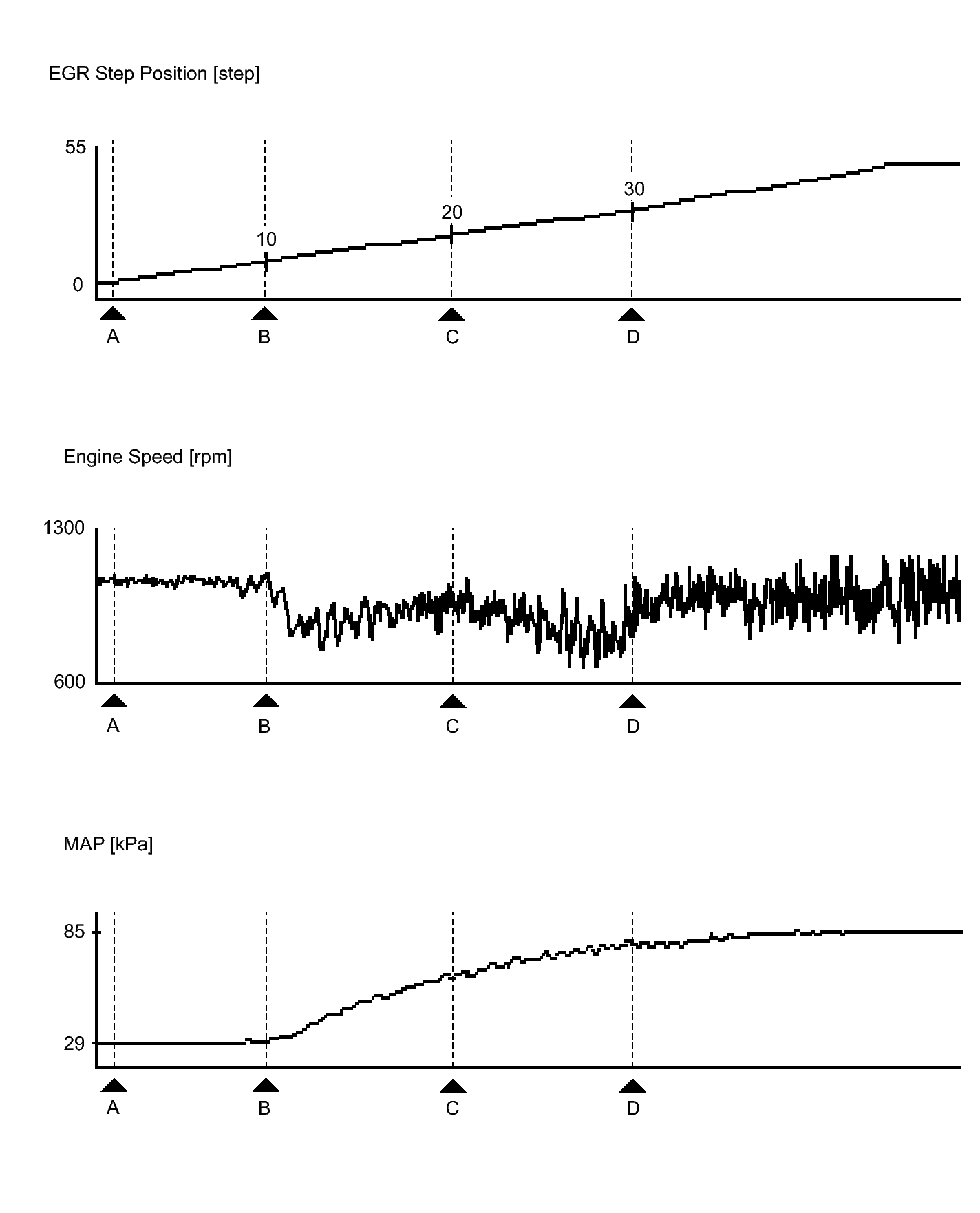
      Control the EGR Step Position Open or close EGR valve 0 to 110 steps
      • EGR valve is fully closed at step position 0, and fully open at step position 110.
      • Amount of EGR gas flowing into the intake manifold varies in accordance with the EGR valve opening angle.
      • Perform this test when the following conditions are met:
        • Vehicle is stopped.
        • Engine is running.
      • Do not leave the EGR valve open for 10 seconds or more during the Active Test.
      • Be sure to return the EGR valve to step 0 when the Active Test is completed.
      • Do not open the EGR valve 30 steps or more during the Active Test.
      • This active test should be performed in inspection mode (maintenance mode).
      • See waveform *4.
      Activate the VSV for Evap Control Activate purge VSV control ON/OFF
      • The valve is opened with a 30% duty ratio.
      • This active test should be performed in inspection mode (maintenance mode).
      • See waveform *5
      Control the Fuel Pump / Speed Activate fuel pump ON/OFF Perform this test when the following conditions are met:
      • Power switch is on (IG).
      • Engine is stopped.
      • Park (P) has been selected.
      Connect the TC and TE1 Turn on and off TC and TE1 connection ON/OFF
      • ON: TC and TE1 are connected.
      • OFF: TC and TE1 are disconnected.
      • Perform this test when the following conditions are met:
        • Power switch is on (IG).
        • Engine is stopped.
        • Park (P) has been selected.
      Control the Idle Fuel Cut Prohibit Prohibit idling fuel cut control ON/OFF
      • Perform this test when the following conditions are met:
        • Power switch is on (IG).
        • Engine is stopped.
        • Park (P) has been selected.
      • This active test should be performed in inspection mode (maintenance mode).
      Control the Electric Cooling Fan Control electric cooling fan ON/OFF Perform this test when the following conditions are met:
      • Power switch is on (IG).
      • Engine is stopped.
      • Park (P) has been selected.
      Control the ETCS Open/Close Slow Speed Throttle actuator Close/Open
      Open: Throttle valve opens slowly
      Perform this test when the following conditions are met:
      • Power switch is on (IG).
      • Engine is stopped.
      • Accelerator pedal is fully depressed (accelerator pedal position: 58 degrees or more).
      • Park (P) has been selected.
      Control the ETCS Open/Close Fast Speed Throttle actuator Close/Open
      Open: Throttle valve opens quickly
      • Same as above.
      • See waveform *3
      Control the VVT Linear (Bank 1) Control camshaft timing oil control valve assembly (for intake side of bank 1) -128 to 127% (This value added to present camshaft timing oil control valve control duty)
      100%: Maximum advance
      -100%: Maximum retard
      • Engine stalls or idles roughly when the camshaft timing oil control valve assembly is operated by 100%.
      • Perform this test when the following conditions are met:
        • Engine is idling.
      • DTCs related to the VVT system may be stored due to Active Test operation, but this does not indicate a malfunction.
      • Test not possible with the park (P) selected during charge control. Move the shift lever to N to perform test.
      • This active test should be performed in inspection mode (maintenance mode).
      • See waveform *6.
