LEMON Manuals: Even more car manuals for everyone: 1960-2025
Home >> Toyota >> 2019 >> RAV4 LE, FWD >> Repair and Diagnosis >> Engine Performance >> System >> Engine Control System (A25A-FKS) (W/ Canister Pump Module) - Diagnostics - Introduction (2 Of 3) >> SFI SYSTEM (w/ Canister Pump Module) >> Data List / Active Test [10/2019 - 08/2020] >> Data List / Active Test [10/2019 - 08/2020]
April 5, 2026: LEMON Manuals is launched! Read the announcement.

Data List / Active Test [10/2019 - 08/2020]

  1. DATA LIST 

    HINT: 

    Using the Techstream to read the Data List allows the values or states of switches, sensors, actuators and other items to be read without removing any parts. This non-intrusive inspection can be very useful because intermittent conditions or signals may be discovered before parts or wiring is disturbed. Reading the Data List information early in troubleshooting is one way to save diagnostic time.

    NOTE:

    In the table below, the values listed under "Normal Condition" are reference values. Do not depend solely on these reference values when deciding whether a part is faulty or not.

    HINT: 

    Normal Condition: If no conditions are specifically stated for "idling", the shift lever should be in N or P, the A/C switch and all accessories should be off.

    1. Warm up the engine.
    2. Turn the A/C switch off.
    3. Turn the ignition switch off.
    4. Connect the Techstream to the DLC3.
    5. Turn the ignition switch to ON.
    6. Turn the Techstream on.
    7. Enter the following menus: Powertrain / Engine / Data List.

      HINT: 

      • To display the list box, press the pull down menu button next to Primary. Then select a measurement group.
      • When you select a measurement group, the ECU data belonging to that group is displayed.
      • Measurement Group List / Description
        • All Data / All data
        • Primary / -
        • Engine Control / Engine control system related data
        • Gas General / -
        • Gas AF Control / Air fuel ratio control system related data
        • Gas AF Control (D4) / Air fuel ratio control system related data (D4)
        • Gas AF O2 Sensor / Air fuel ratio sensors related data
        • Gas Throttle / Gasoline throttle system related data
        • Gas Intake Control / Intake control system related data
        • Gas Valve Control / Valve control system related data
        • Gas Misfire / "Misfire" related data
        • Gas Starting / "Difficult to start" related data
        • Gas Rough Idle / "Rough idle" related data
        • Gas Evaporative / Evaporative system related data
        • Gas CAT Converter / Catalyst converter related data
        • Flexible Fuel Vehicle / Flexible fuel vehicle related data
        • Check Mode / Check mode related data
        • Monitor Status / Monitor status related data
        • Ignition / Ignition system related data
        • Charging Control / Charging control system related data
        • Compression / Data used during "Check the Cylinder Compression" Active Test
        • AT / Automatic transmission system related data
        • Vehicle Information / Vehicle information
        • Catalytic Converter / Catalyst converter related data
        • AF/O2 Sensor Operation (Banked) / Air fuel ratio control system related data
        • AF/O2 Sensor Operation (Inline) / Air fuel ratio control system related data
    8. According to the display on the Techstream, read the Data List.

      HINT: 

      • The title used for each group of Data List items in this service information does not appear on the Techstream. However, the name in parentheses after the title, which is a Measurement Group, does appear on the Techstream. When the name shown in parentheses is selected on the Techstream, all of the Data List items listed for that group will be displayed.
      • "Reference Value" is the assessment of one vehicle. Use it only for reference.
  2. Various Vehicle Conditions 1 (All Data) 

    Powertrain > Engine > Data List 

    Tester Display Measurement Item Range Normal Condition Diagnostic Note
    Total Distance Traveled Total distance traveled Min.: 0, Max.: 16777215 - -
    Total Distance Traveled - Unit Total Distance Traveled unit km or mile - -
    Vehicle Speed Vehicle speed Min.: 0 km/h (0 mph), Max.: 255 km/h (158 mph) Actual vehicle speed
    • This is the current vehicle speed.
    • The vehicle speed is detected using the wheel speed sensors.
      • There is a delay in when the vehicle speed data is displayed. Therefore, even if the vehicle speed listed in the Freeze Frame Data is 0 km/h (0 mph), this does not always mean that the malfunction occurred when the vehicle was stopped.
    Engine Speed Engine speed Min.: 0 rpm, Max.: 16383 rpm 600 to 700 rpm: Idling (shift lever in P, engine warmed up and A/C off) When the crankshaft position sensor is malfunctioning, "Engine Speed" is approximately 0 rpm or varies greatly from the actual engine speed.
    Calculate Load Load calculated by ECM Min.: 0%, Max.: 100% -
    • This is the engine load calculated based on the actual intake manifold pressure.
    • Calculate Load = Actual intake manifold pressure / maximum intake manifold pressure x 100 (%)

      (For example, when the actual intake manifold pressure is the same as atmospheric pressure, Calculate Load is 100%.)

    Vehicle Load Vehicle load Min.: 0%, Max.: 25700% Actual vehicle load
    • This is the engine intake air charging efficiency.
    • Vehicle Load = Current intake airflow (g/rev.) / maximum intake airflow x 100 (%)

      Maximum intake airflow = Displacement (L) / 2 x 1.2 (g/rev.)

    HINT: Due to individual engine differences, intake air temperature, etc., the value may exceed 100%.Intake airflow (g/rev.) = Intake airflow (gm/sec) x 60 / Engine speed (rpm)(Intake airflow [gm/sec] is value of Mass Air Flow Sensor)
    Mass Air Flow Sensor Airflow rate from mass air flow meter sub-assembly Min.: 0 gm/sec, Max.: 655.35 gm/sec
    • 1.2 to 3.2 gm/sec: Idling (engine warmed up)
    • 4.5 to 8.5 gm/sec: 2000 rpm (without load)
    • 7.5 to 12.5 gm/sec: 3000 rpm (without load)
    This is the intake air amount measured by the mass air flow meter sub-assembly.
    Atmospheric Pressure Atmospheric pressure Min.: 0 kPa (0 psi), Max.: 255 kPa (36.98 psi) Equivalent to atmospheric pressure
    • This value is calculated based on the atmospheric pressure sensor.
    • Standard atmospheric pressure: 101 kPa(abs) [14.65 psi(abs)]
    • For every 100 m (328 ft.) increase in altitude, pressure drops by 1 kPa (0.15 psi). This varies depending on the weather.
    Intake Manifold Absolute Pressure Intake manifold absolute pressure Min.: 0 kPa (0 psi), Max.: 2047.96 kPa (296.95 psi)
    • 80 to 110 kPa (11.6 to 15.95 psi): Ignition switch ON
    • 20 to 40 kPa (2.9 to 5.8 psi): Idling with warmed up engine
    • This is the intake manifold pressure.
    • This item is the pressure detected by the manifold absolute pressure sensor and is used for air fuel ratio control and EGR valve control.
    HINT: When the ignition switch is ON, the manifold absolute pressure and atmospheric pressure are approximately the same (standard atmospheric pressure = 101 kPa(abs) [14.65 psi(abs)]).
    Intake Manifold Absolute Pressure Supported Status of Intake Manifold Absolute Pressure Unsupp or Supp Supp -
    Engine Oil Temperature Sensor Engine oil temperature Min.: -40°C (-40°F), Max.: 215°C (419°F) 80 to 110°C (176 to 230°F): After warming up This is the engine oil temperature.
    HINT: 
    • After warming up the engine, the engine oil temperature will be 80 to 110°C (176 to 230°F).
    • After a long soak, the engine oil temperature, intake air temperature and ambient air temperature will be approximately equal.
    • If the value is -40°C (-40°F), or higher than 168°C (334°F), the sensor circuit is open or shorted.
    Coolant Temperature Engine coolant temperature Min.: -40°C (-40°F), Max.: 140°C (284°F) 75 to 100°C (167 to 212°F): After warming up This is the engine coolant temperature.
    HINT: 
    • After warming up the engine, the engine coolant temperature will be 75 to 100°C (167 to 212°F).
    • After a long soak, the engine coolant temperature, intake air temperature and ambient air temperature will be approximately equal.
    • If the value is -40°C (-40°F), or higher than 135°C (275°F), the sensor circuit is open or shorted.
    • Check if the engine overheats if the value indicated is higher than 135°C (275°F).
    Intake Air Temperature Intake air temperature Min.: -40°C (-40°F), Max.: 140°C (284°F) Equivalent to temperature at location of mass air flow meter sub-assembly This is the engine intake air temperature.
    HINT: 
    • After a long soak, the engine coolant temperature, intake air temperature and ambient air temperature will be approximately equal.
    • If the value is -40°C (-40°F), or higher than 128°C (262°F), the sensor circuit is open or shorted.
    Ambient Temperature Ambient temperature Min.: -40°C (-40°F), Max.: 215°C (419°F) Equivalent to ambient temperature This is the ambient temperature.
    HINT: 
    After a long soak, the engine coolant temperature, intake air temperature and ambient air temperature will be approximately equal.
    Engine Run Time Engine run time Min.: 0 sec, Max.: 65535 sec Time after engine start This is the time elapsed since the engine was started.
    Radiator Coolant Temperature Radiator coolant temperature Min.: -40°C (-40°F), Max.: 215°C (419°F) - This is the radiator coolant temperature.
    HINT: 
    If the vehicle has been left as is for a long time after the ignition switch was turned off, coolant temperature, intake air temperature, ambient temperature and radiator coolant temperature will be almost the same.
    IG-ON Coolant Temperature Engine coolant temperature when the ignition switch is turned to ON Min.: -40°C (-40°F), Max.: 119.3°C (246.7°F) - This is the engine coolant temperature stored when the ignition switch is turned to ON.
    Initial Engine Coolant Temperature Engine coolant temperature when the engine is started Min.: -40°C (-40°F), Max.: 119.3°C (246.7°F) - This is the engine coolant temperature stored when the engine is started.
    IG-ON Intake Air Temperature Intake air temperature when the ignition switch is turned to ON Min.: -40°C (-40°F), Max.: 119.3°C (246.7°F) - This is the intake air temperature stored when the ignition switch is turned to ON.
    Initial Engine Intake Air Temperature Intake air temperature when the engine is started Min.: -40°C (-40°F), Max.: 119.3°C (246.7°F) - This is the intake air temperature stored when the engine is started.
    Battery Voltage Battery voltage Min.: 0 V, Max.: 65.5 V 11 to 14 V: Ignition switch ON If 11 V or less, characteristics of some electrical components may change.
    Battery Sensor Voltage Battery sensor voltage Min.: 0.000 V, Max.: 79.998 V 11 to 14 V: (Idling) -
    BATT Voltage Battery voltage Min.: 0 V, Max.: 79.998 V 11 to 14 V: Ignition switch ON If 11 V or less, characteristics of some electrical components may change.
    Glow Indicator Supported Status of the Glow Indicator Supported Supp or Unsupp Unsupp -
    Engine Oil Pressure Engine oil pressure Min.: 0 kPa, Max.: 5119.921 kPa
    • 80 to 120 kPa(gauge): 1000 rpm (engine oil temperature is 75 to 85°C [167 to 185°F])
    • 80 to 120 kPa(gauge): 2000 rpm (engine oil temperature is 75 to 85°C [167 to 185°F])
    • 200 to 300 kPa(gauge): 3000 rpm (engine oil temperature is 75 to 85°C [167 to 185°F])
    • This is the engine oil pressure.
    • During idling to low engine speed, the oil pressure control valve assembly is turned on to reduce oil pressure. At engine speeds other than low engine speeds, the oil pressure control valve assembly is turned off to drastically raise the oil pressure.
    Engine Oil Pressure Control Valve Oil pressure control valve assembly operation current Min.: 0 mA, Max.: 4999.92 mA Approximately 1000 mA: Ignition switch ON The oil pressure control valve drive current is displayed. When the system is operating normally, a low value is displayed when the oil pressure is to be high, and a high value is displayed when the oil pressure is to be low.
  3. Various Vehicle Conditions 2 (Freeze Frame Data) 

    Powertrain > Engine 

    Tester Display Measurement Item Range Normal Condition Diagnostic Note
    Target Engine Oil Pressure Target engine oil pressure Min.: 0 kPa, Max.: 5119.9 kPa - This item is displayed in Freeze Frame Data only.
  4. Throttle Control (All Data) 

