LEMON Manuals: Even more car manuals for everyone: 1960-2025
Home >> Cadillac >> 1993 >> Allante >> Repair and Diagnosis >> Engine Performance >> System >> Engine Controls - Basic Diagnostic Procedures >> Fuel Systems >> Fuel Pressure Check >> Checking Fuel Pump Operation
April 5, 2026: LEMON Manuals is launched! Read the announcement.

Checking Fuel Pump Operation

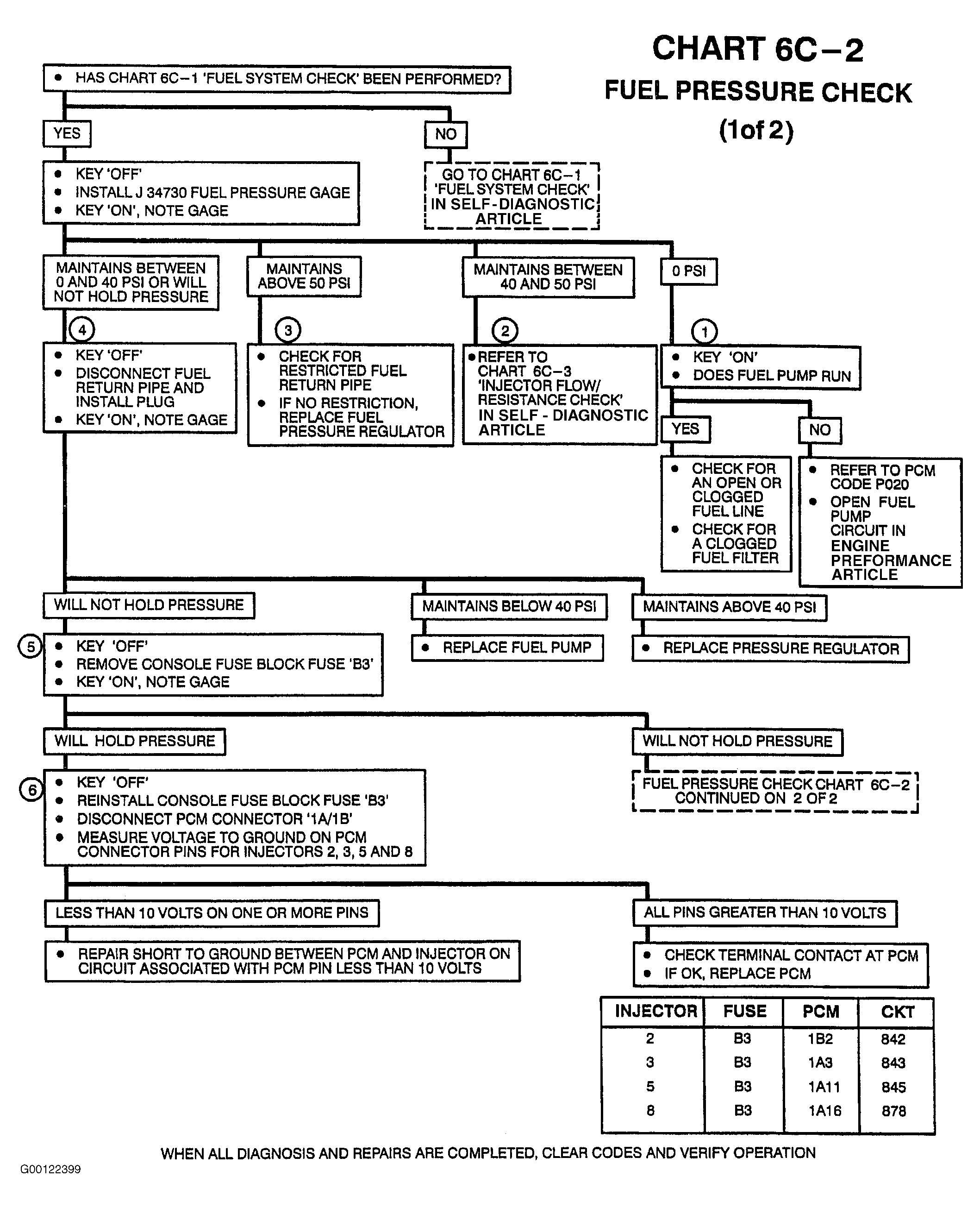
The Fuel Pressure Check determines if the fuel system is providing fuel pressure. The components involved include the fuel tank, sender, pump, pipes and hoses, pressure regulator, fuel rail, and injectors. Also checked are the electrical operation of the fuel pump relays. This chart requires J 34730-1 Fuel Pressure Gauge, or equivalent.

NOTE: The following step numbers refer to circled numbers on diagnostic chart. See Fig 1 and Fig 2 . For circuit identification, see Fig 3 .
  1. If fuel pump does not run at key on, diagnose as if a Code P020 is set to determine the cause. If fuel pump runs at key on check for on open or clogged fuel line or filter.
  2. If normal fuel pressure is present, then check for correct injector operation.
  3. If fuel pressure is too high, then the pressure regulator is not working properly, or cannot work due to a restriction in the fuel return back to the fuel tank.
  4. Fuel pressure leak down can be caused by a regulator, a fuel pump check ball, or a leaking injector. Low fuel pressure that does not leak down can be caused by a regulator or a low output pump.
  5. If fuel pressure holds with console fuse block fuse B3 removed, injector 2, 3, 5, or 8 must have been electrically energized causing the fuel pressure drop. See Fig 4 and Fig 5 .
  6. Checking if a short to ground on the low side of the injector or the PCM was keeping the injector energized.
  7. If fuel pressure holds with Console Fuse Block fuse B5 removed, injector 1, 4, 6 or 7 must have been electrically energized causing the fuel pressure drop.
  8. Checking if a short to ground on the low side of the injector or the PCM was keeping the injector energized.
  9. Checking for a physical cause of the pressure drop i.e. leaking injectors, leaking fuel rail to pressure regulator. If no leaks are found, the fuel pump check ball is not operating correctly. Replace fuel pump.
Fig 1: Chart 6C-2: Fuel Pressure Check Flow Chart (1 Of 2)
G00122399Courtesy of GENERAL MOTORS CORP.
Fig 2: Chart 6C-2: Fuel Pressure Check Flow Chart (2 Of 2)
G00122400Courtesy of GENERAL MOTORS CORP.
Fig 3: Chart 6C-2 Fuel Pressure Check Circuit Flow Chart
G00122398Courtesy of GENERAL MOTORS CORP.
Fig 4: Locating Console Fuse Block
G00090291Courtesy of GENERAL MOTORS CORP.
Fig 5: Identifying Console Fuse Block Fuses
G00097791Courtesy of GENERAL MOTORS CORP.