LEMON Manuals: Even more car manuals for everyone: 1960-2025
Home >> Lexus >> 2002 >> GS 430 >> Repair and Diagnosis >> Body & Frame >> Door Locks >> Remote Keyless Entry Systems >> Trouble Shooting >> Pre-Check
April 5, 2026: LEMON Manuals is launched! Read the announcement.

Trouble Shooting: Pre-Check

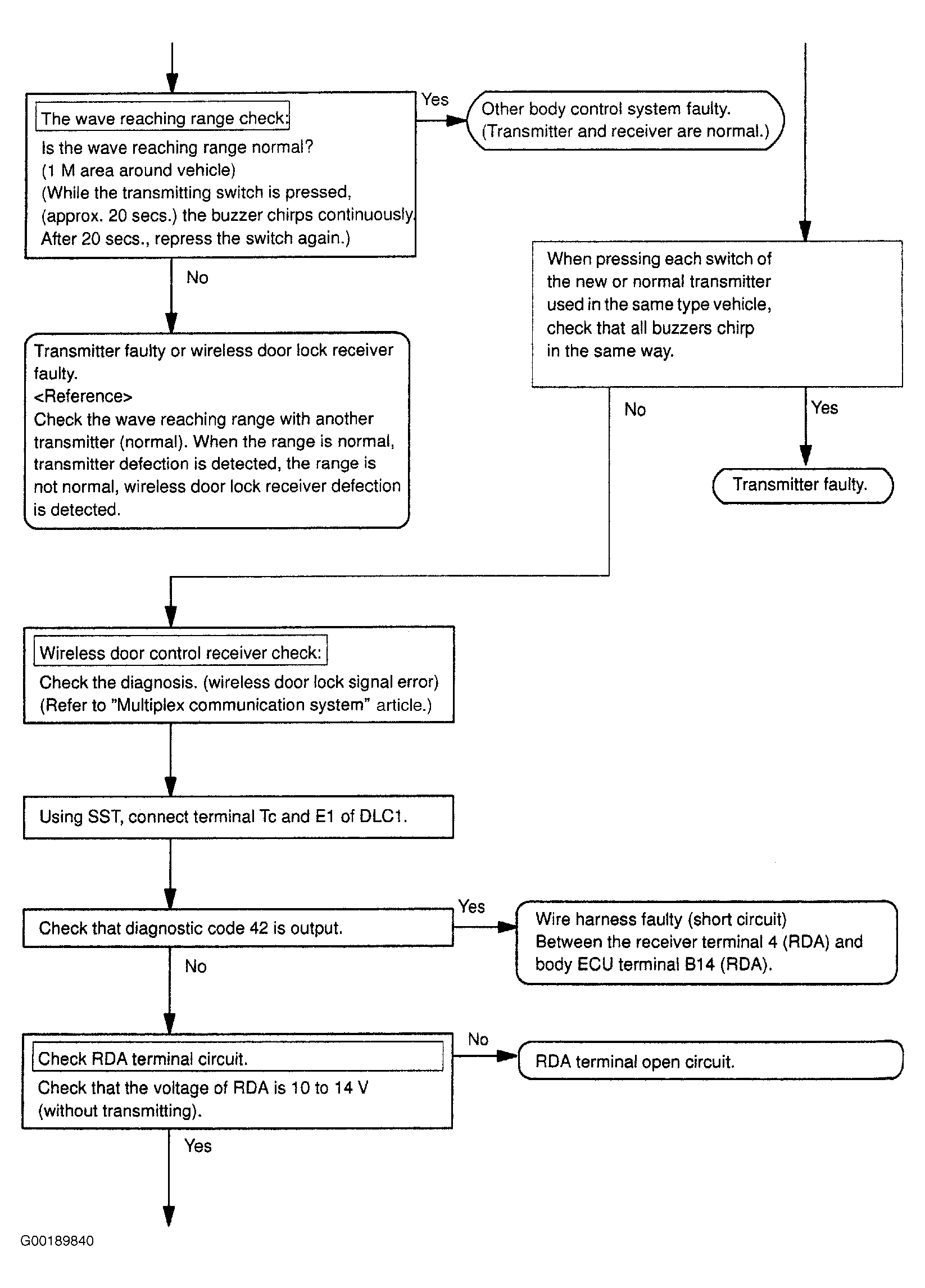
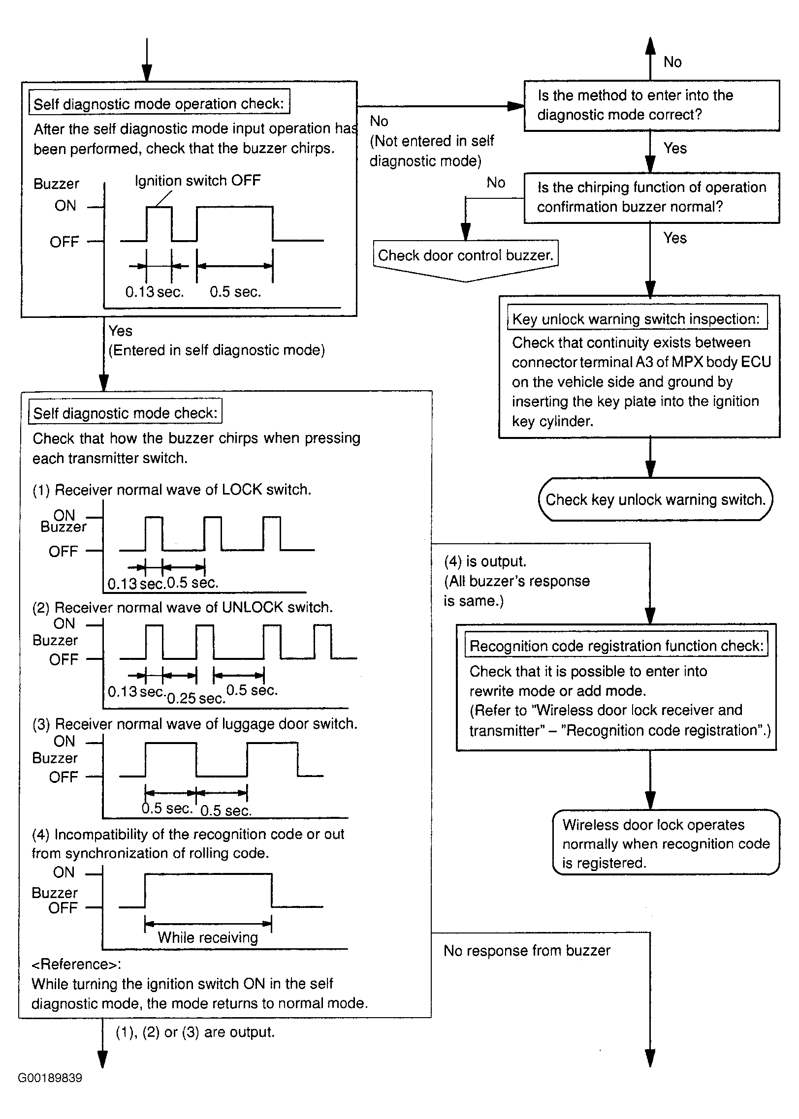