    Powertrain > Engine > Data List 

    Tester Display Measurement Item Range Normal Condition Diagnostic Note
    Accelerator Position Accelerator pedal position Min.: 0%, Max.: 399.9% Actual accelerator pedal position This is the accelerator pedal position defined using the learned fully released position (sensor output) of No. 1 accelerator pedal position sensor as 0% and the fully depressed position as 100%.
    Accelerator Position Sensor No. 1 Voltage % Absolute No. 1 accelerator pedal position Min.: 0%, Max.: 100%
    • 10 to 22%: Accelerator pedal fully released
    • 52 to 90%: Accelerator pedal fully depressed
    The No. 1 accelerator pedal position sensor output is converted using 5 V = 100%.
    HINT: 
    If there are no accelerator pedal position sensor DTCs stored, it is possible to conclude that the accelerator pedal position sensor system is normal.
    Accelerator Position Sensor No. 2 Voltage % Absolute No. 2 accelerator pedal position Min.: 0%, Max.: 100%
    • 24 to 40%: Accelerator pedal fully released
    • 68 to 95%: Accelerator pedal fully depressed
    The No. 2 accelerator pedal position sensor output is converted using 5 V = 100%.
    Accelerator Position Sensor No. 1 Voltage No. 1 accelerator pedal position sensor voltage Min.: 0 V, Max.: 4.98 V
    • 0.5 to 1.1 V: Accelerator pedal fully released
    • 2.6 to 4.5 V: Accelerator pedal fully depressed
    This is the voltage output from the No. 1 accelerator pedal position sensor.
    Accelerator Position Sensor No. 2 Voltage No. 2 accelerator pedal position sensor voltage Min.: 0 V, Max.: 4.98 V
    • 1.2 to 2.0 V: Accelerator pedal fully released
    • 3.4 to 4.75 V: Accelerator pedal fully depressed
    • This is the voltage output from the No. 2 accelerator pedal position sensor.
    • The No. 2 accelerator pedal position sensor is used to monitor the No. 1 accelerator pedal position sensor. When there is a malfunction in the No. 1 accelerator pedal position sensor, the ECM uses the No. 2 accelerator pedal position sensor to control the engine.
    Accelerator Idle Position Whether or not accelerator pedal position sensor detecting released accelerator pedal ON or OFF ON: Accelerator pedal fully released This is a parameter calculated by the ECM which indicates whether the accelerator pedal is in the learned idle position.
    Accelerator Position Sensor No. 1 Fully Closed Learn Value Accelerator fully released learned value (No. 1) Min.: 0 deg, Max.: 124.5 deg - This is the value of No. 1 accelerator pedal position sensor learned when the accelerator pedal is released.
    Accelerator Position Sensor No. 2 Fully Closed Learn Value Accelerator fully released learned value (No. 2) Min.: 0 deg, Max.: 124.5 deg - This is the value of No. 2 accelerator pedal position sensor learned when the accelerator pedal is released.
    Engine Starting Torque Control Count Engine starting torque control count Min.: 0, Max.: 255 - -
    Throttle Position Sensor No. 1 Voltage % Absolute No. 1 throttle position sensor Min.: 0%, Max.: 100%
    • 10 to 22%: Accelerator pedal fully released
    • 64 to 96%: Accelerator pedal fully depressed (engine running)
    The No. 1 throttle position sensor output is converted using 5 V = 100%.
    HINT: 
    If there are no throttle position sensor DTCs stored, it is possible to conclude that the throttle position sensor system is normal.
    Throttle Position Sensor No. 2 Voltage % Absolute No. 2 throttle position sensor Min.: 0%, Max.: 100%
    • 42 to 62%: Accelerator pedal fully released
    • 92 to 100%: Accelerator pedal fully depressed (engine running)
    The No. 2 throttle position sensor output is converted using 5 V = 100%.
    System Guard System guard ON or OFF ON: Idling or throttle actuator operating
    • When there is a difference between the target and actual throttle valve opening angles, this item changes to OFF and the electronic throttle control system operation is disabled.
    • OFF: Electronic throttle control is stopped.
    Open Side Malfunction Open malfunction ON or OFF OFF This item indicates a malfunction in the electronic throttle when the throttle valve is open.
    Throttle Request Position Required throttle position Min.: 0 V, Max.: 4.98 V 0.6 to 1.1 V: Idling (A/C off and shift lever in P) The value of this item is calculated by the ECM and shows the voltage for the target throttle valve position.
    Throttle Sensor Position Throttle sensor position Min.: 0%, Max.: 100%
    • 0%: Accelerator pedal fully released
    • 50 to 80%: Accelerator pedal fully depressed (engine running)
    • This is the throttle valve opening amount used for engine control.
    • The value of this item has no meaning when the ignition switch to ON and the engine is not running.
    • The throttle valve opening amount during idle is indicated by 0%.
    Throttle Position Sensor No. 1 Voltage No. 1 throttle position sensor output voltage Min.: 0 V, Max.: 4.98 V
    • 0.6 to 1.1 V: Accelerator pedal fully released
    • 3.2 to 4.8 V: Accelerator pedal fully depressed (engine running)
    • 0.6 to 1.4 V: Fail-safe operating
    This is the No. 1 throttle position sensor output voltage.
    Throttle Position Sensor No. 2 Voltage No. 2 throttle position sensor output voltage Min.: 0 V, Max.: 4.98 V
    • 2.1 to 3.1 V: Accelerator pedal fully released
    • 4.6 to 4.98 V: Accelerator pedal fully depressed (engine running)
    • 2.1 to 3.1 V: Fail-safe operating
    This is the No. 2 throttle position sensor output voltage.
    Throttle Position Command Throttle position command value Min.: 0 V, Max.: 4.98 V 0.6 to 1.1 V: Idling with warm engine (A/C off and shift lever in P) The value displayed for this item is the same as Throttle Request Position.
    Throttle Position Sensor Open Position No. 1 No. 1 throttle position sensor Min.: 0 V, Max.: 4.98 V 0.6 to 1.4 V This is the No. 1 throttle position sensor output voltage when there is no current supplied to the electronic throttle actuator. If the accelerator pedal is released, the throttle valve is kept open by the throttle valve opener when the ignition switch is ON.
    Throttle Position Sensor Open Position No. 2 No. 2 throttle position sensor Min.: 0 V, Max.: 4.98 V 1.7 to 2.5 V This is the No. 2 throttle position sensor output voltage when there is no current supplied to the electronic throttle actuator. If the accelerator pedal is released, the throttle valve is kept open by the throttle valve opener when the ignition switch is ON.
    Throttle Motor Current Throttle actuator current Min.: 0 A, Max.: 19.9 A 0 to 3.0 A: Idling with warmed up engine (A/C off and shift lever in P) When the value of this item is large but the actual opening angle (Throttle Position Sensor No. 1 Voltage) does not reach the target opening angle (Throttle Request Position), there is an "unable to open" malfunction.
    Throttle Motor Duty Ratio Throttle actuator Min.: 0%, Max.: 100% 0 to 22%: Idling with warmed up engine (A/C off and shift lever in P) This is the output duty ratio of the throttle actuator drive circuit.
    Throttle Motor Duty Ratio (Open) Throttle actuator duty ratio (open) Min.: 0%, Max.: 255% 0 to 40%: Idling with warmed up engine (A/C off and shift lever in P) This is the duty ratio used to drive the throttle actuator and open the throttle valve. It is an ECM command signal.
    Throttle Motor Duty Ratio (Close) Throttle actuator duty ratio (close) Min.: 0%, Max.: 255% 0 to 40%: Idling with warmed up engine (A/C off and shift lever in P) This is the duty ratio used to drive the throttle actuator and close the throttle valve. It is an ECM command signal.
    HINT: 
    During idle, the throttle valve opening angle is usually controlled using a duty ratio drive signal which closes the throttle valve. However, if carbon deposits have built up, it may be necessary to open the throttle valve more than the throttle valve opener does. In that case, the opening angle is controlled using the "Throttle Motor Duty Ratio (Open)" signal.
    Throttle Position Sensor Fully Closed Learn Value Throttle valve fully closed position (learned value) Min.: 0 V, Max.: 4.98 V 0.4 to 1.0 V: Ignition switch ON, accelerator pedal fully released
    • The ECM uses this learned value to determine the fully closed (and fully open) position of the throttle valve. The ECM calculates the learned value based on the position of the throttle valve when the accelerator pedal is released and the throttle valve motor is not operating.
    • Learning is performed immediately after the ignition switch is turned to ON.
    +BM Voltage +BM voltage Min.: 0 V, Max.: 79.998 V 11 to 14 V: Ignition switch ON This is the power supply for the electronic throttle actuator. When the power supply is interrupted for approximately 1 second, DTCs P0657-14 (open or short circuit) and P0657-9E (short circuit, ECU malfunction) are stored and the electronic throttle control system enters fail-safe mode (normal operation is not restored until the ignition switch is turned off).
    Actuator Power Supply Actuator power supply ON or OFF ON: Idling or throttle actuator operating -
    Throttle Air Flow Learn Value (Area 1) Throttle air flow learning value of area 1 Min.: 0, Max.: 1.99 - -
    Throttle Air Flow Learn Value (Area 2) Throttle air flow learning value of area 2 Min.: 0, Max.: 1.99 - -
    Throttle Air Flow Learn Value (Area 3) Throttle air flow learning value of area 3 Min.: 0, Max.: 1.99 - -
    Throttle Air Flow Learn Value (Calculated Value) Throttle air flow learning value (calculated value) Min.: 0, Max.: 1.99 - -
    Throttle Air Flow Learn Value (Atmosphere Pressure Offset Value) Throttle air flow learning value (atmosphere pressure offset value) Min.: 0, Max.: 2.55 - -
  5. Idle Speed Control (Gas Rough Idle) 

    Powertrain > Engine > Data List 

    Tester Display Measurement Item Range Normal Condition Diagnostic Note
    Low Revolution Control Low engine speed control operation state ON or OFF OFF This item indicates whether the engine speed dropped immediately after starting due to poor combustion, etc. This item changes to ON when the engine speed drops to below the following speeds 1 to 7 seconds after the engine is started (if the A/C switch is on, the engine speed thresholds below are increased by 100 to 200 rpm).
    • 900 rpm (when the engine coolant temperature is 10°C [50°F])
    • 850 rpm (when the engine coolant temperature is 30°C [86°F])
    • 750 rpm (when the engine coolant temperature is 60°C [140°F])

      Before 5 seconds have elapsed since the engine was started, this item indicates the status of the previous trip.

      After 5 seconds have elapsed since the engine was started, this item indicates the status of the current trip.


    HINT: 
    The engine is considered to be started when the engine speed reaches 400 rpm. When the engine speed decreases immediately after the engine is started, this item changes to ON and remains ON for the rest of the trip.
    ON: The engine speed decreased immediately after starting the engine.
    OFF: The engine speed did not decrease immediately after starting the engine.
    N Range Status Shift lever N status ON or OFF ON: Shift lever in P or N -
    Engine Stall Control F/B Flow ISC torque lower limit value to prevent engine stall Min.: -1024 Nm, Max.: 1023.96 Nm - The intake air amount and ignition timing are adjusted when there is a large decrease in engine speed (for example, a decrease to 550 rpm or less) in order to prevent the engine from stalling.
    ISC F/B Learn Torque ISC feedback learning torque Min.: -1024 Nm, Max.: 1023.96 Nm -6 to 6 Nm: Idling (engine warmed up, A/C off and shift lever in P) This item represents compensation value necessary to make the engine run at the target idle speed. This value expresses the difference between the actual torque and estimated torque. For example, when this value is positive, maintaining the idle speed requires more torque than the estimated torque.
    HINT: 
    • When the absolute value of ISC F/B Torque exceeds a certain value, it is gradually taken into account in the calculation of ISC F/B Learn Torque.
    • When the engine is operating stably near the target idle speed, the following relational expression can be derived.

      ISC torque (ISC total torque) = "ISC F/B Learn Torque" + "ISC F/B Torque" + "Sum of ISC F/B Torque (Recent)" + "ISC Total AUXS Torque"

    ISC Total AUXS Torque ISC total AUXS torque Min.: -1024 Nm, Max.: 1023.96 Nm 13 to 75 Nm: Idling (engine warmed up, A/C off and shift lever in P) This item represents the total of each estimated load torque when the engine is idling. (The total load torque of engine friction, alternator, air conditioner, A/T, etc.)
    ISC F/B Torque ISC feedback torque Min.: -1024 Nm, Max.: 1023.96 Nm -6 to 6 Nm: Idling (engine warmed up, A/C off and shift lever in P) This item expresses the feedback compensation value (torque) necessary to make the engine run at the target idle speed.
    HINT: 
    When the engine does not run at the target idle speed, ISC F/B Torque will increase or decrease.
    Sum of ISC F/B Torque (Recent) ISC feedback torque (recent) Min.: -1024 Nm, Max.: 1023.96 Nm -7 to 14 Nm: Idling (engine warmed up, A/C off and shift lever in P) This item expresses the feedback compensation value (torque) necessary to make the engine quickly match the target idle speed.
    HINT: 
    When the engine does not run at the target idle speed, Sum of ISC F/B Torque (Recent) first increases or decreases, and subsequently, that decrease or increase is conveyed to the ISC F/B Torque (which controls the amount of intake air).
    ISC AUXS Torque (Alternator) ISC AUXS torque (alternator) Min.: -1024 Nm, Max.: 1023.96 Nm 0 to 17 Nm: Idling (engine warmed up, A/C off and shift lever in P) This item expresses the ISC compensation amount (estimated torque) according to the alternator load.
    ISC AUXS Torque (Air Conditioner) ISC AUXS torque (air conditioner) Min.: -1024 Nm, Max.: 1023.96 Nm 5 to 25 Nm: Idling (engine warmed up, A/C on and shift lever in P) This item expresses the ISC compensation torque (estimated torque) according to the air conditioner compressor load.
    Throttle Air Flow F/B Value Throttle air flow feedback value Min.: -4096000 L/s, Max.: 4095875 L/s - This item expresses the throttle air flow feedback value.
    Throttle Position Throttle position Min.: 0 deg, Max.: 499.99 deg - -
  6. Fuel System 1 (All Data) 

    Powertrain > Engine > Data List 

    Tester Display Measurement Item Range Normal Condition Diagnostic Note
    Target Fuel Pressure (High) Target fuel pressure (for high pressure side) Min.: 0 kPa, Max.: 655350 kPa 2400 to 20000 kPag: 3000 rpm (warmed up engine, A/C off and shift lever in P), direct injection control This item indicates the target fuel pressure for the fuel pump (for high pressure side).
    Target Fuel Pressure (High) Supported Status of Target Fuel Pressure (High) supported Unsupp or Supp Supp -
    Target Fuel Pressure (Low) / Target Fuel Pressure 2 Target fuel pressure (for low pressure side) Min.: 0 kPa, Max.: 655350 kPa 300 to 530 kPag: Idling with warmed up engine (A/C off and shift lever in P) This item indicates the target fuel pressure for the fuel pump (for low pressure side).
    Target Fuel Pressure (Low) / Target Fuel Pressure 2 Supported Status of Target Fuel Pressure (Low) supported Unsupp or Supp Supp -
    Fuel Pressure (High) Fuel pressure (for high pressure side) Min.: 0 kPa, Max.: 655350 kPa 2400 to 20000 kPag: 3000 rpm (warmed up engine, A/C off and shift lever in P), direct injection control This item indicates the fuel pressure (for high pressure side).
    Fuel Pressure (High) Supported Status of Fuel Pressure (High) supported Unsupp or Supp Supp -
    Fuel Pressure (Low) / Fuel Pressure 2 Fuel pressure (for low pressure side) Min.: 0 kPa, Max.: 655350 kPa 300 to 530 kPag: Idling with warmed up engine (A/C off and shift lever in P) This item indicates the fuel pressure (for low pressure side).
    Fuel Pressure (Low) / Fuel Pressure 2 Supported Status of Fuel Pressure (Low) supported Unsupp or Supp Supp -
  7. EVAP System 1 (All Data) 

    Powertrain > Engine > Data List 

    Tester Display Measurement Item Range Normal Condition Diagnostic Note
    VSV for Vent Valve Key-off EVAP system vent valve status ON or OFF - Active Test item [Activate the Vent Valve] support data*.
    Vacuum Pump Key-off EVAP system leak detection pump status ON or OFF - Active Test item [Activate the Vacuum Pump] support data*.

