LEMON Manuals: Even more car manuals for everyone: 1960-2025
Home >> Infiniti >> 2011 >> G37 IPL, Standard >> Repair and Diagnosis >> External Pages >> Different variant/trim >> Section 30 (Security Control System -- G37 Convertible) >> Basic Inspection >> Diagnosis And Repair Work Flow >> Work Flow >> Overall Sequence
April 5, 2026: LEMON Manuals is launched! Read the announcement.

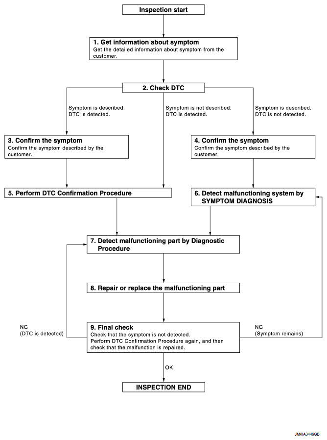
Overall Sequence

WARNING: This page is about a different variant/trim than selected.
Fig 1: Diagnosis And Repair Work Flow Chart
G07158621Courtesy of NISSAN MOTOR CO., U.S.A.