LEMON Manuals: Even more car manuals for everyone: 1960-2025
Home >> Cadillac >> 1993 >> Allante >> Repair and Diagnosis (Single Page) >> Electrical >> Charging Systems >> Alternator & Regulator >> Trouble Shooting >> Generator Functional Check >> Notes On Fault Tree
April 5, 2026: LEMON Manuals is launched! Read the announcement.

Notes On Fault Tree

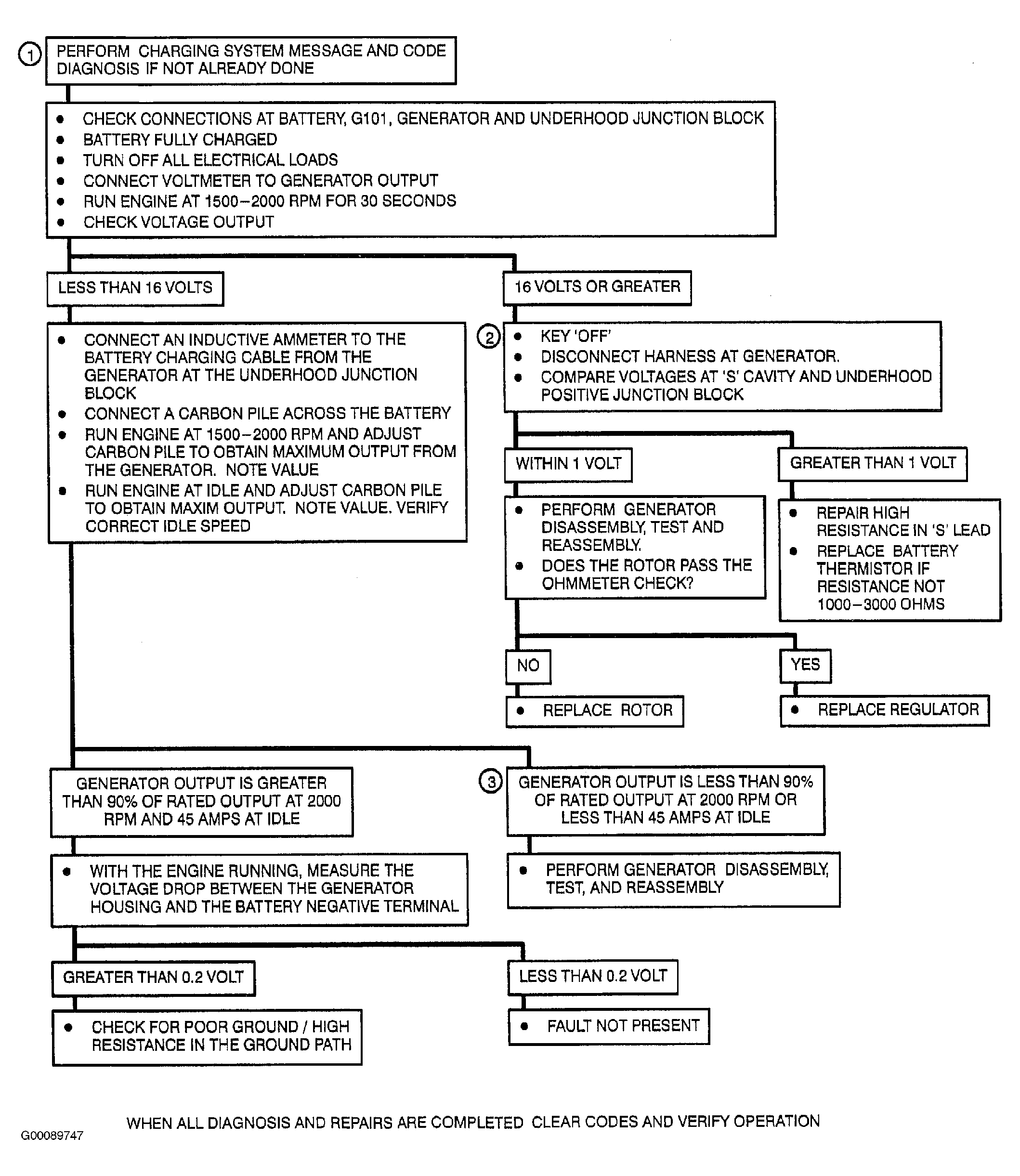
NOTE: Steps in this procedure correspond to circled numbers in flow chart. See Fig 2 .
  1. Always diagnose codes before performing functional check. This will test the PCM and BCM ability to detect generator faults and out of range voltage conditions.
  2. Over-voltage conditions may be caused by a defective regulator or regulator over-compensating due to incorrectly low value on voltage sense CKT 725 due to high resistance in wiring or battery temp sensor, low rotor resistance. Overcharging may be evidenced by a low electrolyte level in the battery.
  3. Insufficient amperage output may not set codes but result in marginal battery charging if driving habits involve short trips and prolonged idling, especially in warmer weather. Low output may be caused by:
    • Defective regulator.
    • Open or shorted diode.
    • Contamination of brushes.