    *: Refer to EVAP System [11/2018 - 08/2020]

  8. Fuel System 2 (All Data) 

    Powertrain > Engine > Data List 

    Tester Display Measurement Item Range Normal Condition Diagnostic Note
    Fuel Pump Control Duty Ratio Fuel pump duty ratio (for low pressure side) Min.: 0%, Max.: 399.9% 0 to 100%: Idling with warmed up engine (A/C off and shift lever in P) This item indicates the duty ratio of the fuel pump (for low pressure side).
    Injector Cylinder #1 (Port) Injection period of the No. 1 cylinder (port injection) Min.: 0 μs, Max.: 65535 μs 1800 to 47000 μs: Idling with warmed up engine (A/C off and shift lever in P)
    • This is the injection period of the No. 1 cylinder (port injection) (the command value from the ECM).
    • The latest injection timing may be displayed even when fuel injection is not performed. Confirm the injection status by also referring to the Data List item "Injection Mode".
    Injection Volume Cylinder #1 Injection volume (cylinder 1) Min.: 0 ml, Max.: 2 ml - This is the fuel injection volume for 10 injections.
    Target Fuel Pressure Offset Target fuel pressure offset Min.: -25%, Max.: 24.8% -
    • Active Test item [Control the Target Fuel Pressure Offset] support data.
    • 0 is displayed when the Active Test is not being performed.
    Injection Volume Injection volume Min.: -25%, Max.: 24.8% -
    • Active Test item [Control the Injection Volume] or [Control the Injection Volume for A/F Sensor] support data.
    • 0 is displayed when the Active Test is not being performed.
    Engine Fuel Rate Engine fuel rate Min.: 0 gm/sec, Max.: 1310.70 gm/sec - -
    Vehicle Fuel Rate Vehicle fuel rate Min.: 0 gm/sec, Max.: 1310.70 gm/sec - -
    Low Fuel Pressure Sensor Fuel pressure sensor (for low pressure side) output Min.: -3276.8 kPa, Max.: 3276.7 kPa 300 to 530 kPag: Idling with warmed up engine (A/C off and shift lever in P) This item indicates the fuel pressure (for low pressure side) from the fuel pressure sensor (for low pressure side).
    High Fuel Pressure Sensor Fuel pressure sensor (for high pressure side) output Min.: -64 MPa, Max.: 63.998 MPa 2 to 25 MPa: 3000 rpm (warmed up engine, A/C off and shift lever in P), direct injection control This item indicates the fuel pressure (for high pressure side) from the fuel pressure sensor (for high pressure side).
    High Pressure Fuel Pump Duty Ratio (D4) Fuel pump duty ratio (for high pressure side) Min.: 0%, Max.: 127.5% 0 to 50%: 3000 rpm (warmed up engine, A/C off and shift lever in P), direct injection control This item indicates the duty ratio of the electromagnetic spill valve.
    High Pressure Fuel Pump Discharge Rate Fuel volume required by the high pressure fuel pump Min.: 0 ml, Max.: 2 ml - This item indicates the fuel pump assembly (for high pressure side) discharge amount.
    Injection Mode Injection mode Port / Direct / Either - This item indicates the injection mode.
    Injection Switching Status Prohibition of changing the D-4S injection method OK or NG - This item indicates whether the Control the Injection Mode Active Test is prohibited.
    Injection Timing Cylinder #1 (D4) Injection timing (for direct injection) Min.: -3276.8 deg(CA), Max.:3276.7 deg(CA) 240 to 360 deg(CA): 3000 rpm (warmed up engine, A/C off and shift lever in P), direct injection control This item indicates the injection timing of the No. 1 direct fuel injector assembly.
    Injection Time Cylinder #1 (D4) Injection time (for direct injection) Min.: 0 μs, Max.: 65535 μs 700 to 2300 μs: 3000 rpm (warmed up engine, A/C off and shift lever in P), direct injection control
    • This item indicates the last injection time of the No. 1 direct fuel injector assembly.
    • The latest injection timing may be displayed even when fuel injection is not performed. Confirm the injection status by also referring to the Data List item "Injection Mode".
    Current Fuel Type Current fuel type - Gasoline/petrol -
  9. EVAP System 2 (Gas Evaporative) 

    Powertrain > Engine > Data List 

    Tester Display Measurement Item Range Normal Condition Diagnostic Note
    EVAP (Purge) VSV Purge VSV control duty Min.: 0%, Max.: 100% -
    • This is the command signal from the ECM.
    • This is the purge VSV control duty ratio. When EVAP (Purge) VSV is any value except 0%, EVAP purge* is being performed.

      *: Gasoline vapor from the fuel tank is being introduced into the intake system via the purge VSV.

    • When the engine is cold or immediately after the engine is started, EVAP (Purge) VSV will be 0%.
    EVAP Purge Flow Purge flow Min.: 0%, Max.: 399.9% - This is the percentage of total engine airflow contributed by EVAP purge operation.
    (Evap Purge Flow = Purge flow / Engine airflow x 100 (%))
    EVAP Purge Density Learn Value Purge density learned value Min.: -200, Max.: 199.993 -
    • This is the proportion of the decrease in injection volume (based on the change in the air fuel ratio feedback compensation value) related to a 1% purge flow rate.
    • When the value of this item is a large negative value, the purge effect is large.
    • The purge density is determined from the change in the air fuel ratio feedback compensation value when purge flow is introduced.
    • Purge density learning is performed so that the feedback compensation value is 0 +/-2%.
    HINT: 
    • Usually, the value is approximately +/-1.
    • 1: The concentration of HC in the purge gas is relatively low.
    • 0: The concentration of HC in the purge gas is approximately equal to the stoichiometric air fuel ratio.
    • Large negative values indicate that the concentration of HC in the purge gas is relatively high.
    Vapor Pressure Pump Vapor pressure Min.: 0 kPa (0 psi), Max.: 1441.77 kPa (209.07 psi) Approximately 100 kPa(abs) [14.5 psi(abs)]: Ignition switch ON This is the EVAP system pressure monitored by the canister pressure sensor.
    HINT: 
    • Except for when the monitor is running, this value should be approximately the same as atmospheric pressure.
    • As Vapor Pressure Pump is almost the same as atmospheric pressure when the engine is stopped, this item can be used to help determine if the canister pressure sensor characteristics are abnormal, if there is noise, or if the sensor output is stuck at a certain value.
    Vapor Pressure (Calculated) Calculated EVAP system pressure Min.: -720.896 kPa (-104.53 psi), Max.: 720.874 kPa (104.53 psi) Approximately 100 kPa(abs) [14.5 psi(abs)]: Ignition switch ON -
    EVAP Purge VSV VSV status for EVAP control ON or OFF - This item is ON when EVAP (Purge) VSV is approximately 30% or higher, and is OFF when the VSV duty ratio is less than 30%.
    Purge Cut VSV Duty Purge VSV duty Min.: 0%, Max.: 399.9% - -
  10. Air Fuel Ratio Control (All Data) 

    Powertrain > Engine > Data List 

    Tester Display Measurement Item Range Normal Condition Diagnostic Note
    Target Air-Fuel Ratio Target air fuel ratio Min.: 0, Max.: 2 0.8 to 1.2: During idling (engine warmed up)
    • This is the target air fuel ratio used by the ECM.
    • 1.0 is the stoichiometric air fuel ratio. Values that are more than 1.0 indicate the system attempting to make the air fuel ratio leaner. Values that are less than 1.0 indicate the system attempting to make the air fuel ratio richer.
    A/F (O2) Lambda Sensor B1S1 Output air fuel ratio associated with bank 1 sensor 1 Min.: 0, Max.: 1.99
    • Value less than 1 (0.000 to 0.999) = Rich
    • 1 = Stoichiometric air fuel ratio
    • Value more than 1 (1.001 to 1.999) = Lean
    This is the actual air fuel ratio calculated based on the air fuel ratio sensor output.
    A/F (O2) Lambda Sensor B1S2 Output air fuel ratio associated with bank 1 sensor 2 Min.: 0, Max.: 1.99
    • Value less than 1 (0.000 to 0.999) = Rich
    • 1 = Stoichiometric air fuel ratio
    • Value more than 1 (1.001 to 1.999) = Lean
    This is the actual air fuel ratio calculated based on the air fuel ratio sensor output.
    A/F (O2) Sensor Current B1S1 Air fuel ratio sensor (sensor 1) output current Min.: -128 mA, Max.: 127.996 mA -0.5 to 0.5 mA: Idling (engine warmed up)
    • With a stoichiometric air fuel ratio (for example, during idling after the engine is warmed up), the air fuel ratio sensor (sensor 1) current output is approximately -0.5 to 0.5 mA.
    • When the value is outside the range of 0.47 to 2.2 mA when the fuel-cut is being performed, there is a malfunction in the air fuel ratio sensor (sensor 1) or sensor circuit.
    • Performing the "Control the Injection Volume or Control the Injection Volume for A/F Sensor" Active Test enables the technician to check the output current of the sensor.
    A/F (O2) Sensor Current B1S2 Air fuel ratio sensor (sensor 2) output current Min.: -128 mA, Max.: 127.99 mA -0.5 to 0.5 mA: Idling (engine warmed up)
    • A/F (O2) Sensor Current B1S2 display is less than 0 mA: Richer than the stoichiometric air-fuel ratio
    • A/F (O2) Sensor Current B1S2 display is more than 0 mA: Leaner than stoichiometric air-fuel ratio
    • With a stoichiometric air fuel ratio (for example, during idling after the engine is warmed up), the air fuel ratio sensor (sensor 2) current output is approximately -0.5 to 0.5 mA.
    • When the value is less than 7.5 mA when the fuel-cut is being performed, there is a malfunction in the air fuel ratio sensor (sensor 2) or sensor circuit.
    • Performing the "Control the Injection Volume or Control the Injection Volume for A/F Sensor" Active Test enables the technician to check the output current of the sensor.
    A/F (O2) Sensor Heater Duty Ratio B1S1 Air fuel ratio sensor (sensor 1) heater duty ratio Min.: 0%, Max.: 399.9% 0 to 100%: Idling (engine warmed up) When the value is any value except 0%, current is being supplied to the heater.
    A/F Sensor Heater Current Value B1S2 Air fuel ratio sensor (sensor 2) heater current Min.: 0 A, Max.: 65.535 A - When the value is any value except 0 A, current is being supplied to the heater.
    A/F Sensor Heater Duty B1S2 Air fuel ratio sensor (sensor 2) heater duty ratio Min.: 0%, Max.: 399.9% 0 to 100%: Idling (engine warmed up) When the value is any value except 0%, current is being supplied to the heater.
    A/F Sensor Impedance B1S1 Air fuel ratio sensor (sensor 1) impedance Min.: 0 ohm, Max.: 21247.67 ohm 5 to 15000 ohm: Idling (engine warmed up) -
    A/F Sensor Impedance B1S2 Air fuel ratio sensor (sensor 2) impedance Min.: 0 ohm, Max.: 21247.67 ohm 5 to 15000 ohm: Idling (engine warmed up) -
    Short FT B1S1 Short-term fuel trim Min.: -100%, Max.: 99.21% -20 to 20% This item is the "short-term fuel injection volume compensation ratio" used to maintain the air fuel ratio at the stoichiometric ratio using the air fuel ratio sensor (sensor 1) for feedback.
    Short FT B1S2 Short-term fuel trim Min.: -100%, Max.: 99.21% - -
    Long FT B1S1 Long-term fuel trim Min.: -100%, Max.: 99.21% -20 to 20%
    • The ECM will learn the Long FT B1S1 values based on Short FT B1S1. The goal is to keep Short FT B1S1 at 0% to keep the air fuel ratio mixture at the stoichiometric ratio.
    • This item is used to determine whether the system related to air fuel ratio control is malfunctioning.
    • The condition of the system is determined based on the sum of Short FT B1S1 and Long FT B1S1 (excluding times when the system is in transition).
      • 20% or higher: The air fuel ratio may be lean.
      • -20 to 20%: The air fuel ratio can be determined to be normal.
      • -20% or less: The air fuel ratio may be rich.
      • Air fuel ratio feedback learning is divided up according to the engine operating range (engine speed x load), and a separate value is stored for each operating range. "Long FT B1S1" indicates the learned value for the current operating range.

        [A/F Learn Value Idle Bank 1], [A/F Learn Value Low Bank 1], [A/F Learn Value Mid No. 1 Bank 1], [A/F Learn Value Mid No. 2 Bank 1], [A/F Learn Value High Bank 1], [A/F Learn Value Idle (Port) Bank 1], [A/F Learn Value Low (Port) Bank 1], [A/F Learn Value Mid No. 1 (Port) Bank 1], [A/F Learn Value Mid No. 2 (Port) Bank 1] and [A/F Learn Value High (Port) Bank 1] indicate the learned values for the different operating ranges. The learned value that is the same as "Long FT B1S1" indicates the current engine operating range.

