LEMON Manuals: Even more car manuals for everyone: 1960-2025
Home >> Toyota >> 2013 >> Prius Two >> Repair and Diagnosis (Single Page) >> Heating, Ventilation & A/C (HVAC) >> HVAC Control Systems >> Air Conditioning System (Diagnostics - Introduction) (Except Plug-In) >> Air Conditioning System >> System Description >> System Description
April 5, 2026: LEMON Manuals is launched! Read the announcement.

System Description

  1. GENERAL 
    1. The air conditioning system uses the following types of control.
      Control Outline
      Neural Network Control This control is capable of effecting complex control by artificially simulating the information processing method of the nervous system of living organisms in order to establish a complex input or output relationship that is similar to a human brain.
      Outlet Air Temperature Control In compliance with the temperature set at the temperature control switch, the neural network control calculates the outlet temperature based on the input signals from various sensors. In addition, corrections in accordance with the signals from the evaporative temperature sensor and water temperature sensor are added to control the outlet air temperature.
      Blower Control Controls the blower motor in accordance with the airflow volume that has been calculated by the neural network control based on the input signals from various sensors.
      Air Outlet Control Automatically switches the outlets in accordance with the outlet mode ratio that has been calculated by the neural network control based on the input signals from various sensors.
      Micro Dust and Pollen Filter Mode Control
      • Activated by the micro dust and pollen filter mode switch operation.
      • Switches the air vent to the FACE mode.
      • Sends air which has passed through the clean air filter to the area around the upper part of the bodies of the driver and front passenger. This air is filtered by the clean air filter in order to remove pollen.
      Air Inlet Control Automatically controls the air inlet control damper in accordance with the outlet temperature that has been calculated by the neural network control.
      Electric Inverter Compressor Control Compressor Speed Control The A/C amplifier calculates the target speed of the compressor based on the target evaporator temperature (which is calculated by the temperature control switch, room temperature sensor, ambient temperature sensor, and solar sensor) and the actual evaporator temperature that is detected by the evaporator temperature sensor in order to control the compressor speed.
      The A/C amplifier calculates the target evaporator temperature, which includes corrections based on the temperature control switch, room temperature sensor, ambient temperature sensor, solar sensor, and evaporator temperature sensor. Accordingly, the A/C amplifier controls the compressor speed to an extent that would not inhibit the proper cooling performance or defogging performance.
      PTC Heater Control*1 When the hybrid control system is operating (READY), and the blower motor is turned on, the A/C amplifier turns on the PTC heater assembly if the conditions listed below are met:
      • Engine coolant temperature is below specified temperature.
      • Outside temperature is below specified temperature
      • Tentative air mix damper opening angle is above the specified value (MAX HOT).
      ECO Mode Control When the ECO MODE switch is turned on, the A/C amplifier limits the air conditioning system performance.
      Remote Air Conditioning System Control*2 When the remote A/C switch on the key (electrical transmitter) is pressed, the air conditioning system is automatically controlled and operated for a maximum of 3 minutes using power from the HV battery.
      • *1: w/ PTC Heater Assembly
      • *2: w/ Remote Air Conditioning System
  2. NEURAL NETWORK CONTROL 
    • In the previous automatic air conditioning systems, the A/C amplifier determined the required outlet air temperature and blower air volume in accordance with the calculation formula that has been obtained based on information received from the sensors.

      However, because the senses of a person are rather complex, a given temperature is sensed differently, depending on the environment in which the person is situated. For example, a given amount of sunlight can feel comfortably warm in a cold climate, or extremely uncomfortable in a hot climate. Therefore, as a technique for effecting a higher level of control, a neural network has been adopted in the automatic air conditioning system. With this technique, the data that has been collected under varying environmental conditions is stored in the A/C amplifier. The A/C amplifier can then effect control to provide enhanced air conditioning comfort.

