LEMON Manuals: Even more car manuals for everyone: 1960-2025
Home >> Toyota >> 2017 >> 86 Base, Automatic Trans >> Repair and Diagnosis (Single Page) >> Accessories & Equipment >> Communication Devices >> Can Communication System - Diagnostics & Circuit Tests >> Can Communication System >> System Diagram [06/2016 - 03/2017] >> System Diagram [06/2016 - 03/2017]
April 5, 2026: LEMON Manuals is launched! Read the announcement.

System Diagram [06/2016 - 03/2017]

  1. OVERALL CAN BUS DIAGRAM 
    1. Control system CAN is composed of 1 bus.
      GTY703332Courtesy of © TOYOTA, LICENSE AGREEMENT TMS1002
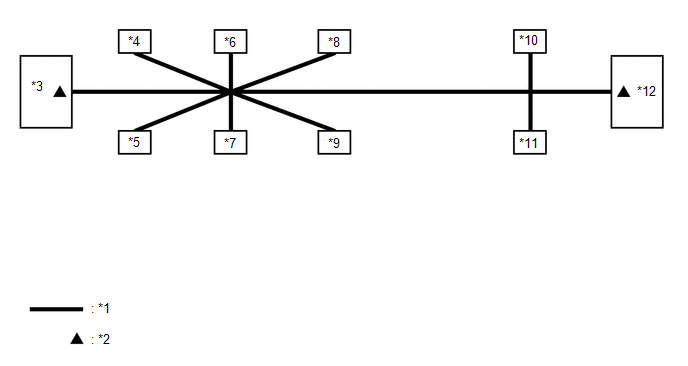
      TEXT IN ILLUSTRATION

      *1 V Bus *2 V Bus Terminating Resistor
      *3 ECM
      (for V Bus)
      *4 Combination Meter Assembly
      (for V Bus)
      *5 Main Body ECU (Network Gateway ECU)
      (for V Bus)
      *6 DLC3
      (for V Bus)
      *7 Steering Angle Sensor (Spiral Cable Sub-assembly)
      (for V Bus)
      *8 PSP (Option Connector)
      (for V Bus)
      *9 Airbag ECU Assembly
      (for V Bus)
      *10 TCM
      (for V Bus)
      *11 Power Steering ECU Assembly
      (for V Bus)
      *12 Skid Control ECU (Brake Actuator Assembly)
      (for V Bus)
  2. V BUS 
    GTY720271Courtesy of © TOYOTA, LICENSE AGREEMENT TMS1002
    GTY471792Courtesy of © TOYOTA, LICENSE AGREEMENT TMS1002

    HINT: 

    The CAN communication system connects to other networks via ECUs that function as a gateway (Refer to SYSTEM DIAGRAM [06/2016 - 03/2017] ).