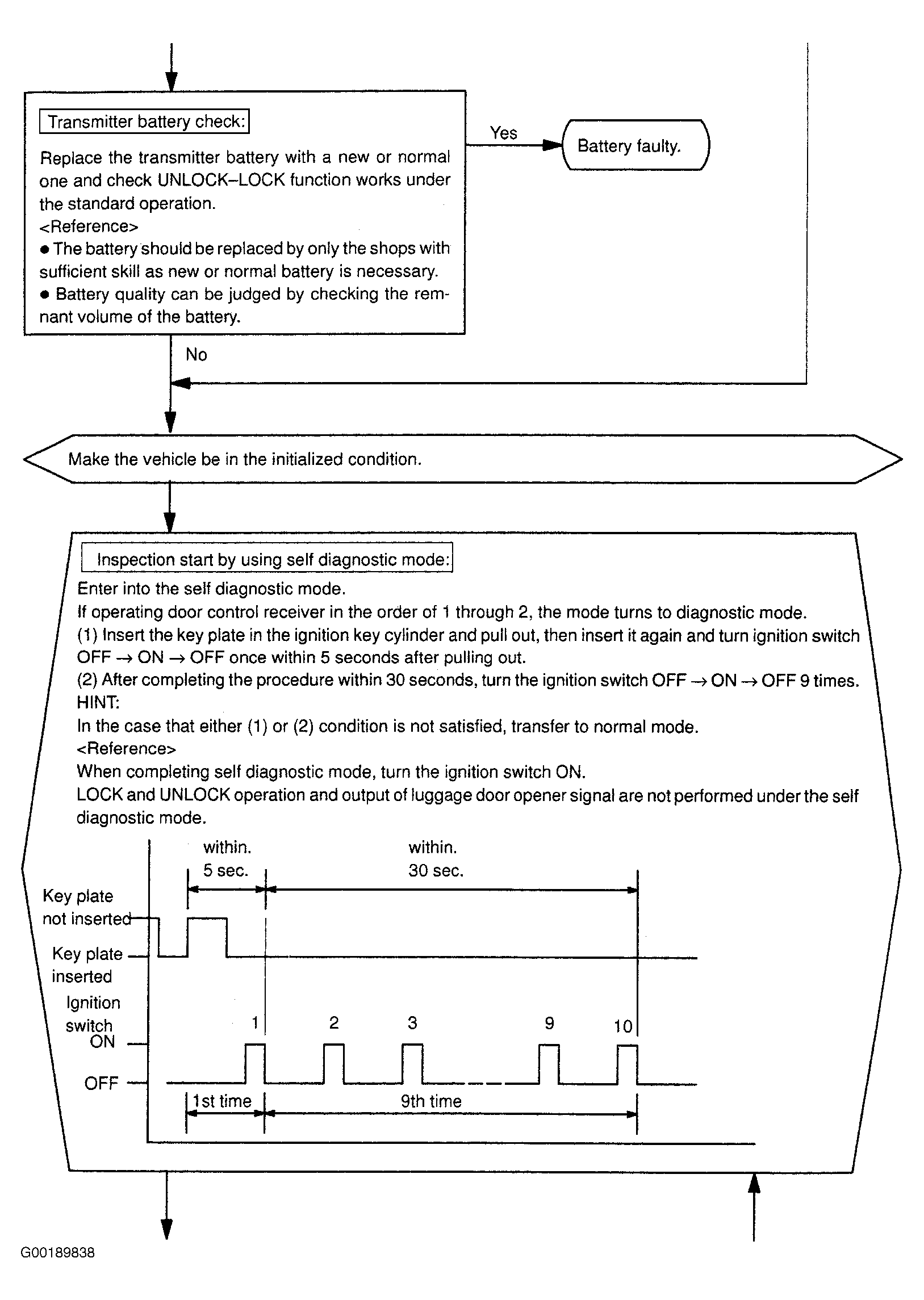
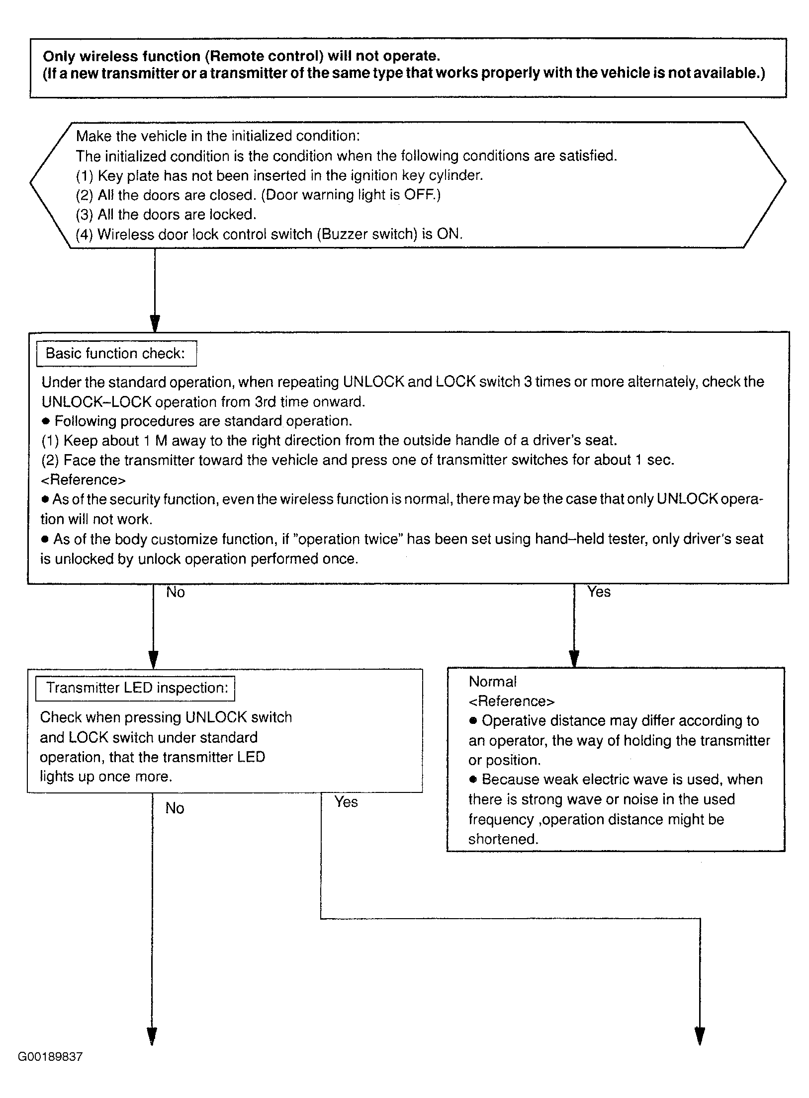
For pre-check, refer to the flowchart. See Fig 1-Fig 5 .

Fig 1: Identifying Wireless Function Pre-Check Flowchart (1 Of 5)
G00189837Courtesy of © TOYOTA, LICENSE AGREEMENT TMS1002
Fig 2: Identifying Wireless Function Pre-Check Flowchart (2 Of 5)
G00189838Courtesy of © TOYOTA, LICENSE AGREEMENT TMS1002
Fig 3: Identifying Wireless Function Pre-Check Flowchart (3 Of 5)
G00189839Courtesy of © TOYOTA, LICENSE AGREEMENT TMS1002
Fig 4: Identifying Wireless Function Pre-Check Flowchart (4 Of 5)
G00189840Courtesy of © TOYOTA, LICENSE AGREEMENT TMS1002
Fig 5: Identifying Wireless Function Pre-Check Flowchart (5 Of 5)
G00189841Courtesy of © TOYOTA, LICENSE AGREEMENT TMS1002