    • The neural network control consists of neurons in the input layer, intermediate layer and output layer. The input layer neurons process the input data of the outside temperature, the amount of sunlight and the room temperature based on the outputs of the switches and sensors, and output them to the intermediate layer neurons. Based on this data, the intermediate layer neurons adjust the strength of the links among the neurons. The sum of these is then calculated by the output layer neurons in the form of the required outlet temperature, solar correction, target airflow volume and outlet mode control volume. Accordingly, the A/C amplifier controls the servo motors and blower motor in accordance with the control volumes that have been calculated by the neural network control.
    Fig 1: Identifying Neutral Network Control
    GTY233231Courtesy of © TOYOTA, LICENSE AGREEMENT TMS1002
  3. MODE POSITION AND DAMPER OPERATION 
    1. Mode Position and Damper Operation
      Fig 2: Identifying Mode Position And Damper Operation
      GTY231348GTY102913GTY102916GTY102920GTY102921GTY102922Courtesy of © TOYOTA, LICENSE AGREEMENT TMS1002© TOYOTA, LICENSE AGREEMENT TMS1002© TOYOTA, LICENSE AGREEMENT TMS1002© TOYOTA, LICENSE AGREEMENT TMS1002© TOYOTA, LICENSE AGREEMENT TMS1002© TOYOTA, LICENSE AGREEMENT TMS1002
      FUNCTIONS OF MAIN DAMPERS

      Control Damper Operation Position Damper Position Operation
      Air Inlet Control Damper FRESH A Allows fresh air to enter.
      RECIRCULATION B Causes internal air to recirculate.
      Air Mix Control Damper MAX COLD to MAX HOT Temperature Setting C - D Varies the mixture ratio of warm air and cool air in order to regulate the temperature continuously between hot and cold.
      Air Outlet Control Damper DEF
      GTY102913Courtesy of © TOYOTA, LICENSE AGREEMENT TMS1002
      J, E Defrosts the windshield through the center defroster, side defroster and side registers.
      FOOT/DEF
      GTY102916Courtesy of © TOYOTA, LICENSE AGREEMENT TMS1002
      J, F Defrosts the windshield through the center defroster, side defrosters, side registers while air is also blown out from the front and rear footwell register ducts.
      FOOT
      GTY102920Courtesy of © TOYOTA, LICENSE AGREEMENT TMS1002
      J, H Air blows out of the front and rear footwell register ducts, and side registers. In addition, air blows out slightly from the center defroster and side defrosters.
      BI-LEVEL
      GTY102921Courtesy of © TOYOTA, LICENSE AGREEMENT TMS1002
      I, G Air blows out of the front and rear center register, side register and front and rear footwell register ducts.
      FACE
      GTY102922Courtesy of © TOYOTA, LICENSE AGREEMENT TMS1002
      I, E Air blows out of the front center register and side register ducts.
  4. AIR OUTLETS AND AIRFLOW VOLUME 
    1. Air Outlets and Airflow Volume
      Fig 3: Identifying Air Outlets And Airflow Volume
      GTY342246Courtesy of © TOYOTA, LICENSE AGREEMENT TMS1002
      Indication Mode FACE FOOT DEF
      CTR SIDE C D
      A B
      GTY102922Courtesy of © TOYOTA, LICENSE AGREEMENT TMS1002
      FACE
      GTY101840Courtesy of © TOYOTA, LICENSE AGREEMENT TMS1002
      GTY101840Courtesy of © TOYOTA, LICENSE AGREEMENT TMS1002
      GTY101148Courtesy of © TOYOTA, LICENSE AGREEMENT TMS1002
      GTY101148Courtesy of © TOYOTA, LICENSE AGREEMENT TMS1002
      GTY102921Courtesy of © TOYOTA, LICENSE AGREEMENT TMS1002
      B/L
      GTY101846Courtesy of © TOYOTA, LICENSE AGREEMENT TMS1002
      GTY101846Courtesy of © TOYOTA, LICENSE AGREEMENT TMS1002
      GTY101846Courtesy of © TOYOTA, LICENSE AGREEMENT TMS1002
      GTY101148Courtesy of © TOYOTA, LICENSE AGREEMENT TMS1002
      GTY102920Courtesy of © TOYOTA, LICENSE AGREEMENT TMS1002
      FOOT
      GTY101148Courtesy of © TOYOTA, LICENSE AGREEMENT TMS1002
      GTY101846Courtesy of © TOYOTA, LICENSE AGREEMENT TMS1002
      GTY101840Courtesy of © TOYOTA, LICENSE AGREEMENT TMS1002
      GTY101842Courtesy of © TOYOTA, LICENSE AGREEMENT TMS1002
      GTY102916Courtesy of © TOYOTA, LICENSE AGREEMENT TMS1002
      F/D
      GTY101148Courtesy of © TOYOTA, LICENSE AGREEMENT TMS1002
      GTY101846Courtesy of © TOYOTA, LICENSE AGREEMENT TMS1002
      GTY101846Courtesy of © TOYOTA, LICENSE AGREEMENT TMS1002
      GTY101840Courtesy of © TOYOTA, LICENSE AGREEMENT TMS1002
      GTY102913Courtesy of © TOYOTA, LICENSE AGREEMENT TMS1002
      DEF
      GTY101148Courtesy of © TOYOTA, LICENSE AGREEMENT TMS1002
      GTY101846Courtesy of © TOYOTA, LICENSE AGREEMENT TMS1002
      GTY101148Courtesy of © TOYOTA, LICENSE AGREEMENT TMS1002
      GTY101840Courtesy of © TOYOTA, LICENSE AGREEMENT TMS1002

      The size of each circle ◦ indicates the ratio of airflow volume.