      Control the VVT System (Bank 1) Turn camshaft timing oil control valve on and off ON/OFF
      ON: VVT OCV Duty #1 100%
      • Engine stalls or idles roughly when the camshaft timing oil control valve assembly is turned on.
      • Engine runs and idles normally when the camshaft timing oil control valve assembly is off.
      • Perform this test when the following conditions are met:
        • Engine is idling.
      • DTCs related to the VVT system may be stored due to Active Test operation, but this does not indicate a malfunction.
      • Test not possible with the park (P) selected during charge control. Move the shift lever to N to perform test.
      • This active test should be performed in inspection mode (maintenance mode).
      Activate the Vacuum Pump Activate leak detection pump (built into canister pump module) ON/OFF Refer to EVAP system. Refer to EVAP System
      Activate the VSV for Vent Valve Activate vent valve (built into canister pump module) ON/OFF Refer to EVAP system. Refer to EVAP System
      Activate the Fuel Filler Opener Activate fuel lid opener motor ON/OFF
      (ON: Open)
      Perform this test when the following conditions are met:
      • Power switch on (IG).
      • Engine is stopped.
      • Park (P) has been selected.
      Activate the Fuel Vapor-Containment Valve Activate fuel vapor-containment valve ON/OFF
      (ON: Open, OFF: Closed)
      Perform this test when the following conditions are met:
      • Power switch on (IG).
      • Engine is stopped.
      • Park (P) has been selected.
      Control the Select Cylinder Fuel Cut Selected cylinder (cylinder #1 to #4) injection fuel cut #1/#2/#3/#4
      ON/OFF
      • This test possible when the following conditions are met:
        • Vehicle is stopped.
        • Engine is idling.
        • Park (P) has been selected.
      • This active test should be performed in inspection mode (maintenance mode).
      Control the All Cylinders Fuel Cut All cylinder fuel cut ON/OFF
      • This test possible when the following conditions are met:
        • Vehicle is stopped.
        • Engine is idling.
        • Park (P) has been selected.
      • This active test should be performed in inspection mode (maintenance mode).
      Check the Cylinder Compression Check the cylinder compression pressure (measure engine speed for each cylinder) ON/OFF This active test should be performed in inspection mode (maintenance mode).
      *1
      Check the Imbalance Cylinder Changes fuel injection volume per cylinder Between 50 and 200%
      • Perform this test when the following conditions are met:
        • Engine is idling.
        • Park (P) has been selected.
      • At the time this Active Test item is entered = 100%.
        • Below 100% = Fuel injection volume is decreased.
        • Higher than 100% = Fuel injection volume is increased.
      • To conduct the test, enter the following menus: Powertrain / Engine and ECT / Active Test / Check the Imbalance Cylinder / Gas AF Control / A/F Sensor Determination (worst value) and Engine Speed Fluctuation Avg (worst value).
      • Refer to DTC P219A. Refer to DTC P219A: Bank 1 Air-Fuel Ratio Imbalance .
      • This active test should be performed in inspection mode (maintenance mode).
      Activate the Electric Water Pump Engine water pump assembly speed control 0 rpm/3000 rpm Test possible when either of the following condition is met:
      • Engine coolant temperature is less than 100°C (212°F).
      • Power switch on (IG).

