LEMON Manuals: Even more car manuals for everyone: 1960-2025
Home >> Infiniti >> 2014 >> Q50 Base, AWD >> Repair and Diagnosis >> Steering >> Power Steering >> Steering Control System (Direct Adaptive Steering) (Except Hybrid) >> Ecu Diagnosis Information >> Steering Angle Main Control Module >> Steering Angle Main Control Module DTC Index
April 5, 2026: LEMON Manuals is launched! Read the announcement.

Steering Angle Main Control Module DTC Index

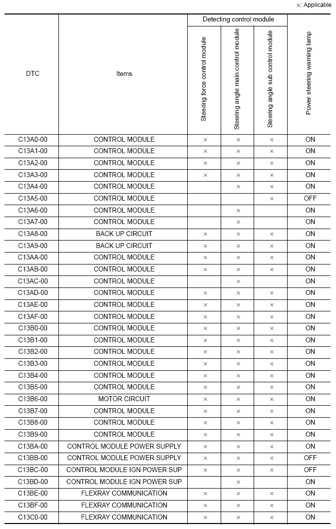
Fig 1: DTC Index Chart (1 Of 2)
G09159407Courtesy of NISSAN NORTH AMERICA, INC.
Fig 2: DTC Index Chart (2 Of 2)
G09159408Courtesy of NISSAN NORTH AMERICA, INC.
NOTE: If two or more DTCs are detected, refer to "DTC INSPECTION PRIORITY CHART ".