  5. OUTLINE OF REMOTE AIR CONDITIONING SYSTEM 
    1. Outline
      1. When the remote A/C switch on the key (electrical transmitter) is pressed, the air conditioning system is automatically controlled and operated for a maximum of 3 minutes using power from the HV battery.

        HINT: 

        The remote air conditioning system starts operating when all of the following operating conditions are met:

        OPERATING CONDITION

        Item Condition
        Power switch
        • Off
        • Power switch is not pressed
        Door Lock
        • All doors are closed and locked.
        • Hood is closed.
        Brake Pedal Not operated (not depressed)
        Security Not in alarm sounding state
        Shift Selection Park (P) is selected.
        HV Battery HV battery state of charge is sufficient.
        (Reference value: level 3 or higher)
        Cabin Temperature
        • Higher than air conditioning temperature set by user
        • Air conditioning (cooling) is necessary
    2. Function of Main Components
      1. Each component of the remote air conditioning system has the functions described in the table:
        FUNCTION OF MAIN COMPONENTS

        Component Outline
        Key (electrical transmitter) Sends remote air conditioning system on/off signals to the certification ECU.
        Certification ECU Receives a signal from the key (electrical transmitter) and sends a signal to the main body ECU.
        Main body ECU
        • Locks all of the doors.
        • Checks that all of the doors are closed and locked.
        • Checks that the hood is closed.
        • When the remote air conditioning system starts, the main body ECU operates the wireless door lock system.
        Power management control ECU
        • Turns the vehicle power (12 V) on/off.
        • Checks the state of charge of the HV battery.
        • Starts/stops the HV system.
        • Controls the inverter with converter assembly.
        • Checks the power switch condition.
        • Checks if park (P) is selected.
        • Checks the brake pedal condition.
        • Permits/prohibits remote air conditioning system operation.
        A/C amplifier
        • Judges whether the cooling function is operating during remote air conditioning system operation.
        • Checks the operation of the air conditioning system based on signals from various sensors.
        • Controls the air conditioning system.
        • Judges when to stop the remote air conditioning system.
        Inverter with converter assembly Supplies DC power from the HV battery to the inverter of the compressor with motor assembly.
        Compressor with motor assembly Compresses refrigerant using power from the HV battery.
  6. EJECTOR CYCLE SYSTEM 
    1. In the conventional refrigerant cycle, liquid refrigerant gas is sent into the evaporator using the expansion valve, generating cold air. However, a rapid decrease in the refrigerant pressure forms swirls, causing energy loss. In this ejector cycle, the energy loss caused by the cooler expansion valve is utilized by the operation of the ejector that injects and expands a high-pressure refrigerant, thus improving energy consumption efficiency.
    2. The ejector includes nozzle, mixing and diffuser portions.