    Long FT B1S2 Long-term fuel trim Min.: -100%, Max.: 99.21% - -
    Total FT Bank 1 Total fuel trim Min.: -0.5, Max.: 0.496 -0.28 to 0.2: Idling with warm engine Total FT Bank 1 = Short FT B1S1 + Long FT B1S1
    Fuel System Status Bank 1 Fuel system status (bank 1) Unused, OL, CL, OLDrive, OLFault or CLFault CL: Idling after warming up
    • OL (Open Loop): Has not yet satisfied conditions to go to closed loop.
    • CL (Closed Loop): Feedback for fuel control.
    • OLDrive: Open loop due to driving conditions (fuel enrichment).
    • OLFault: Open loop due to a detected system fault.
    • CLFault: Closed loop but the air fuel ratio sensor (sensor 1), which is used for fuel control, is malfunctioning.
    Fuel System Status Bank 2 Fuel system status (bank 2) Unused, OL, CL, OLDrive, OLFault or CLFault Unused -
    A/F Learn Value Idle (Port) Bank 1 Air fuel ratio learn value of idle area (port) Min.: -50%, Max.: 49.6% -20 to 20% Learning is performed when idling with the engine warmed up (engine coolant temperature is 80°C [176°F] or higher).
    A/F Learn Value Low (Port) Bank 1 Air fuel ratio learn value of low load area (port) Min.: -50%, Max.: 49.6% -20 to 20% Learning is performed when driving with the engine warmed up (engine coolant temperature is 80°C [176°F] or higher) and operating in the low load range (when the range of engine loads is divided into four parts).
    A/F Learn Value Mid No. 1 (Port) Bank 1 Air fuel ratio learn value of middle1 load area (port) Min.: -50%, Max.: 49.6% -20 to 20% Learning is performed when driving with the engine warmed up (engine coolant temperature is 80°C [176°F] or higher) and operating in the mid-size load range closer to the low load range (when the range of engine loads is divided into four parts).
    A/F Learn Value Mid No. 2 (Port) Bank 1 Air fuel ratio learn value of middle2 load area (port) Min.: -50%, Max.: 49.6% -20 to 20% Learning is performed when driving with the engine warmed up (engine coolant temperature is 80°C [176°F] or higher) and operating in the mid-size load range closer to the high load range (when the range of engine loads is divided into four parts).
    A/F Learn Value High (Port) Bank 1 Air fuel ratio learn value of high load area (port) Min.: -50%, Max.: 49.6% -20 to 20% Learning is performed when driving with the engine warmed up (engine coolant temperature is 80°C [176°F] or higher) and operating in the high load range (when the range of engine loads is divided into four parts).
    A/F Learn Value Idle Bank 1 Air fuel ratio learn value of idle area Min.: -50%, Max.: 49.6% -20 to 20% Learning is performed when idling with the engine warmed up (engine coolant temperature is 80°C [176°F] or higher).
    A/F Learn Value Low Bank 1 Air fuel ratio learn value of low load area Min.: -50%, Max.: 49.6% -20 to 20% Learning is performed when driving with the engine warmed up (engine coolant temperature is 80°C [176°F] or higher) and operating in the low load range (when the range of engine loads is divided into four parts).
    A/F Learn Value Mid No. 1 Bank 1 Air fuel ratio learn value of middle1 load area Min.: -50%, Max.: 49.6% -20 to 20% Learning is performed when driving with the engine warmed up (engine coolant temperature is 80°C [176°F] or higher) and operating in the mid-size load range closer to the low load range (when the range of engine loads is divided into four parts).
    A/F Learn Value Mid No. 2 Bank 1 Air fuel ratio learn value of middle2 load area Min.: -50%, Max.: 49.6% -20 to 20% Learning is performed when driving with the engine warmed up (engine coolant temperature is 80°C [176°F] or higher) and operating in the mid-size load range closer to the high load range (when the range of engine loads is divided into four parts).
    A/F Learn Value High Bank 1 Air fuel ratio learn value of high load area Min.: -50%, Max.: 49.6% -20 to 20% Learning is performed when driving with the engine warmed up (engine coolant temperature is 80°C [176°F] or higher) and operating in the high load range (when the range of engine loads is divided into four parts).
  11. Ignition System (Ignition) 

    Powertrain > Engine > Data List 

    Tester Display Measurement Item Range Normal Condition Diagnostic Note
    Ignition Timing Cylinder #1 Ignition timing advance for No. 1 cylinder Min.: -64 deg, Max.: 63.5 deg -15 to 31 deg: Idling (engine warmed up, A/C off and shift lever in N) -
    Knock F/B Value Knocking feedback value Min.: -1024 deg(CA), Max.: 1023.9 deg(CA) -17 to 0 deg(CA): Driving at 70 km/h (43 mph) This is the ignition timing retard compensation amount determined by the presence or absence of knocking.
    Ignition timing = Most retarded timing value*1 + Knock Correct Learn Value*2 + Knock F/B Value*3 + each compensation amount
    Example: 21 deg(CA) = 10 deg(CA) + 14 deg(CA) - 3 deg(CA)
    *1: The most retarded timing value is a constant determined by the engine speed and engine load.
    *2: The knock correction learned value is calculated as shown below in order to keep Knock F/B Value as close to -3 deg(CA) as possible.
    When Knock F/B Value is less than -4 deg(CA), Knock Correct Learn Value is slowly decreased.
    When Knock F/B Value is higher than -2 deg(CA), Knock Correct Learn Value is slowly increased.
    *3: The base value is -3 deg(CA) and is adjusted based on the presence or absence of knocking. When there is no knocking, the value is increased, and when knocking is present, the value is decreased.
    HINT: 
    If Knock F/B Value does not change around the time when knocking occurs even though knocking continues (for example, stays at -3 deg(CA)), it can be determined that knocking is not being detected.
    Possible Causes: 
    • There is a problem with the knock control sensor sensitivity.
    • The knock control sensor is improperly installed.
    • There is a problem with a wire harness.
    Knock Correct Learn Value Knocking correction learned value Min.: -1024 deg(CA), Max.: 1023.9 deg(CA) -
    • Refer to "Knock F/B Value".
    • When there is knocking or a lack of power, compare the values of following items to another vehicle of the same model.
      • Engine Speed
      • Calculate Load
      • Ignition Timing Cylinder #1
      • Knock F/B Value
      • Knock Correct Learn Value
    • Knock Correct Learn Value is large: There is no knocking and the ignition timing is advanced.
    • Knock Correct Learn Value is small: Knocking is present and the ignition timing is being retarded.
    HINT: When knocking continues even though Knock Correct Learn Value is less than that of the vehicle being used for comparison (in other words, the ignition timing is being retarded but the knocking does not stop), there may be a buildup of deposits or other such problems due to deterioration over time (oil entering the cylinders, poor quality fuel, etc.).
    Idle Spark Advance Control Cylinder #1 Individual cylinder timing advance compensation amount (No. 1) Min.: 0 deg(CA), Max.: 15.93 deg(CA) -
    • This is the ignition timing advance compensation amount used to stabilize idling (each cylinder has a separate value). When the speed for a certain cylinder drops, the system advances the timing for that particular cylinder in an attempt to restore the speed and stabilize idling.
    • It may be possible to use this item to help determine specific cylinders which are not operating normally.
    Idle Spark Advance Control Cylinder #2 Individual cylinder timing advance compensation amount (No. 2) Min.: 0 deg(CA), Max.: 15.93 deg(CA) -
    • This is the ignition timing advance compensation amount used to stabilize idling (each cylinder has a separate value). When the speed for a certain cylinder drops, the system advances the timing for that particular cylinder in an attempt to restore the speed and stabilize idling.
    • It may be possible to use this item to help determine specific cylinders which are not operating normally.
    Idle Spark Advance Control Cylinder #3 Individual cylinder timing advance compensation amount (No. 3) Min.: 0 deg(CA), Max.: 15.93 deg(CA) -
    • This is the ignition timing advance compensation amount used to stabilize idling (each cylinder has a separate value). When the speed for a certain cylinder drops, the system advances the timing for that particular cylinder in an attempt to restore the speed and stabilize idling.
    • It may be possible to use this item to help determine specific cylinders which are not operating normally.
    Idle Spark Advance Control Cylinder #4 Individual cylinder timing advance compensation amount (No. 4) Min.: 0 deg(CA), Max.: 15.93 deg(CA) -
    • This is the ignition timing advance compensation amount used to stabilize idling (each cylinder has a separate value). When the speed for a certain cylinder drops, the system advances the timing for that particular cylinder in an attempt to restore the speed and stabilize idling.
    • It may be possible to use this item to help determine specific cylinders which are not operating normally.
  12. Mass Air Flow Meter (All Data) 

    Powertrain > Engine > Data List 

    Tester Display Measurement Item Range Normal Condition Diagnostic Note
    Mass Air Flow Circuit Status of the mass air flow meter sub-assembly circuit Normal or Abnormal Normal -
  13. EGR Control (All Data) 

    Powertrain > Engine > Data List 

    Tester Display Measurement Item Range Normal Condition Diagnostic Note
    Target EGR Valve Position No. 1 Target EGR valve position value Min.: 0%, Max.: 100%
    • 0%: Idling (engine warmed up)
    • 0 to 100%: Low load running
    • When the engine is cold or idling, at engine start, etc., the value is 0%.
    • When the valve is fully closed, the value is 0%.
    • When the valve is fully open, the value is 100%.
    Target EGR Valve Position No. 1 Supported Status of Target EGR Valve Position No. 1 supported Unsupp or Supp Supp -
    Actual EGR Valve Position No. 1 Supported Status of Actual EGR Valve Position No. 1 supported Unsupp or Supp Unsupp -
    Target EGR Valve Position No. 2 Supported Status of Target EGR Valve Position No. 2 supported Unsupp or Supp Unsupp -
    Actual EGR Valve Position No. 2 Supported Status of Actual EGR Valve Position No. 2 supported Unsupp or Supp Unsupp -
    EGR Step Position EGR step position Min.: 0 step, Max.: 255 step - Active Test item [Control the EGR Step Position] support data.
  14. VVT Control (Gas Valve Control) 

    Powertrain > Engine > Data List 

    Tester Display Measurement Item Range Normal Condition Diagnostic Note
    VVT Advance Fail VVT control failure status ON or OFF OFF: Idling ON: There is an intake VVT timing advance malfunction.
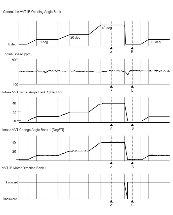
    Intake VVT Change Angle Bank 1 Intake VVT displacement angle Min.: 0 DegFR, Max.: 639.9 DegFR 20 to 30 DegFR: Idling (engine warmed up) This is the intake VVT displacement angle.
    Exhaust VVT Hold Learn Value Bank 1 Exhaust VVT hold correct learned value Min.: 0%, Max.: 399.9% 0 to 100%: Idling (engine warmed up) -
    Exhaust VVT Change Angle Bank 1 Exhaust VVT displacement angle Min.: 0 DegFR, Max.: 639.9 DegFR 0 to 10 DegFR: Idling (engine warmed up) This is the exhaust VVT displacement angle.
    Exhaust VVT OCV Control Duty Ratio Bank 1 Cam timing oil control solenoid operation duty ratio Min.: 0%, Max.: 399.9% 0 to 100%: Idling (engine warmed up) -
    Intake VVT Target Angle Bank 1 Intake VVT target angle Min.: 0 DegFR, Max.: 639.9 DegFR 25 DegFR: Idling (engine warmed up) -
    Exhaust VVT Target Angle Bank 1 Exhaust VVT target angle Min.: 0 DegFR, Max.: 639.9 DegFR 0 DegFR: Idling (engine warmed up) -
    Intake VVT Timing Most Over-Retarded Learn Value Bank 1 Intake VVT maximum retarded angle learned value Min.: 0 deg(CA), Max.: 639.99 deg(CA) 19 to 42 deg(CA): Idling (engine warmed up) -
    Exhaust VVT Timing Most Over-Advanced Learn Value Bank 1 Exhaust VVT maximum advanced angle learned value Min.: 0 deg(CA), Max.: 639.99 deg(CA) 80 to 102 deg(CA): Idling (engine warmed up) -
    VVT-iE Duty Ratio Bank 1 Cam timing control motor operation duty ratio Min.: -200%, Max.: 199.9% 0 to 100%: Idling (engine warmed up) The duty ratio of the cam timing control motor with EDU assembly is displayed.
    VVT-iE Motor Direction Bank 1 VVT-iE motor direction Backward or Forward Forward: Idling (engine warmed up) The direction of rotation of the cam timing control motor with EDU assembly is displayed.
    VVT-iE Opening Angle Bank 1 Cam timing control motor operation angle Min.: 0 deg, Max.: 65 deg -
    • Active Test item [Control the VVT-iE Opening Angle Bank 1] support data.
    • 0 is displayed when the Active Test is not being performed.
  15. Catalyst (Gas CAT Converter) 

    Powertrain > Engine > Data List 

    Tester Display Measurement Item Range Normal Condition Diagnostic Note
    Engine Exhaust Flow Rate Exhaust flow rate Min.: 0 kg/h, Max.: 13107 kg/h - -
    Catalyst Temperature B1S1 Front catalyst temperature Min.: -40°C (-40°F), Max.: 6513.5°C (11756.3°F) -
    • This is the temperature of the front catalyst estimated by the ECM.
    • This item is included in the conditions used to detect catalyst deterioration (DTC P0420-00), etc., and should therefore be used as a reference when recreating malfunction conditions.
    Catalyst Temperature B1S2 Rear catalyst temperature Min.: -40°C (-40°F), Max.: 6513.5°C (11756.3°F) - This is the temperature of the rear catalyst estimated by the ECM.
  16. Various Vehicle Conditions 3 (All Data) 

    Powertrain > Engine > Data List 

    Tester Display Measurement Item Range Normal Condition Diagnostic Note
    Starter SW Starter signal ON or OFF
    • ON: Starter operating
    • OFF: Starter not operating
    -
    Neutral Position SW Park/Neutral position switch status ON or OFF ON: Shift lever in P or N -
    Stop Light SW Stop light switch status ON or OFF
    • ON: Brake pedal depressed
    • OFF: Brake pedal released
    -
    Immobilizer Communication Immobilizer communication ON or OFF ON: Normal -
    Cruise Main SW Cruise control switch status ON or OFF - -
    Closed Throttle Position SW Closed throttle position switch status ON or OFF
    • ON: Accelerator pedal fully released
    • OFF: Accelerator pedal depressed
    -
  17. Check Mode (Check Mode) 

