LEMON Manuals: Even more car manuals for everyone: 1960-2025
Home >> Infiniti >> 2009 >> G37 Base, 2D Convertible >> Repair and Diagnosis >> Restraints >> Restraints Control Systems >> Seat Belt Control System -- Convertible >> Basic Inspection >> Diagnosis And Repair Work Flow >> Work Flow
April 5, 2026: LEMON Manuals is launched! Read the announcement.

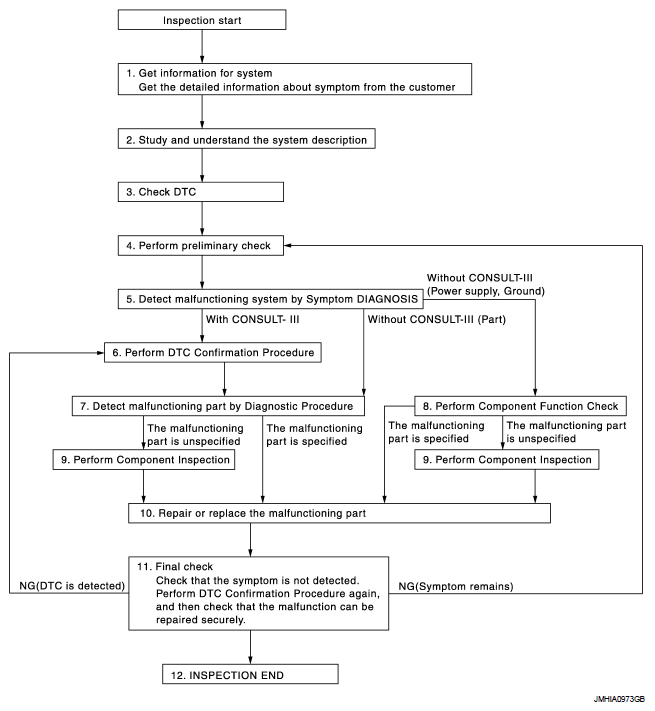
Work Flow

Fig 1: Work Flow Chart
G05973755Courtesy of NISSAN MOTOR CO., U.S.A.
  1. GET INFORMATION FOR SYSTEM

    Interview the customer to obtain the malfunction information (conditions and environment when the malfunction occurred) as much as possible when the customer brings the vehicles in.

    GO To 2.

  2. STUDY AND UNDERSTAND THE SYSTEM DESCRIPTION

    Understand the operation condition or non-operation condition of pre-crash seat belt. Refer to "SYSTEM DESCRIPTION ".

    GO To 3.

  3. CHECK DTC

    Perform "Self-diagnosis procedure" of appropriate DTC to check if DTC is detected again.

    At this time, always connect CONSULT-III to the vehicle, and then check the diagnosis results in real time on "DATA MONITOR (AUTO RECORD)".

    There is no priority for each DTC. Record them based on the following rules.

    Current malfunction: Record all DTCs detected.

    Past malfunction: Record up to 5 DTCs. When the 6th DTC is detected, it is overwritten to the last recorded DTC.

    Is DTC detected? 

    YES: GO To 4.

    NO: Follow the diagnosis simulation test to check. Refer to "INTERMITTENT INCIDENT ".

  4. PERFORM PRELIMINARY CHECK

    Perform preliminary check. Refer to "BOTH SIDES : DIAGNOSIS PROCEDURE ".

    GO To 5.

  5. DETECT MALFUNCTIONING SYSTEM BY SYMPTOM DIAGNOSIS

    Identify the malfunctioning system with "Malfunctioning system by symptom diagnosis". Refer to "BOTH SIDES : DIAGNOSIS PROCEDURE ".

    With CONSULT-III: GO To 6.

    Without CONSULT-III: GO To  7 (Parts system).

    Without CONSULT-III: GO To  8 (Power supply, ground system).

  6. PERFORM DTC CONFIRMATION PROCEDURE

    Perform the inspection with "DTC CONFIRMATION PROCEDURE" of the applicable system.

    GO To 7.

  7. DETECT MALFUNCTIONING PART BY DIAGNOSTIC PROCEDURE

    Identify the malfunctioning part with "Diagnosis Procedure".

    Are malfunctioning parts detected? 

    YES: GO To  10.

    NO: GO To  9.

  8. PERFORM COMPONENT FUNCTION CHECK

    Identify the malfunctioning part with "Component Function Check".

    Are malfunctioning parts detected? 

    YES: GO To  10.

    NO: GO To 9.

  9. PERFORM COMPONENT INSPECTION

    Perform the inspection with "Component Inspection".

    GO To 10.

  10. REPAIR OR REPLACE THE MALFUNCTIONING PART

    Repair or replace the specified malfunctioning parts.

    After repairing or replacing, reconnect parts or connector disconnected in "Diagnosis Procedure", and then erase DTC if necessary. Refer to "CONSULT-III FUNCTION ".

    GO To 11.

  11. FINAL CHECK

Perform "CONSULT-III function" again to check that the repair is performed correctly.

Check that malfunctions are not reproduced when obtaining the malfunction information from the customer, referring to the symptom inspection result in step 4.

Are all malfunctions corrected? 

YES:

NO: DTC is reproduced: GO To  6.