    3. A high temperature and pressure liquid refrigerant flowing from the condenser is introduced into the mixing section through the nozzle at high speeds as the nozzle is inwardly tapered. This decreases the refrigerant pressure in the vicinity of the nozzle, introducing low temperature and pressure gaseous refrigerant into the nozzle from the evaporator. Thus, both refrigerants are mixed in the mixing section and are introduced into the diffuser section.
    4. As the diffuser section is outwardly flared, the refrigerant flow rate in the diffuser decreases and the refrigerant pressure rises.
    5. Through these operations, the refrigerant pressure in the evaporator on the downwind side can be constantly kept lower than that on the upwind side, creating the lower temperature conditions. Therefore, air cooled by the evaporator on the upwind side can be further cooled by that on the downwind side, thus improving the efficiency of the evaporator.
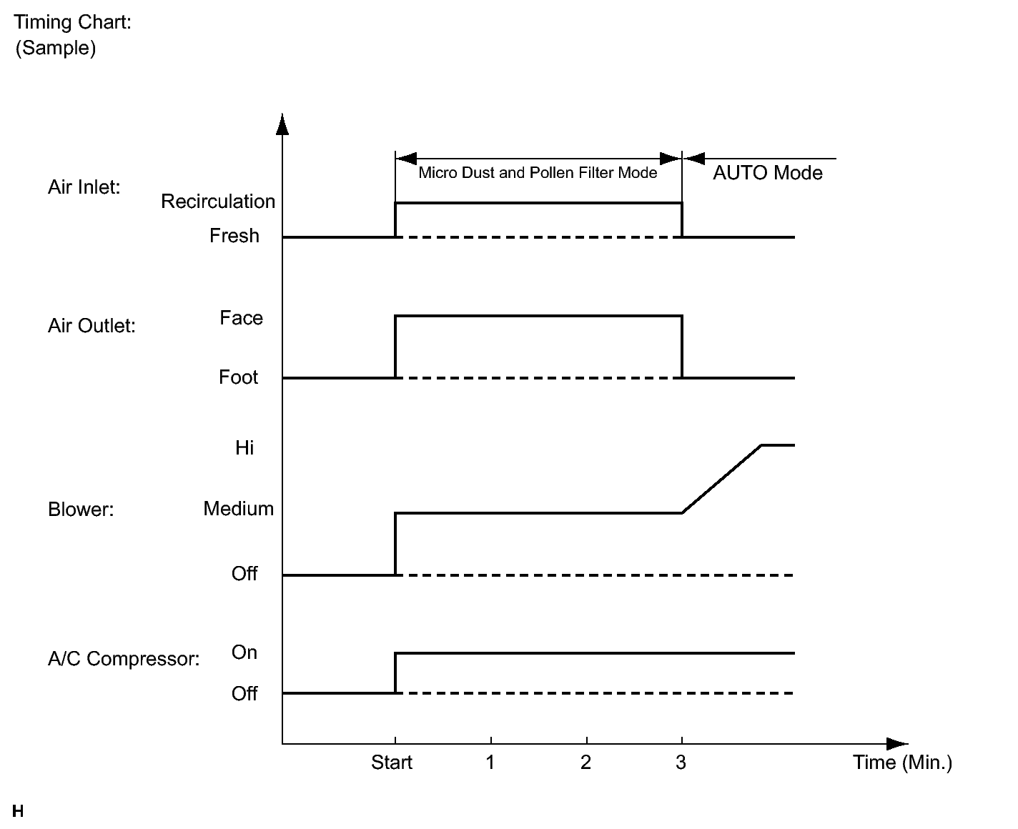
  7. MICRO DUST AND POLLEN FILTER MODE CONTROL 
    1. When the micro dust and pollen filter mode switch is pressed, the micro dust and pollen filter mode control is activated.
    2. Then, the air vent is switched to the FACE mode and recirculated pollen-free air flows in the area around the upper part of the bodies of the driver and front passenger.
    3. When the micro dust and pollen filter mode switch signal is input to the A/C amplifier, the A/C amplifier controls the compressor with motor assembly, air inlet control servo motor, air outlet control servo motor and blower motor as shown in the timing chart below.
    4. This control usually operates for approximately 3 minutes. However, when the outside temperature is low (5°C (41°F) maximum), it will operate for approximately 1 minute.
    5. After this control stops operating, the A/C amplifier controls the air conditioning system using AUTO mode.
      Fig 4: Micro Dust And Pollen Filter Mode Switch Timing Chart
      GTY224777Courtesy of © TOYOTA, LICENSE AGREEMENT TMS1002
  8. ECO MODE CONTROL 
    1. Under the control of eco mode, the A/C amplifier restricts the air conditioning system performance under specified conditions, thus improving fuel economy.
    2. Eco mode control is activated when the ECO MODE switch provided inside the integration control and panel sub-assembly is pressed, and then restricts the air conditioning system performance as described below.
      Control Outline
      Inside/outside Air Switch Control Automatically switches the air inlet port to internal air circulation mode when the outside air temperature is equal to or higher than a predetermined temperature and reduces the power consumption.
      Blower Level Control Sets the blower level in AUTO mode lower than normal, and suppresses the power consumption.
      PTC Heater Control Stops the operation of PTC heater assembly and suppresses the power consumption.
      Heating Restriction Control Changes the air outlet temperature by turning the ECO MODE switch on and off during heating and increases the amount of engine-off time when the ECO MODE switch is in the on state, thus improving fuel economy.
      Compressor Speed Restriction Control Restricts the maximum speed during cooling and reduces the power consumption.
  9. COMPRESSOR WITH MOTOR ASSEMBLY 
    1. Compressor Control

      HINT: 

      In order to ensure the proper insulation of the internal high-voltage portion of the compressor and the compressor housing, this vehicle has adopted compressor oil (ND11) with a high level of insulation performance. Therefore, never use compressor oil other than the ND11 type compressor oil or its equivalent.