    No output conditions may be caused by:

    • defective regulator
    • open or shorted rotor
    • stator damage
    • brush wear
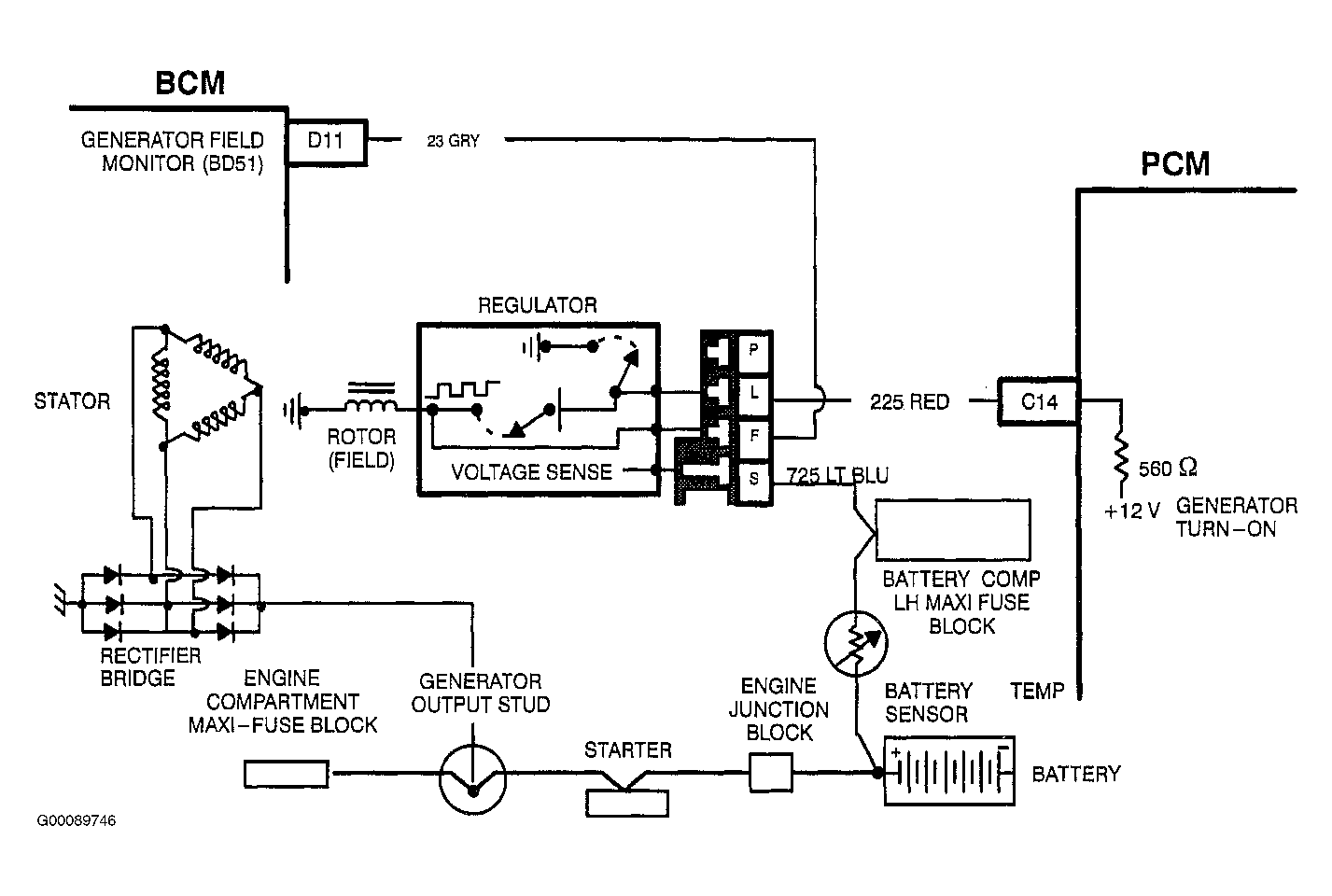
    For circuit identification and diagnosis, see Fig 1 and Fig 2 .

Fig 1: Generator Circuit Identification
G00089746Courtesy of GENERAL MOTORS CORP
Fig 2: Generator Functional Check Flow Chart
G00089747Courtesy of GENERAL MOTORS CORP.