    Powertrain > Engine > Data List 

    Tester Display Measurement Item Range Normal Condition Diagnostic Note
    Misfire Test Result Check mode result for misfire monitor Compl or Incmpl - -
    A/F (O2) Sensor B1S2 Test Results Check mode result for air fuel ratio sensor (sensor 2) Compl or Incmpl - -
    A/F (O2) Sensor B1S1 Test Results Check mode result for air fuel ratio sensor (sensor 1) Compl or Incmpl - -
  18. Test Result (Monitor Status) 

    Powertrain > Engine > Data List 

    Tester Display Measurement Item Range Normal Condition Diagnostic Note
    Complete Parts Monitor Comprehensive component monitor Not Avl or Avail -
    • *1
    Ignition Monitor Ignition monitor Spark Ignition or Compression Ignition - -
    Fuel System Monitor Fuel system monitor Not Avl or Avail -
    • *1
    Fuel System Monitor Result Fuel system monitor Compl or Incmpl -
    • *1
    Misfire Monitor Misfire monitor Not Avl or Avail -
    • *1
    EGR/VVT Monitor EGR/VVT monitor Not Avl or Avail -
    • *1
    EGR/VVT Monitor Result EGR/VVT monitor Compl or Incmpl -
    • *1
    A/F (O2) Sensor Heater Monitor A/F (O2) sensor heater monitor Not Avl or Avail -
    • *1
    A/F (O2) Sensor Heater Monitor Result A/F (O2) sensor heater monitor Compl or Incmpl -
    • *1
    A/F (O2) Sensor Monitor A/F (O2) sensor monitor Not Avl or Avail -
    • *1
    A/F (O2) Sensor Monitor Result A/F (O2) sensor monitor Compl or Incmpl -
    • *1
    Secondary Air Injection System Monitor Secondary air injection system monitor Not Avl or Avail -
    • *1
    Secondary Air Injection System Monitor Result Secondary air injection system monitor Compl or Incmpl -
    • *1
    EVAP Monitor EVAP monitor Not Avl or Avail -
    • *1
    EVAP Monitor Result EVAP monitor Compl or Incmpl -
    • *1
    Heated Catalyst Monitor Heated catalyst monitor Not Avl or Avail -
    • *1
    Heated Catalyst Monitor Result Heated catalyst monitor Compl or Incmpl -
    • *1
    Catalyst Monitor Catalyst monitor Not Avl or Avail -
    • *1
    Catalyst Monitor Result Catalyst monitor Compl or Incmpl -
    • *1
    Component Monitor ENA (Current) Comprehensive component monitor Unable or Enable -
    • *2
    Component Monitor Result (Current) Comprehensive component monitor Compl or Incmpl -
    • *2
    Ignition Monitor (Current) Ignition monitor Spark Ignition or Compression Ignition - -
    Fuel System Monitor ENA (Current) Fuel system monitor Unable or Enable -
    • *2
    Fuel System Monitor Result (Current) Fuel system monitor Compl or Incmpl -
    • *2
    Misfire Monitor ENA (Current) Misfire monitor Unable or Enable -
    • *2
    Misfire Monitor Result (Current) Misfire monitor Compl or Incmpl -
    • *2
    EGR/VVT Monitor ENA (Current) EGR/VVT monitor Unable or Enable -
    • *2
    EGR/VVT Monitor Result (Current) EGR/VVT monitor Compl or Incmpl -
    • *2
    O2 Sensor Heater ENA (Current) A/F (O2) sensor heater monitor Unable or Enable -
    • *2
    O2 Sensor Heater Monitor Result (Current) A/F (O2) sensor heater monitor Compl or Incmpl -
    • *2
    A/F (O2) Sensor Monitor ENA (Current) A/F (O2) sensor monitor Unable or Enable -
    • *2
    A/F (O2) Sensor Monitor Result (Current) A/F (O2) sensor monitor Compl or Incmpl -
    • *2
    Secondary Air Injection System Monitor ENA (Current) Secondary air injection system monitor Unable or Enable -
    • *2
    Secondary Air Injection System Monitor Result (Current) Secondary air injection system monitor Compl or Incmpl -
    • *2
    EVAP Monitor ENA (Current) EVAP monitor Unable or Enable -
    • *2
    EVAP Monitor Result (Current) EVAP monitor Compl or Incmpl -
    • *2
    Heated Catalyst Monitor ENA (Current) Heated catalyst monitor Unable or Enable -
    • *2
    Heated Catalyst Monitor Result (Current) Heated catalyst monitor Compl or Incmpl -
    • *2
    Catalyst Monitor ENA (Current) Catalyst monitor Unable or Enable -
    • *2
    Catalyst Monitor Result (Current) Catalyst monitor Compl or Incmpl -
    • *2

    *1:

    Avail: The monitor is available on this vehicle.

    Not Avl: The monitor is not available on this vehicle.

    Incmpl / Compl: The item changes from Incmpl to Compl if the monitor was completed at least once at some time in the past. This item does not change when the ignition switch is turned off. However, the item changes back to Incmpl when DTCs are cleared or cable is disconnected from the negative (-) battery terminal.

    Monitor result (mode 06): The last judgment result is output. This is not cleared when the ignition switch is turned off, but is cleared when DTCs are cleared.

    *2:

    Enable: The monitor is available on the vehicle.

    Unable: The monitor is not available on the vehicle.

    Incmpl / Compl: The item changes from Incmpl to Compl if the monitor was completed during the current trip. The item changes back to Incmpl when the ignition switch is turned off.

    Monitor result (mode 06): The last judgment result is output. This is not cleared when the ignition switch is turned off, but is cleared when DTCs are cleared. Therefore, only when DTCs are cleared at the beginning of a trip does the system monitor (Test Result [Monitor Status]) and monitor result (mode 06) match.

  19. Various Vehicle Conditions 4 (All Data) 

    Powertrain > Engine > Data List 

    Tester Display Measurement Item Range Normal Condition Diagnostic Note
    TC Terminal TC terminal status ON or OFF - Active Test item [Activate the TC Terminal] support data.
    MIL MIL status ON or OFF OFF -
    MIL ON Run Distance Distance driven with MIL on Min.: 0 km (0 mile), Max.: 65535 km (40723 mile) - This is the distance driven since the MIL was illuminated.
    Running Time from MIL ON Running time from MIL on Min.: 0 min, Max.: 65535 min Running time after MIL turned on -
    Time after DTC Cleared Time after DTCs cleared Min.: 0 min, Max.: 65535 min Time after DTCs cleared This is the time elapsed after DTCs were cleared (or after the vehicle left the factory). Time elapsed after the ignition switch is turned off is not counted.
    Distance from DTC Cleared Distance driven after DTCs cleared Min.: 0 km (0 mile), Max.: 65535 km (40723 mile) Distance driven after DTCs cleared This is the distance driven since DTCs were cleared (or since the vehicle left the factory).
    Warmup Cycle Cleared DTC Warmup cycles after DTCs cleared Min.: 0, Max.: 255 - This is the number of warmup cycles after the DTCs were cleared.
    Distance Traveled from Last Battery Cable Disconnect Distance driven after battery cable disconnected Min.: 0 km (0 mile), Max.: 65535 km (40723 mile) Total distance vehicle driven after battery cable disconnected -
    IG OFF Elapsed Time Time after ignition switch off Min.: 0 min, Max.: 655350 min Cumulative time after ignition switch off -
    Soak IC Current Timer Value Length of most recent soak timer operation Min.: 0 sec, Max.: 614390.625 sec - This item displays the length of time the soak timer operated from when the ignition switch was last turned off until it was turned to ON.
    Soak IC First Start Time Length of initial soak timer operation 0 to 2550 min or Unknown - -
    Soak Timer Start History History of soak timer operation Unknown, ON or OFF ON: History of soak timer operation exists If the soak timer has not operated in the past, OFF will be displayed.
    OBD Requirements OBD requirement - OBD II (California ARB) -
    Number of Emission DTC Emissions-related DTCs Min.: 0, Max.: 127 - This is the number of emissions-related DTCs stored.
  20. Misfire (Gas Misfire) 

    Powertrain > Engine > Data List 

    Tester Display Measurement Item Range Normal Condition Diagnostic Note
    Ignition Trigger Count Ignition counter Min.: 0, Max.: 65535 0 to 400
    • This is the cumulative number of ignitions.
    • This counter is increased by one for each ignition (this stops when misfire monitoring stops). This value is cleared every 200 revolutions.
    • The misfire rate for each cylinder is calculated by dividing the misfire count for each cylinder by the value of this item.
    • The misfire rate for each cylinder = Misfire Count Cylinder #1 to #4 / Ignition Trigger Count
    HINT: 
    • For 4-cylinder engines, the values range from 0 to 400.
    • For 6-cylinder engines, the values range from 0 to 600.
    • For 8-cylinder engines, the values range from 0 to 800.
    Misfire Count Cylinder #1 Misfire count of No. 1 cylinder Min.: 0, Max.: 255 0
    • This is the misfire count for No. 1 cylinder.
    • This counter is increased by one for each misfire and is cleared every 200 revolutions.
    • Check this item to help determine the malfunctioning cylinder.
    Misfire Count Cylinder #2 Misfire count of No. 2 cylinder Min.: 0, Max.: 255 0
    • This is the misfire count for No. 2 cylinder.
    • This counter is increased by one for each misfire and is cleared every 200 revolutions.
    • Check this item to help determine the malfunctioning cylinder.
    Misfire Count Cylinder #3 Misfire count of No. 3 cylinder Min.: 0, Max.: 255 0
    • This is the misfire count for No. 3 cylinder.
    • This counter is increased by one for each misfire and is cleared every 200 revolutions.
    • Check this item to help determine the malfunctioning cylinder.
    Misfire Count Cylinder #4 Misfire count of No. 4 cylinder Min.: 0, Max.: 255 0
    • This is the misfire count for No. 4 cylinder.
    • This counter is increased by one for each misfire and is cleared every 200 revolutions.
    • Check this item to help determine the malfunctioning cylinder.
    All Cylinders Misfire Count Misfire count of all cylinders Min.: 0, Max.: 255 0
    • This is the total misfire count of all cylinders.
    • This counter is increased by one for each misfire, has a maximum value of 255 and is cleared every 1000 revolutions.
    Misfire RPM Engine speed for first misfire range Min.: 0 rpm, Max.: 6375 rpm 0 rpm: 0 misfires
    • This is the average engine speed recorded when misfiring occurs.
    • The value of this item is closer to the actual conditions of the vehicle at the time misfire occurred than the values of Engine Speed and Calculate Load stored in the Freeze Frame Data. When reproducing malfunction conditions, use this value as a reference.
    Misfire Load Engine load for first misfire range Min.: 0%, Max.: 510% 0%: 0 misfires
    • This is the average engine load recorded when misfiring occurs.
    • The value of this item is closer to the actual conditions of the vehicle at the time misfire occurred than the values of Engine Speed and Calculate Load stored in the Freeze Frame Data. When reproducing malfunction conditions, use this value as a reference.
    Misfire Margin Misfire monitoring Min.: -128%, Max.: 127% 0 to 127%: Idling with warm engine
    • This is the misfire detection margin.
    • Misfire Margin = (Misfire detection threshold - maximum engine speed variation) / misfire detection threshold x 100%
    • When the variation in the engine speed is large and exceeds the misfire detection threshold, the misfire count starts. This item is a measure of how much the engine speed variation can increase with respect to the threshold before the engine is determined to be misfiring.
    • A large value means there is a large margin for the engine speed to vary before the engine is determined to be misfiring.
    • Example:

      When the engine is determined to be misfiring, Misfire Margin = -128 to 0%.

    Catalyst OT Misfire Fuel Cut Fuel cut to prevent catalyst from overheating during misfire Not Avl or Avail Avail
    • When a high frequency of misfires is concentrated in a certain cylinder, this function stops fuel injection for that cylinder.
    • For vehicles which support this function, stop this fuel cut using the Active Test and confirm the misfire counts to determine the malfunctioning cylinder.
    • Avail: "Fuel cut to prevent catalyst from overheating during misfire" available
    • Not Avl: "Fuel cut to prevent catalyst from overheating during misfire" not available
    Catalyst OT Misfire Fuel Cut History History of fuel cut to prevent catalyst from overheating during misfire ON or OFF OFF This can be used to tell whether there was a large amount of misfires occurred at a certain cylinder.
    Catalyst OT Misfire Fuel Cut Cylinder #1 Fuel cut operation of No. 1 cylinder (if certain level of misfire malfunction is detected) ON or OFF OFF -
    Catalyst OT Misfire Fuel Cut Cylinder #2 Fuel cut operation of No. 2 cylinder (if certain level of misfire malfunction is detected) ON or OFF OFF -
    Catalyst OT Misfire Fuel Cut Cylinder #3 Fuel cut operation of No. 3 cylinder (if certain level of misfire malfunction is detected) ON or OFF OFF -
    Catalyst OT Misfire Fuel Cut Cylinder #4 Fuel cut operation of No. 4 cylinder (if certain level of misfire malfunction is detected) ON or OFF OFF -
  21. Various Vehicle Conditions 5 (All Data) 