      1. The A/C amplifier calculates the target compressor speed based on the target evaporator temperature (calculated from the temperature control switch, room temperature sensor, ambient temperature sensor, and solar sensor) and the actual evaporator temperature detected by the evaporator temperature sensor. Then, the A/C amplifier transmits the target speed to the power management control ECU. The power management control ECU controls the A/C inverter based on the target speed data in order to control the compressor with motor assembly to a speed that suits the operating condition of the air conditioning system.
      2. The A/C amplifier calculates the target evaporator temperature, which includes corrections based on the temperature control switch, room temperature sensor, ambient temperature sensor, automatic light control sensor, and evaporator temperature sensor. Accordingly, the A/C amplifier controls the compressor speed to an extent that does not inhibit the proper cooling performance or defogging performance.
      3. The compressor with motor assembly uses high-voltage alternating current. If a short or open circuit occurs in the compressor with motor assembly wiring harness, the power management control ECU will cut off the A/C inverter circuit in order to stop the power supply to the compressor motor.
  10. PTC HEATER (w/ PTC Heater Assembly) 
    1. General
      1. The PTC heater assembly is located above the heater core in the air conditioning unit.
      2. The PTC heater assembly consists of a PTC element, aluminum fin, and brass plate. When current is applied to the PTC element, it generates heat to warm the air that passes through the unit.
        Fig 5: Identifying PTC Heater Assembly
        GTY213744Courtesy of © TOYOTA, LICENSE AGREEMENT TMS1002
    2. PTC Heater Assembly Operating Conditions
      1. The PTC heater assembly is turned on and off by the A/C amplifier in accordance with the engine coolant temperature, ambient temperature, engine speed, temperature setting, and electrical load (generator power ratio).
  11. BLOWER MOTOR 

    The blower motor has a built-in blower controller, and is controlled using duty control performed by the A/C amplifier.

  12. BUS CONNECTOR (AIR CONDITIONING HARNESS) 
    1. A Bus connector is used in the wire harness connection that connects the servo motor from the A/C amplifier.
      Fig 6: Air Conditioning Harness Bus Connectors (Example)
      GTY227936Courtesy of © TOYOTA, LICENSE AGREEMENT TMS1002
    2. Each Bus connector has a built-in communication/driver IC which communicates with each servo motor connector, actuates the servo motor, and has a position detection function. This enables bus communication for the servo motor wire harness, for a more lightweight construction and a reduced number of wires.
      Fig 7: Servo Motor Communication Diagram
      GTY223404Courtesy of © TOYOTA, LICENSE AGREEMENT TMS1002
  13. SERVO MOTOR 

    The pulse pattern type servo motor consists of a printed circuit board and a servo motor. The printed circuit board has three contact points, and can transmit two ON-OFF signals to the A/C amplifier based on the difference of the pulse phases. The BUS connector can detect the damper position and movement direction with these signals.

    Fig 8: Servo Motor Contact Points
    GTY233890Courtesy of © TOYOTA, LICENSE AGREEMENT TMS1002
  14. EVAPORATOR TEMPERATURE SENSOR 

    The evaporator temperature sensor detects the temperature of the cool air immediately through the evaporator in the form of resistance changes, and outputs it to the A/C amplifier.

  15. ROOM TEMPERATURE SENSOR 

    The room temperature sensor detects the cabin temperature based on changes in the resistance of its built-in thermistor and sends a signal to the A/C amplifier.

  16. AMBIENT TEMPERATURE SENSOR 

    The ambient temperature sensor detects the outside temperature based on changes in the resistance of its built-in thermistor and sends a signal to the A/C amplifier.

  17. SOLAR SENSOR (AUTOMATIC LIGHT CONTROL SENSOR) 

    The solar sensor (automatic light control sensor) detects the changes in the amount of sunlight and outputs it to the A/C amplifier in the form of voltage changes.

  18. A/C PRESSURE SENSOR 

    The A/C pressure sensor detects the refrigerant pressure and outputs it to the A/C amplifier in the form of voltage changes.