      HINT: 

      *1: While the Check the Cylinder Compression Active Test is being performed, if the speed of one cylinder is more than the other cylinders, it can be determined that the compression pressure of that cylinder is lower than the other cylinders.

      1. Connect the Techstream to the DLC3.
      2. Turn the power switch on (IG) and turn the Techstream on.
      3. Put the engine in inspection mode (maintenance mode). Refer to INSPECTION MODE PROCEDURE .
      4. Start the engine and warm it up.
      5. Turn the power switch off.
      6. Turn the power switch on (IG) and turn the Techstream on.
      7. Put the engine in inspection mode (maintenance mode). Refer to INSPECTION MODE PROCEDURE .

        HINT: 

        Do not start the engine.

      8. Enter the following menus: Powertrain / Engine and ECT / Active Test / Check the Cylinder Compression.

        HINT: 

        To display the entire Data List, press the pull down menu button next to Primary. Then select Compression.

      9. Push the snapshot button to turn the snapshot function on.

        HINT: 

        Using the snapshot function, data can be recorded during the Active Test.

      10. While the engine is not running, press the RIGHT or LEFT button to change the Check the Cylinder Compression to ON.
      11. Start the engine.
        Fig 1: Identifying Engine Speed Of Cylinder
        GTY293654Courtesy of © TOYOTA, LICENSE AGREEMENT TMS1002
      12. Monitor the engine speed (Engine Speed of Cyl #1 to #4 and Av Engine Speed of All Cyl) displayed on the Techstream.
        NOTE:
        • If the Check the Cylinder Compression Active Test needs to be performed after it is turned ON and performed once, press the Exit button to return to the Active Test menu screen. Then perform the Check the Cylinder Compression Active Test again.