    Powertrain > Engine > Data List 

    Tester Display Measurement Item Range Normal Condition Diagnostic Note
    Engine Speed (Starter Off) Engine speed when starter off Min.: 0 rpm, Max.: 51199 rpm - This is the engine speed immediately after the engine is started.
    Starter Count Number of times starter turned on after ignition switch turned to ON Min.: 0, Max.: 255 -
    • Indicates the number of times starter turned ON in the current driving cycle.
    • Number of times starter turned ON before engine started displayed in the 1 position.
    • Number of times starter turned ON after engine started displayed in the 10 position.
    Example:If "21" is displayed on the Techstream, the starter was turned ON 1 time before engine start and turned ON 2 times after engine start. (The maximum value for each counter is 9 times before engine start and 11 times after engine start)
    Run Distance of Previous Trip Distance driven during previous trip Min.: 0 km (0 mile), Max.: 655.35 km (407.23 mile) - -
    Engine Starting Time Time elapsed before engine starts (after starter turns on until engine speed reaches 400 rpm) Min.: 0 ms, Max.: 655350 ms -
    • This is the time elapsed from when the starter turns on until the engine speed reaches 400 rpm.
    • This value is cleared 5 seconds after the engine is started and 0 ms will be displayed.
    Engine Start Hesitation History of hesitation during engine start ON or OFF - This item changes to ON when the engine speed does not reach 500 rpm during cranking.
    Low Revolution for Engine Start History of low engine speed after engine start ON or OFF - This item changes to ON when the engine speed drops to 200 rpm or less within approximately 2 seconds of starting the engine.
    Fuel Cut Elapsed Time Time elapsed after engine runs at high speed Min.: 0 sec, Max.: 68746 sec - This item shows the time elapsed since fuel cut occurred due to the engine speed dropping from a high speed (more than the engine speed at which fuel cut occurs + 500 rpm).
    Previous Trip Coolant Temp Engine coolant temperature during previous trip Min.: -40°C (-40°F), Max.: 215°C (419°F) - -
    Previous Trip Intake Temp Intake air temperature during previous trip Min.: -40°C (-40°F), Max.: 215°C (419°F) - -
    Engine Oil Temperature Estimated engine oil temperature Min.: -40°C (-40°F), Max.: 215°C (419°F) - -
    Previous Trip Eng Oil Temp Engine oil temperature during previous trip Min.: -40°C (-40°F), Max.: 215°C (419°F) - -
    Ambient Temp for A/C Ambient temperature for A/C Min.: -40°C (-40°F), Max.: 215°C (419°F) - -
    Previous Trip Ambient Temp Ambient temperature during previous trip Min.: -40°C (-40°F), Max.: 215°C (419°F) - -
  22. Rough Idle (Gas Rough Idle) 

    Powertrain > Engine > Data List 

    Tester Display Measurement Item Range Normal Condition Diagnostic Note
    Compression Leakage Count Compression leakage count Min.: 0, Max.: 255 0 When the counter displays 5 or higher during an engine stall, startability malfunction or rough idle, it may be the result of pressure loss caused by deposits jamming the valve, etc.
    Rough Idle Status Rough idle status Normal, Misfire, Continuous poor combustion, Intermittent poor combustion, Low frequency poor combustion Normal The following list of statuses indicates the degree and frequency of rough idling from highest to lowest.
    Use this as a reference when trying to reproduce the rough idling.
    1. Misfire
    2. Continuous poor combustion
    3. Intermittent poor combustion
    4. Low frequency poor combustion
    Plural Cylinders Rough Idle Status of multiple cylinders rough idle ON or OFF OFF Indicates multiple cylinders are the cause of rough idling when ON.
    Rough Idle Cylinder #1 Status of the rough idle #1 ON or OFF OFF
    • Indicates speed has dropped compared to other cylinders and idling is rough for the indicated cylinder when ON.
    • This item indicates cylinders which are likely to be the cause of rough idle.
    Rough Idle Cylinder #2 Status of the rough idle #2 ON or OFF OFF Same as Rough Idle Cylinder #1.
    Rough Idle Cylinder #3 Status of the rough idle #3 ON or OFF OFF Same as Rough Idle Cylinder #1.
    Rough Idle Cylinder #4 Status of the rough idle #4 ON or OFF OFF Same as Rough Idle Cylinder #1.
  23. Various Vehicle Conditions 6 (All Data) 

    Powertrain > Engine > Data List 

    Tester Display Measurement Item Range Normal Condition Diagnostic Note
    Engine ECU Internal Temperature ECM internal temperature Min.: -40°C (-40°F), Max.: 215°C (419°F) - -
    Total Distance Indicated after Long Term Leaving with IG OFF (1st) Cumulative distance before 1st long term ignition switch off period of time (1440 hours (60 days)) Min.: 0 km, Max: 131070 km - -
    Total Distance Indicated after Long Term Leaving with IG OFF (2nd) Cumulative distance before 2nd long term ignition switch off period of time (1440 hours (60 days)) Min.: 0 km, Max: 131070 km - -
    Total Distance Indicated after Long Term Leaving with IG OFF (3rd) Cumulative distance before 3rd long term ignition switch off period of time (1440 hours (60 days)) Min.: 0 km, Max: 131070 km - -
    Time of Long Term Leaving with IG OFF (1st) Number of days of 1st long term ignition switch off period of time (1440 hours (60 days)) Min.: 0 day, Max.: 255 day - -
    Time of Long Term Leaving with IG OFF (2nd) Number of days of 2nd long term ignition switch off period of time (1440 hours (60 days)) Min.: 0 day, Max.: 255 day - -
    Time of Long Term Leaving with IG OFF (3rd) Number of days of 3rd long term ignition switch off period of time (1440 hours (60 days)) Min.: 0 day, Max.: 255 day - -
    IG ON Time Up to 1 trip before Time ignition switch was ON 1 trip before Min.: 0 min, Max.: 510 min - -
    IG ON Time Up to 2 trip before Time ignition switch was ON 2 trip before Min.: 0 min, Max.: 510 min - -
    IG ON Time Up to 3 trip before Time ignition switch was ON 3 trip before Min.: 0 min, Max.: 510 min - -
    IG ON Time Up to 4 trip before Time ignition switch was ON 4 trip before Min.: 0 min, Max.: 510 min - -
    IG ON Time Up to 5 trip before Time ignition switch was ON 5 trip before Min.: 0 min, Max.: 510 min - -
    Auxiliary Battery Average Current during IG OFF 1 Trip before Average battery current when ignition switch off 1 trip before Min.: -32.768 A, Max: 32.767 A - -
    Auxiliary Battery Average Current during IG OFF 2 Trip before Average battery current when ignition switch off 2 trip before Min.: -32.768 A, Max: 32.767 A - -
    Auxiliary Battery Average Current during IG OFF 3 Trip before Average battery current when ignition switch off 3 trip before Min.: -32.768 A, Max: 32.767 A - -
    Auxiliary Battery Average Current during IG OFF 4 Trip before Average battery current when ignition switch off 4 trip before Min.: -32.768 A, Max: 32.767 A - -
    Auxiliary Battery Average Current during IG OFF 5 Trip before Average battery current when ignition switch off 5 trip before Min.: -32.768 A, Max: 32.767 A - -
    Engine Run Time before 1 trip Total time ignition switch was turned on during previous trip (1) Min.: 0 min, Max.: 510 min - -
    Engine Run Time before 2 trip Total time ignition switch was turned on during previous trips (2) Min.: 0 min, Max.: 510 min - -
    Engine Run Time before 3 trip Total time ignition switch was turned on during previous trips (3) Min.: 0 min, Max.: 510 min - -
    Engine Run Time before 4 trip Total time ignition switch was turned on during previous trips (4) Min.: 0 min, Max.: 510 min - -
    Engine Run Time before 5 trip Total time ignition switch was turned on during previous trips (5) Min.: 0 min, Max.: 510 min - -
    Total Distance Up to 1 Trip before Cumulative distance traveled 1 trip before Min.: 0 km, Max: 131070 km - -
    Total Distance Up to 2 Trip before Cumulative distance traveled 2 trip before Min.: 0 km, Max: 131070 km - -
    Total Distance Up to 3 Trip before Cumulative distance traveled 3 trip before Min.: 0 km, Max: 131070 km - -
    Total Distance Up to 4 Trip before Cumulative distance traveled 4 trip before Min.: 0 km, Max: 131070 km - -
    Total Distance Up to 5 Trip before Cumulative distance traveled 5 trip before Min.: 0 km, Max: 131070 km - -
    Battery Current Battery current Min.: -125 A, Max.: 124.9 A Changes according to alternator output (While driving after engine warmed up) If the result is not as specified, a malfunction of the LIN communication line is suspected.
    Battery Temperature Battery temperature Min.: -40°C (-40°F), Max.: 6513.5°C (11756°F) Changes according to actual temperature (While driving after engine warmed up) If the result is not as specified, a malfunction of the LIN communication line is suspected.
    Alternator Output Duty Ratio Generator output duty ratio Min.: 0%, Max.: 399.9% - -
    Alternator Voltage - Non Active Test Request voltage when regulator not under forced activation Min.: 0 V, Max.: 79.998 V Battery electrolyte temperature varies (12.3 to 15.3 V) while driving: After engine start -
    Voltage of Alternator Alternator voltage Min.: 0 V, Max.: 79.99 V - -
    Auxiliary Battery Charging Integrated Current Cumulative battery charging integrated current value since vehicle was built Min.: 0 Ah, Max.: 429496729.5 Ah - -
    Auxiliary Battery Discharging Integrated Current Cumulative battery discharging integrated current value since vehicle was built Min.: 0 Ah, Max.: 429496729.5 Ah - -
    Auxiliary Battery Integrated Thermal Load Cumulative battery discharging integrated current value since vehicle was built Min.: 0, Max.: 4294967295 - -
    Auxiliary Battery Capacity after IG ON Battery level just after IG ON Min.: -128 Ah, Max.: 127 Ah - -
    Auxiliary Battery Capacity after IG OFF Battery level just after IG OFF Min.: -128 Ah, Max.: 127 Ah - -
    Integrated Engine Run Time Cumulative time ignition switch has been on since vehicle was built Min.: 0 hour, Max.: 65535 hour - -
    Number of Long Term Leaving with IG OFF Number of times ignition switch not changed from off for long period of time (1440 hours (60 days)) Min.: 0, Max.: 255 - -
    Previous Trip Alternator Max Output Time Accumulated time of maximum power generation by alternator during previous trip Min.: 0 sec, Max.: 65535 sec - -
    Initial Engine Battery Minimum Voltage Minimum battery voltage at engine start Min.: 0 V, Max.: 25.5 V - -
    Previous Trip Charge Control Time Previous trip charge control time Min.: 0 sec, Max.: 65535 sec - -
    Previous Trip Average Battery Temperature Previous trip Average battery temperature Min.: -40°C (-40°F), Max.: 215°C (419°F) - -
    Battery Charging Rate Accuracy Battery charging rate accuracy Low/Middle/High/Disable - -
    Battery Status of Full Charge Battery status of full charge Min.: 0 Ah, Max.: 127.5 Ah - -
    Battery Dark Current Battery dark current Min.: 0 mA, Max.: 65535 mA - -
    Battery Sensor Sleep Time Battery sensor sleep time Min.: 0 hour, Max.: 255 hour - -
    IG OFF Time before 1 trip Number of days ignition switch was off 1 trip before Min.: 0 day, Max.: 255 day - -
    IG OFF Time before 2 trip Number of days ignition switch was off 2 trip before Min.: 0 day, Max.: 255 day - -
    IG OFF Time before 3 trip Number of days ignition switch was off 3 trip before Min.: 0 day, Max.: 255 day - -
    IG OFF Time before 4 trip Number of days ignition switch was off 4 trip before Min.: 0 day, Max.: 255 day - -
    IG OFF Time before 5 trip Number of days ignition switch was off 5 trip before Min.: 0 day, Max.: 255 day - -
    ACM Inhibit Vacuum switching valve (for active control engine mount system) operation status ON or OFF ON: Vacuum switching valve (for active control engine mount system) ON -
    Cooling Fan Duty Ratio Electric cooling fan request duty ratio Min.: 0%, Max.: 127.5% - Active Test item [Control the Engine Cooling Fan Duty Ratio] support data.
    Electric Water Pump Electric water pump speed status Min.: 0 rpm, Max.: 10200 rpm - Active Test item [Activate the Electric Water Pump] support data.
    Coolant Water Route Switching Valve Flow shutting valve (for heater control) operation signal state Open or Close Close: Cold engine start -
    Coolant Water Route Switching Valve 2 Flow shutting valve (for ATF control) operation signal state Open or Close Close: Cold engine start -
    Electric Thermostat Duty Ratio Electric thermostat control duty ratio Min.: 0%, Max.: 100% - -
    Brake Override System Brake override system status ON or OFF ON: Brake override system operating -
    Immobilizer Fuel Cut Status Status of immobilizer fuel cut ON or OFF OFF -
    Immobilizer Fuel Cut History Immobilizer fuel cut history ON or OFF OFF -
    Fuel Cut Condition Fuel cut condition ON or OFF ON: Fuel cut operating -
    Idle Fuel Cut Idle fuel cut condition ON or OFF ON: Fuel cut operating -
    TAU Fuel Cut Low load fuel cut condition ON or OFF ON: Fuel cut operating -
    Key Unlock Signal Key unlock signal ON or OFF - -
  24. Compression (Compression) 

    Powertrain > Engine > Data List 

    Tester Display Measurement Item Range Normal Condition Diagnostic Note
    Engine Speed Cylinder #1 Engine speed for No. 1 cylinder Min.: 0 rpm, Max.: 51199 rpm -
    • Values for this item are only displayed when the Active Test "Check the Cylinder Compression" is performed. (51199 rpm is displayed when the Active Test is not being performed.)
    • This is the engine speed of No. 1 cylinder measured during fuel-cut with the engine cranking.
    • When there is compression loss, the engine speed of the malfunctioning cylinder increases.
    HINT: When multiple cylinders have compression loss, the engine speeds for multiple cylinders increase and it is not possible to determine which cylinders have compression loss. At this time, it is necessary to actually perform a compression measurement.
    Engine Speed Cylinder #2 Engine speed for No. 2 cylinder Min.: 0 rpm, Max.: 51199 rpm -
    • Values for this item are only displayed when the Active Test "Check the Cylinder Compression" is performed. (51199 rpm is displayed when the Active Test is not being performed.)
    • This is the engine speed of No. 2 cylinder measured during fuel-cut with the engine cranking.
    • When there is compression loss, the engine speed of the malfunctioning cylinder increases.
    HINT: When multiple cylinders have compression loss, the engine speeds for multiple cylinders increase and it is not possible to determine which cylinders have compression loss. At this time, it is necessary to actually perform a compression measurement.
    Engine Speed Cylinder #3 Engine speed for No. 3 cylinder Min.: 0 rpm, Max.: 51199 rpm -
    • Values for this item are only displayed when the Active Test "Check the Cylinder Compression" is performed. (51199 rpm is displayed when the Active Test is not being performed.)
    • This is the engine speed of No. 3 cylinder measured during fuel-cut with the engine cranking.
    • When there is compression loss, the engine speed of the malfunctioning cylinder increases.
    HINT: When multiple cylinders have compression loss, the engine speeds for multiple cylinders increase and it is not possible to determine which cylinders have compression loss. At this time, it is necessary to actually perform a compression measurement.
    Engine Speed Cylinder #4 Engine speed for No. 4 cylinder Min.: 0 rpm, Max.: 51199 rpm -
    • Values for this item are only displayed when the Active Test "Check the Cylinder Compression" is performed. (51199 rpm is displayed when the Active Test is not being performed.)
    • This is the engine speed of No. 4 cylinder measured during fuel-cut with the engine cranking.
    • When there is compression loss, the engine speed of the malfunctioning cylinder increases.
    HINT: When multiple cylinders have compression loss, the engine speeds for multiple cylinders increase and it is not possible to determine which cylinders have compression loss. At this time, it is necessary to actually perform a compression measurement.
    Average Engine Speed of All Cylinder Average engine speed for all cylinders Min.: 0 rpm, Max.: 51199 rpm - Values for this item are only displayed when the Active Test "Check the Cylinder Compression" is performed. (51199 rpm is displayed when the Active Test is not being performed.)
  25. Air Fuel Ratio Cylinder Imbalance (Gas AF O2 Sensor) 

