LEMON Manuals: Even more car manuals for everyone: 1960-2025
Home >> Infiniti >> 2012 >> M37 Base >> Repair and Diagnosis >> External Pages >> Different car >> Section 30 (Starting System) >> Basic Inspection >> Diagnosis And Repair Work Flow >> Work Flow (Without GR8-1200 NI) >> Overall Sequence
April 5, 2026: LEMON Manuals is launched! Read the announcement.

Overall Sequence

WARNING: This page is about a different car, the 2013 Nissan Xterra. However, it is still accessible from the selected car via links, so may be relevant.
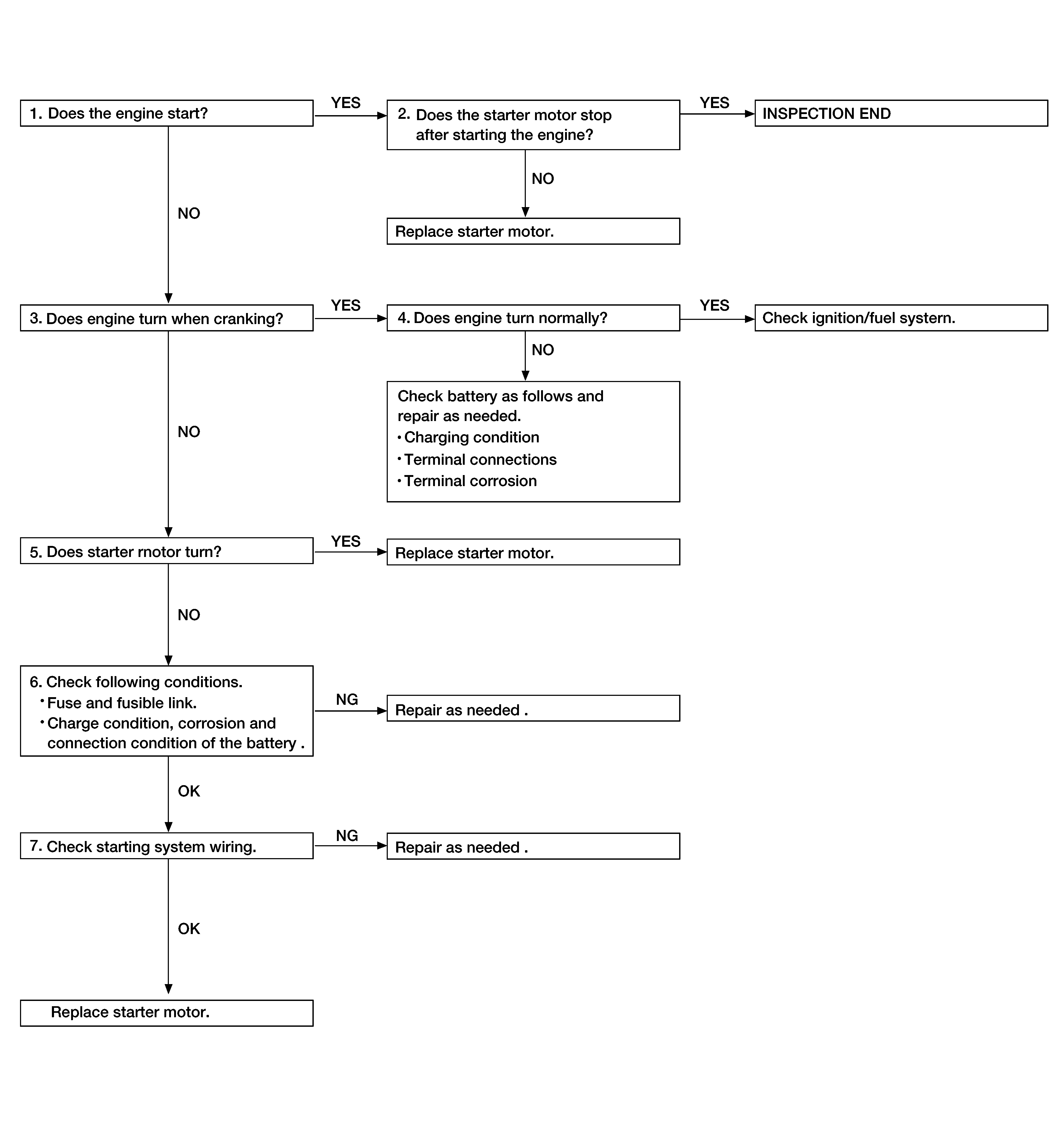
Fig 1: Identifying Diagnosis & Repair Work Flow Chart (Without GR8-1200 NI)
G08437751Courtesy of NISSAN NORTH AMERICA, INC.