        HINT: 

        • At first, the Techstream display will show each cylinder's engine speed measurement to be extremely high. After the engine has started, each cylinder's engine speed measurement will change to the actual engine speed.
        • As soon as the measurements are obtained, finish the Active Test.
      13. Stop the engine, and then change Check the Cylinder Compression to OFF after the engine stops.
      14. Push the snapshot button to turn the snapshot function off.
      15. Select "Stored Data" on the Techstream screen, select the recorded data and display the data as a graph.

        HINT: 

        If the data is not displayed as a graph, the change of the values cannot be observed.

      16. Check the change in engine speed values.

        HINT: 

        As the data values of the Active Test return to their default values when engine is stopped, the engine speed value of each cylinder cannot be observed. Therefore, it is necessary to use the data recorded with the snapshot function to check the engine speed values recorded during engine running.

    Reference Waveforms for Active Test 

    • *2: Control the Injection Volume for A/F Sensor (Idling after warming up)
      Fig 2: Identifying Waveforms
      GTY325653Courtesy of © TOYOTA, LICENSE AGREEMENT TMS1002

      HINT: 

      During the Active Test, air fuel ratio feedback control and feedback learning are stopped.

      Tester Display Measurement Item/Range Normal Condition
      Control the Injection Volume for A/F Sensor - ←A ←B
      Active Test operation -12.5% 12.5%
      AFS Voltage B1S1 3.829 V 2.839 V
      O2S B1S2 0.035 V 0.955 V

      HINT: 

      • Usually, the value of AFS Voltage B1S1 changes to below 3.1 V when the control value for Control the Injection Volume for A/F Sensor is changed to 12.5%.
      • Usually, the value of AFS Voltage B1S1 changes to 3.4 V or higher when the control value for Control the Injection Volume for A/F Sensor is changed to -12.5%.
      • Usually, the value of O2S B1S2 changes to 0.55 V or higher when the control value for Control the Injection Volume for A/F Sensor is changed to 12.5%.
      • Usually, the value of O2S B1S2 changes to below 0.4 V when the control value for Control the Injection Volume for A/F Sensor is changed to -12.5%.
    • *3: Control the ETCS Open/Close Fast Speed [Active Test for electrical throttle control system] (Power switch on (IG))
      Fig 3: Identifying Waveforms
      GTY340618Courtesy of © TOYOTA, LICENSE AGREEMENT TMS1002

      HINT: 

      • Usually, Throttle Position Command (Target Value) and Throttle Position No. 1 (Actual Value) are almost the same.
      • If any DTCs related to the Electronic Throttle Control System (ETCS) are stored, this Active Test does not function.
      Tester Display Measurement Item/Range Normal Condition
      Control the ETCS Open/Close Fast Speed - ←A ←B
      Active Test operation Open Close
      Throttle Position Command 2.597 V 0.761 V
      Throttle Position No. 1 2.597 V 0.761 V
      Throttle Motor Duty (Open) 14% 0%
      Throttle Motor Duty (Close) 0% 17%
    • *4: Control the EGR Step Position (Idling after warming up, A/C off)
      Fig 4: Identifying EGR Step Position Vs MAP & Engine Speed
      GTY342803Courtesy of © TOYOTA, LICENSE AGREEMENT TMS1002
      Tester Display Measurement Item/Range Normal Condition
      Control the EGR Step Position - ←A ←B ←C ←D
      EGR Step Position 0 step 10 step 20 step 30 step
      MAP 29 kPa 31 kPa 59 kPa 74 kPa

      HINT: 