    Powertrain > Engine > Data List 

    Tester Display Measurement Item Range Normal Condition Diagnostic Note
    A/F Sensor Determination (Worst Value) Bank 1 Worst judgment value of air fuel ratio sensor (sensor 1) output Min.: 0, Max.: 2.55 0.00
    • The worst value detected during monitoring is displayed.
    • The value is reset when DTCs are cleared.
    Engine Speed Fluctuation Average (Worst Value) Cylinder #1 Worst value of average engine speed fluctuation (cylinder 1) Min.: 0, Max.: 2.55 0.00
    • The worst value detected during monitoring is displayed.
    • The value is reset when DTCs are cleared.
    Engine Speed Fluctuation Average (Worst Value) Cylinder #2 Worst value of average engine speed fluctuation (cylinder 2) Min.: 0, Max.: 2.55 0.00
    • The worst value detected during monitoring is displayed.
    • The value is reset when DTCs are cleared.
    Engine Speed Fluctuation Average (Worst Value) Cylinder #3 Worst value of average engine speed fluctuation (cylinder 3) Min.: 0, Max.: 2.55 0.00
    • The worst value detected during monitoring is displayed.
    • The value is reset when DTCs are cleared.
    Engine Speed Fluctuation Average (Worst Value) Cylinder #4 Worst value of average engine speed fluctuation (cylinder 4) Min.: 0, Max.: 2.55 0.00
    • The worst value detected during monitoring is displayed.
    • The value is reset when DTCs are cleared.
    A/F Sensor Determination (Worst Value) (Port) Bank 1 Worst judgment value of air fuel ratio sensor (sensor 1) output (port injection) Min.: 0, Max.: 2.55 0.00
    • The worst value detected during monitoring is displayed.
    • The value is reset when DTCs are cleared.
    Engine Speed Fluctuation Average (Worst Value) (Port) Cylinder #1 Worst value of average engine speed fluctuation (cylinder 1, port injection) Min.: 0, Max.: 2.55 0.00
    • The worst value detected during monitoring is displayed.
    • The value is reset when DTCs are cleared.
    Engine Speed Fluctuation Average (Worst Value) (Port) Cylinder #2 Worst value of average engine speed fluctuation (cylinder 2, port injection) Min.: 0, Max.: 2.55 0.00
    • The worst value detected during monitoring is displayed.
    • The value is reset when DTCs are cleared.
    Engine Speed Fluctuation Average (Worst Value) (Port) Cylinder #3 Worst value of average engine speed fluctuation (cylinder 3, port injection) Min.: 0, Max.: 2.55 0.00
    • The worst value detected during monitoring is displayed.
    • The value is reset when DTCs are cleared.
    Engine Speed Fluctuation Average (Worst Value) (Port) Cylinder #4 Worst value of average engine speed fluctuation (cylinder 4, port injection) Min.: 0, Max.: 2.55 0.00
    • The worst value detected during monitoring is displayed.
    • The value is reset when DTCs are cleared.
  26. Various Vehicle Conditions 7 (All Data) 

    Powertrain > Engine > Data List 

    Tester Display Measurement Item Range Normal Condition Diagnostic Note
    Received MIL from ECT MIL status from ECT ON or OFF - -
    Output Axis Speed Output shaft speed Min.: 0 rpm, Max.: 12750 rpm - -
    NT Sensor Speed Input turbine speed Min.: 0 rpm, Max.: 12750 rpm - -
    Shift SW Status (P Range) Park/neutral position switch status ON or OFF
    • ON: Shift lever in P
    • OFF: Shift lever not in P
    -
    Shift SW Status (R Range) Park/neutral position switch status ON or OFF
    • ON: Shift lever in R
    • OFF: Shift lever not in R
    -
    Shift SW Status (N Range) Park/neutral position switch status ON or OFF
    • ON: Shift lever in N
    • OFF: Shift lever not in N
    -
    Shift SW Status (N, P Range) Park/neutral position switch status ON or OFF
    • ON: Shift lever in N or P
    • OFF: Shift lever not in N or P
    -
    Shift SW Status (N, P Range) Supported Status of Park/neutral position switch supported Unsupp or Supp Supp -
    Sport Shift Up SW Sport shift up switch status ON or OFF
    • ON: Shift lever held in "+" (Up shift)
    • OFF: Shift lever not held in "+" (Up shift)
    -
    Sport Shift Down SW Sport shift down switch status ON or OFF
    • ON: Shift lever held in "-" (Down shift)
    • OFF: Shift lever not held in "-" (Down shift)
    -
    Shift SW Status (S Range) Transmission control switch status ON or OFF
    • ON: Shift lever in S
    • OFF: Shift lever not in S
    -
    Snow Mode SW Mode switch (snow) status ON or OFF - -
    Shift SW Status (D Range) Park/neutral position switch status ON or OFF
    • ON: Shift lever in D or S
    • OFF: Shift lever not in D or S
    -
    A/T Oil Temperature No. 1 ATF temperature sensor value Min.: -40°C (-40°F), Max.: 150°C (302°F)
    • Approximately 80°C (176°F): After stall speed test
    • Equal to ambient temperature: When engine is cold
    -
    Drive Mode Status Drive mode status Normal - -
    Mode Cancel SW Mode switch (cancel) status ON or OFF - -
    Power Mode SW Mode switch (sport) status ON or OFF - -
    Lock Up Status Lock up ON or OFF
    • ON: Lock-up operating
    • OFF: Lock-up not operating
    -
    Shift Status ECM gear shift command 1st, 2nd, 3rd, 4th, 5th, 6th, 7th or 8th Same as actual gear -
    Off-road Guidance Status Off road mode status Normal, Grass & Snow, Mud & Sand, Loose Rock, Mogul or Rock & Dirt - -
    Snow or 2nd Start Mode Status Snow mode status ON or OFF - -
    Actual Engine Percent Torque Actual engine percent torque Min.: -125%, Max.: 130% - -
    Engine Reference Torque (Fixed Value) Engine reference torque Min.: 0 Nm, Max.: 65535 Nm - -
    Engine Friction Percent Torque Engine friction percent torque Min.: -125%, Max.: 130% - -
  27. Electric Water Pump (All Data) 

    Powertrain > Engine > Data List 

    Tester Display Measurement Item Range Normal Condition Diagnostic Note
    Electric Water Pump Target Speed Engine water pump assembly target speed Min.: 0 rpm, Max.: 6375 rpm - Target motor speed of the engine water pump assembly.
    Electric Water Pump Speed Engine water pump assembly speed Min.: 0 rpm, Max.: 6375 rpm The Electric Water Pump Speed is the same as the Electric Water Pump Target Speed.
    HINT: 
    • If the Electric Water Pump Speed only temporarily exceeds the Electric Water Pump Target Speed, it is not a malfunction.
    • If the Electric Water Pump Speed is half of the Electric Water Pump Target Speed or less for 15 seconds or more, the engine water pump assembly may be malfunctioning.
    • The engine water pump assembly speed is displayed.
    • As the frequency signal (WPI) is 4 Hz when the engine water pump assembly is stopped to enable the ECM to detect an open or short in the signal line, the engine water pump assembly speed will be displayed as approximately 160 rpm even when the pump is stopped.
    • When there is an open or short in the signal line, approximately 0 rpm is displayed.
  28. Various Vehicle Conditions 8 (All Data) 

    Powertrain > Engine > Data List 

    Tester Display Measurement Item Range Normal Condition Diagnostic Note
    Stop and Start System Engine Status Stop and start system engine status IG, Run, Stopreq, Stop, Restart - -
    Battery Type Battery Type Specified or Other - -
    Fuel Remaining Volume Fuel level in fuel tank Min.: 0%, Max.: 100% 100%: Fuel tank is full -
    Body Control with Torque Demand Body control with torque demand status ON or OFF Under the body control with torque demand: ON -
  29. ACTIVE TEST 

    HINT: 

    • Using the Techstream to perform Active Tests allows relays, VSVs, actuators and other items to be operated without removing any parts. This non-intrusive functional inspection can be very useful because intermittent operation may be discovered before parts or wiring is disturbed. Performing Active Tests early in troubleshooting is one way to save diagnostic time. Data List information can be displayed while performing Active Tests.
    • As DTCs may be stored when an Active Test or learning is performed, make sure to clear the DTCs before returning the vehicle to the customer.
    1. Warm up the engine.
    2. Turn the ignition switch off.
    3. Connect the Techstream to the DLC3.
    4. Turn the ignition switch to ON.
    5. Turn the Techstream on.
    6. Enter the following menus: Powertrain / Engine / Active Test.
    7. According to the display on the Techstream, perform the Active Test.

      Powertrain > Engine > Active Test 

      Tester Display Measurement Item Control Range Diagnostic Note
      Control the Injection Volume Control the injection volume Between -12.5% and 24.8%
      • All fuel injector assemblies are tested at the same time.
      • Injection volume can be changed in fine gradations within the control range.
      • This Active Test enables the checking and graphing of the air fuel ratio sensor (sensor 1 and sensor 2) current outputs.
      • To perform this Active Test, enter the following menus: Powertrain / Engine / Active Test / Control the Injection Volume / Data List / A/F (O2) Sensor Current B1S1 and A/F (O2) Sensor Current B1S2.
      • During the Active Test, air fuel ratio feedback control and feedback learning are stopped.
      Control the Injection Volume for A/F Sensor Change injection volume -12.5%/0%/12.5%
      • All fuel injector assemblies are tested at the same time.
      • This Active Test enables the checking and graphing of the air fuel ratio sensor (sensor 1 and sensor 2) current outputs.
      • To perform this Active Test, enter the following menus: Powertrain / Engine / Active Test / Control the Injection Volume / Data List / A/F (O2) Sensor Current B1S1 and A/F (O2) Sensor Current B1S2.
      • During the Active Test, air fuel ratio feedback control and feedback learning are stopped.
      • See waveform *4.
      Activate the EVAP Purge VSV Activate purge VSV control ON/OFF
      • The purge VSV is opened with approximately 50% duty ratio.
      • See waveform *5.
      Activate the Circuit Relay Activate fuel pump (for low pressure side) ON/OFF Perform this test when the following conditions are met:
      • Ignition switch is ON.
      • Engine is stopped.
      • Shift lever in P.
      Control the Fuel Pump Duty Ratio Change the fuel pump speed (for low pressure side) Low/High Perform this test when the following conditions are met:
      • Ignition switch is ON.
      • Engine is stopped.
      • Shift lever in P.
      Fuel Pump Single Phase Energization Energizes a single phase of fuel pump control ECU U Phase/V Phase/W Phase Perform this test when the following conditions are met:
      • Ignition switch is ON.
      • Shift lever in P.
      Activate the ACM Inhibit Activate vacuum switching valve (for active control engine mount system) ON/OFF Perform this test when the following conditions are met:
      • Ignition switch is ON.
      • Shift lever in P.
      Activate the TC Terminal Turn on and off TC and TE1 (CG) connection ON/OFF
      • Confirm that the vehicle is stopped.
      • ON: TC and TE1 (CG) are connected.
      • OFF: TC and TE1 (CG) are disconnected.
      Prohibit the Idle Fuel Cut Prohibit idling fuel cut control Start/Stop Perform this test when the following conditions are met:
      • Ignition switch is ON.
      • Shift lever in P.
      Prohibit the Catalyst OT Misfire Prevent Fuel Cut Prohibit catalyst overheat protection fuel cut Start/Stop
      Start: Fuel cut prohibited
      Perform this test when the engine speed is 3000 rpm or less.
      Control the ETCS Open/Close Slow Speed Throttle actuator
      • Close/Open
      • Start/Stop
      Open: Throttle valve opens slowly
      Perform this test when the following conditions are met:
      • Ignition switch is ON.
      • Engine is stopped.
      • Accelerator pedal is fully depressed (accelerator pedal position: 58 degrees or more).
      • Shift lever in P.
      Control the ETCS Open/Close Fast Speed Throttle actuator
      • Close/Open
      • Start/Stop
      Open: Throttle valve opens quickly
      • Same as above.
      • See waveform *6.
      Control the Exhaust VVT OCV Duty Ratio Bank 1 Control cam timing oil control solenoid assembly -100 to 100% (This value added to present cam timing oil control solenoid control duty)
      100%: Maximum retard
      -100%: Maximum advance
      • Engine stalls or idles roughly when the cam timing oil control solenoid assembly is set to 100%.
      • Perform this test when the following conditions are met:
        • Engine is running.
        • Shift lever in P.
      • DTCs related to the VVT system may be stored due to Active Test operation, but this does not indicate a malfunction.
      Control the VVT-iE Opening Angle Bank 1 Control cam timing control motor with EDU assembly 0 to 65 deg
      • Perform this test when the following conditions are met:
        • Ignition switch is ON.
        • Engine running (warmed up).
        • Shift lever in P.
      • DTCs related to the VVT system may be stored due to Active Test operation, but this does not indicate a malfunction.
      • See waveform *7
      Control the EGR Step Position Control EGR valve assembly From 0 to 110 step
      • The EGR valve is fully closed at step position 0, and fully open at step position 110.
      • The amount of EGR gas flowing into the intake manifold varies in accordance with the EGR valve opening angle.
      • Perform this test when the following conditions are met:
        • Engine is running.
        • Shift lever in P.
      • Do not leave the EGR valve open for 10 seconds or more while performing the Active Test.
      • Be sure to return the EGR valve to step 0 when the Active Test is completed.
      • Do not open the EGR valve 30 steps or more while performing the Active Test.
      • See waveform *8.
      Activate the Vacuum Pump Activate leak detection pump (built into canister pump module) ON/OFF *1
      Activate the VSV for Vent Valve Activate vent valve (built into canister pump module) ON/OFF *1
      Control the Target Fuel Pressure Offset Control the target fuel pressure (for high pressure side) -12.5 to 24.8% Perform this test when the following conditions are met:
      • Engine is running.
      • Engine speed is 3000 rpm or less.
      Control the Voltage of Alternator Control the alternator 12.5 to 14.8 V Confirm that the vehicle is stopped.
      Control the Injection Mode Perform 2 pattern in order to operate fuel injection
      • Port/Direct
      • Start/Stop
      Perform this test when the following conditions are met:
      • Vehicle stopped and engine idling.
      • Data List item "Injection Switching Status" is "OK".
      Control the Select Cylinder Fuel Cut Selected cylinder (cylinder #1 to #4) injector fuel cut
      • #1/#2/#3/#4
      • Start/Stop
      Perform this test when the following conditions are met:
      • Vehicle is stopped.
      • Engine is idling.
      • Shift lever in P.

      *2
      Control the All Cylinders Fuel Cut Fuel cut for all cylinders Start/Stop Perform this test when the following conditions are met:
      • Vehicle is stopped.
      • Engine is idling.
      • Shift lever in P.
      Check the Cylinder Compression Check the cylinder compression pressure Start/Stop Fuel injection and ignition stop of all cylinders.
      *3
      Activate the Engine Oil Pressure Control Valve Control the engine oil pressure control valve assembly 0 to 4999.92 mA
      • Perform this test when the following conditions are met:
        • Ignition switch is ON.
        • Engine is stopped.
        • Shift lever in P.
      • As the maximum operating current of the oil pressure control valve is 1000 mA, it is necessary to operate the oil pressure control valve within this range. (If the Active Test request value exceeds 1000 mA, the Active Test will be prohibited.)
      D-4S (Fuel Cut) Perform 2 pattern in order to operate fuel cut
      • Port/Direct
      • #1/#2/#3/#4
      • Start/Stop
      Perform this test when the following conditions are met:
      • Vehicle stopped and engine idling.
      • Data List item "Injection Switching Status" is "OK".
      D-4S (Injection Volume) Perform 2 pattern in order to operate injection volume
      • Port/Direct
      • -12.5 to 24.8%
      Perform this test when the following conditions are met:
      • Vehicle stopped and engine idling.
      • Data List item "Injection Switching Status" is "OK".
      D-4S (A/F Control) Perform 2 pattern in order to operate air fuel ratio control
      • Port/Direct
      • -12.5% or 25%
      Perform this test when the following conditions are met:
      • Vehicle stopped and engine idling.
      • Data List item "Injection Switching Status" is "OK".
      Control the Engine Cooling Fan Duty Ratio Control the cooling fan 0 to 100% Perform this test when vehicle is stopped.
      Activate the Electric Water Pump Engine water pump assembly speed control 0 rpm/3000 rpm Perform this test when engine coolant temperature less than 100°C (212°F).
      Activate the Coolant Water Route Switching Valve Operate flow shutting valve (for heater control) Close/Open Perform this test when engine coolant temperature less than 100°C (212°F).
      Activate the Coolant Water Route Switching Valve 2 Operate flow shutting valve (for ATF control) Close/Open Perform this test when engine coolant temperature less than 100°C (212°F).
      Control the Electric Thermostat Duty Ratio Control the electric thermostat duty ratio 0 to 100% Perform this test when engine coolant temperature less than 90°C (194°F).

      *1: Refer to EVAP System.

      Refer to EVAP System [11/2018 - 08/2020]

      NOTE:

      *2: 

      • If the display of the Data List item "Catalyst OT Misfire Fuel Cut" item is Not Avl, perform this Active Test with the vehicle stopped and the engine idling.
      • If the display of the Data List item "Catalyst OT Misfire Fuel Cut" item is Avail, perform this Active Test as described below.
        1. Clear the DTCs.
        2. Turn the ignition switch to ON.
        3. Enter the Control the Select Cylinder Fuel Cut.
        4. Select the cylinder for fuel cut (No. 1 to No. 4 cylinder) and turn the Active Test ON.
        5. Start the engine.

      HINT: 

      *3:

      While performing this Active Test, the fuel injection and ignition of all cylinders is cut. The engine must then be cranked for approximately 10 seconds. At this time, the speed of each cylinder is measured. If the speed of one cylinder is more than the other cylinders, it can be determined that the compression pressure of that cylinder is lower than the other cylinders.

      1. Warm up the engine.
      2. Turn the ignition switch off.
      3. Connect the Techstream to the DLC3.
      4. Turn the ignition switch to ON.
      5. Turn the Techstream on.
      6. Enter the following menus: Powertrain / Engine / Active Test / Check the Cylinder Compression.

        HINT: 

        To display the entire Data List, press the pull down menu button next to Primary. Then select Compression.

      7. Push the snapshot button to turn the snapshot function on.

        HINT: 

        Using the snapshot function, data can be recorded during the Active Test.

      8. While the engine is not running, press the button to change Check the Cylinder Compression to "Start".

        HINT: 

        After performing the above procedure, the Active Test will start. Fuel injection for all cylinders is prohibited and engine speed measurement enters standby mode.

      9. Crank the engine for about 10 seconds.

        HINT: 

        Continue to crank the engine until the values change from the default value (51199 rpm).

      10. Monitor the engine speed (Engine Speed Cylinder #1 to #4) displayed on the Techstream.
        NOTE:
        • In order to protect the starter assembly, do not crank the engine continuously for 20 seconds or more.
        • If it is necessary to crank the engine again after Check the Cylinder Compression has been changed to "Start" and the engine has been cranked once, press Exit to return to the Active Test menu screen. Then change Check the Cylinder Compression to "Start" and crank the engine.
        • Make sure the battery is fully charged before performing this Active Test.

        HINT: 

        • At first, the Techstream will display extremely high cylinder engine speed values. After approximately 10 seconds of engine cranking, the engine speed measurement of each cylinder will change to the actual engine speed.
        • If the cylinder engine speed values (Engine Speed Cylinder #1 to #4) displayed in the Data List do not change from an extremely high value, return to the Active Test menu screen, change "Check the Cylinder Compression" to "Start" and crank the engine again within 1 second.
      11. Stop cranking the engine, and then change "Check the Cylinder Compression" to "Stop" after the engine stops.
        NOTE:
        • If the Active Test is changed to "Stop" while the engine is being cranked, the engine will start.
        • After performing the Active Test, make sure to check and clear DTCs.
      12. Push the snapshot button to turn the snapshot function off.
      13. Select "Stored Data" on the Techstream screen, select the recorded data and display the data as a graph.

        HINT: 

        If the data is not displayed as a graph, the change of the values cannot be observed.

      14. Check the change in engine speed values.

        HINT: 

        As the data values of the Active Test return to their default values when cranking is stopped, the engine speed value of each cylinder cannot be observed. Therefore, it is necessary to use the data recorded with the snapshot function to check the engine speed values recorded during cranking.

    Reference Waveforms for Active Test 

    • *4: Control the Injection Volume for A/F Sensor (Idling after warming up, port injection control)
      Fig 1: Waveform 4
      GTY744027Courtesy of © TOYOTA, LICENSE AGREEMENT TMS1002
      Techstream Display Measurement Item/Operation Normal Condition
      Control the Injection Volume for A/F Sensor - ←A ←B
      Active Test operation -12.5% 12.5%
      A/F (O2) Sensor Current B1S1 0.14 mA -0.40 mA
      A/F (O2) Sensor Current B1S2 1.41 mA -6.81 mA

      HINT: 

      • During the Active Test, air fuel ratio feedback control and feedback learning are stopped.
      • Usually, the value of A/F (O2) Sensor Current B1S1 drops below -0.075 mA when the control value for Control the Injection Volume for A/F Sensor is changed to 12.5%.
      • Usually, the value of A/F (O2) Sensor Current B1S1 changes to more than 0.037 mA when the control value for Control the Injection Volume for A/F Sensor is changed to -12.5%.
      • Usually, the value of A/F (O2) Sensor Current B1S2 drops below -0.86 mA when the control value for Control the Injection Volume for A/F Sensor is changed to 12.5%.
      • Usually, the value of A/F (O2) Sensor Current B1S2 changes to more than 0.33 mA when the control value for Control the Injection Volume for A/F Sensor is changed to -12.5%.
      • The air fuel ratio sensor (sensor 1) has an output delay of a few seconds and the air fuel ratio sensor (sensor 2) has a maximum output delay of approximately 20 seconds.
      • If the sensor output value does not change (almost no reaction) while performing the Active Test, the sensor may be malfunctioning.
    • *5: Activate the EVAP Purge VSV (Idling after warming up, port injection control)
      Fig 2: Waveform 5
      GTY750317Courtesy of © TOYOTA, LICENSE AGREEMENT TMS1002
      Techstream Display Measurement Item/Operation Normal Condition
      Activate the EVAP Purge VSV - ←A ←B
      Active Test operation ON OFF
      EVAP (Purge) VSV 49.8% 0.0%
      Injector Cylinder #1 (Port) 2133 μs 3232 μs
      A/F (O2) Sensor Current B1S1 0.01 mA 0.01 mA

      HINT: 

      • Even when the Active Test is performed (the purge VSV is opened approximately 50%), the ECM performs air fuel ratio feedback to maintain the air fuel ratio at the stoichiometric ratio. Therefore, by observing the change in the Data List item "Injector Cylinder #1 (Port)", it is possible to determine whether the purge VSV is actually open.
      • The graphs and values above are for reference only because the fuel injection volume (compensation volume) varies depending on the HC density of the purge air from the canister.
    • *6: Control the ETCS Open/Close Fast Speed [Active Test for electrical throttle control system] (Ignition switch ON, Accelerator pedal fully depressed)
      Fig 3: Waveform 6
      GTY743358Courtesy of © TOYOTA, LICENSE AGREEMENT TMS1002

      HINT: 

      If any DTCs related to the Electronic Throttle Control System (ETCS) are stored, this Active Test cannot be performed.

      Techstream Display Measurement Item/Operation Normal Condition
      Control the ETCS Open/Close Fast Speed - ←A ←B
      Active Test operation Open Close
      Throttle Position Sensor No. 1 Voltage 2.597 V 0.761 V
      Throttle Motor Duty Ratio (Open) 15.0% 0.0%
      Throttle Motor Duty Ratio (Close) 0.0% 15.0%
    • *7: Control the VVT-iE Opening Angle Bank 1 (Idling after warming up)
      Fig 4: Waveform 7
      GTY774535Courtesy of © TOYOTA, LICENSE AGREEMENT TMS1002
      Techstream Display Measurement Item/Operation Normal Condition
      Control the VVT-iE Opening Angle Bank 1 - ←A ←B
      Active Test operation 40 deg 0 deg
      Intake VVT Target Angle Bank 1 40 DegFR 0.0 DegFR
      Intake VVT Change Angle Bank 1 39.5 DegFR 0.0 DegFR
    • *8: Control the EGR Step Position (Idling after warming up)
      GTY610293Courtesy of © TOYOTA, LICENSE AGREEMENT TMS1002
      Techstream Display Measurement Item/Operation Normal Condition
      Control the EGR Step Position - ←A ←B ←C ←D
      EGR Step Position 0 step 10 step 20 step 30 step
      Intake Manifold Absolute Pressure 28 kPa (4.06 psi) 28 kPa (4.06 psi) 67 kPa (9.72 psi) 88 kPa (12.76 psi)
      NOTE:
      • Do not leave the EGR valve open for 10 seconds or more while performing Active Test.
      • Be sure to return the EGR valve to step 0 when the Active Test is completed.
      • Do not open the EGR valve 30 steps or more during the Active Test.

      HINT: 

      • When the value of Control the EGR Step Position is "0 step", the value of Intake Manifold Absolute Pressure should be between 20 and 40 kPa (2.9 to 5.8 psi).
      • When the EGR system is normal and the value of Control the EGR Step Position is changed from "0 step" to "30 step", the value of Intake Manifold Absolute Pressure will increase to a value at least 10 kPa (1.45 psi) higher than the value of Intake Manifold Absolute Pressure when the value of Control the EGR Step Position was "0 step".
  30. SYSTEM CHECK 
    1. EVAPORATIVE SYSTEM CHECK

      HINT: 

      Performing a System Check enables the system, which consists of multiple actuators, to be operated without removing any parts. In addition, it can show whether or not any DTCs are stored, and can detect potential malfunctions in the system. The System Check can be performed with the Techstream.

      1. Connect the Techstream to the DLC3.
      2. Turn the ignition switch to ON.
      3. Turn the Techstream on.
      4. Enter the following menus: Powertrain / Engine / Utility / Evaporative System Check.

        Powertrain > Engine > Utility 

        Tester Display
        Evaporative System Check
      5. Perform the System Check by referring to the table below.
        Techstream Display Test Part Condition Diagnostic Note
        Evaporative System Check
        (Automatic Mode)
        Perform 6 steps in order to operate EVAP key-off monitor automatically Fuel temperature is less than 35°C (95°F), etc.
        • If no pending DTCs are output after performing this test, the system is functioning normally.
        • Refer to EVAP System Inspection Procedure.

          Refer to EVAP System [11/2018 - 08/2020]

        Evaporative System Check
        (Manual Mode)
        Perform 6 steps in order to operate EVAP key-off monitor manually Fuel temperature is less than 35°C (95°F), etc.