      • Usually, when the control value for Control the EGR Step Position is "0 step", the value of MAP is between 20 and 40 kPa and idling is stable.
      • Usually, when the control value for Control the EGR Step Position is changed from "0 step" to "30 step", the value of MAP increases to a value at least 10 kPa higher than the value of MAP when the control value for Control the EGR Step Position was "0 step", and the engine idles roughly or stalls.
      • This data is taken from an Active Test in which the step position was raised in increments of 1 step. The EGR valve inspection in the troubleshooting procedures checks the operation of the valve by stalling the engine and raises the step position in increments of 5 step.
      • Do not leave the EGR valve open for 10 seconds or more during the Active Test.
      • Be sure to return the EGR valve to step 0 when the Active Test is completed.
      • Do not open the EGR valve 30 steps or more during the Active Test.
    • *5: Activate the VSV for Evap Control (Idling after warming up)
      Fig 5: Identifying Waveforms
      GTY340012Courtesy of © TOYOTA, LICENSE AGREEMENT TMS1002

      HINT: 

      Even when the Active Test is turned on (the purge VSV is opened 30%), air fuel ratio feedback continues and control is performed so that the air fuel ratio is the stoichiometric ratio. Therefore, by observing the change in "Short FT #1", it is possible to determine whether the purge VSV is actually open as well as the concentration of HC in the purge gas.

      Tester Display Measurement Item/Range Normal Condition
      Activate the VSV for Evap Control - ←A ←B
      Active Test operation ON OFF
      EVAP (Purge) VSV 29.8% 0.0%
      Short FT #1 -9.375% 0.000%
      Injector (Port) 2267.0 μs 2489.0 μs
      AFS Voltage B1S1 3.249 V 3.205 V

      HINT: 

      The graphs and values above are for reference only because the fuel injection volume (compensation volume) varies depending on the HC density of the purge air from the canister.

    • *6: Control the VVT Linear (Bank 1)
      Fig 6: Identifying Waveforms
      GTY328288Courtesy of © TOYOTA, LICENSE AGREEMENT TMS1002
      Tester Display Measurement Item/Range Normal Condition
      Control the VVT Linear (Bank 1) - ←A ←B
      Active Test operation* +30% -30%
      VVT Change Angle #1 42.9 DegFR 0.0 DegFR
      VVT OCV Duty #1 67.0% 7.0%
      VVT Aim Angle #1 37.0% 37.0%

      HINT: 

      • *: Change the control value for Control the VVT Linear to +30% or -30%.
      • The Control the VVT Linear Active Test considers the value of VVT Aim Angle to be 0 and raises or lowers the duty ratio with respect to VVT Aim Angle #1.
      • The sum of the control value for the Control the VVT Linear Active Test and the value of VVT Aim Angle #1 is approximately equal to the value of VVT OCV Duty #1.
      • When the control value for the Control the VVT Linear Active Test is changed a few times, there should not be a large discrepancy between VVT OCV Duty #1 when the system starts advancing or retarding the timing and the rate of change of VVT Change Angle #1.
      • Test not possible with park (P) selected during charge control. Move shift lever to N to perform test.
  26. SYSTEM CHECK 

    HINT: 

    Performing a System Check enables the system, which consists of multiple actuators, to be operated without removing any parts. In addition, it can show whether or not any DTCs are stored, and can detect potential malfunctions in the system. The System Check can be performed with the Techstream.

    1. Connect the Techstream to the DLC3.
    2. Turn the power switch on (IG).
    3. Turn the Techstream on.
    4. Enter the following menus: Powertrain / Engine and ECT / Utility.
    5. Perform the System Check by referring to the table below.
      Tester Display Test Part Control Range Diagnostic Note
      Evaporative System Check
      (Automatic Mode)
      Perform 9 steps in order to operate EVAP system key-off monitor automatically 35°C (95°F) or less
      • If no pending DTCs are output after performing this test, the system is functioning normally.
      • Refer to EVAP system Inspection Procedure. Refer to EVAP System .
      Evaporative System Check
      (Manual Mode)
      Perform 9 steps in order to operate EVAP system key-off monitor manually 35°C (95°F) or less
      • Used to detect malfunctioning parts.
      • Refer to EVAP system Inspection Procedure. Refer to EVAP System .