LEMON Manuals: Even more car manuals for everyone: 1960-2025
Home >> Lexus >> 2002 >> IS 300 Base, Standard >> Repair and Diagnosis >> Suspension >> Wheel Alignment >> Alignment Specifications & Procedures >> Rear Wheel Alignment >> Inspection
April 5, 2026: LEMON Manuals is launched! Read the announcement.

Rear Wheel Alignment: Inspection

  1. MEASURE VEHICLE HEIGHT (See  INSPECTION  ) 
  2. INSTALL CAMBER-CASTER-KINGPIN GAUGE OR POSITION VEHICLE ON WHEEL ALIGNMENT TESTER 

    Follow the specific instructions of the equipment manufacturer.

  3. INSPECT CAMBER 

    Camber (SEDAN): 

    Fig 1: Rear Camber Specification (Canada)
    G01181003Courtesy of © TOYOTA, LICENSE AGREEMENT TMS1002
    Fig 2: Rear Camber Specification (Except Canada)
    G01181004Courtesy of © TOYOTA, LICENSE AGREEMENT TMS1002

    Camber (WAGON): 

    Fig 3: Rear Camber Specification (Canada)
    G01181005Courtesy of © TOYOTA, LICENSE AGREEMENT TMS1002
    Fig 4: Rear Camber Specification (Except Canada)
    G01181006Courtesy of © TOYOTA, LICENSE AGREEMENT TMS1002

    If the camber is not within the specified valve, after the toe-in is inspected, see  5 to adjust.

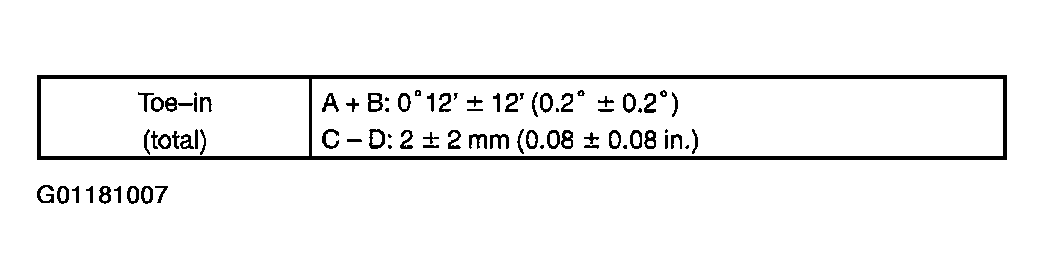
  4. INSPECT TOE-IN 

    Toe-in: 

    Fig 5: Rear Toe-In Specification
    G01181007Courtesy of © TOYOTA, LICENSE AGREEMENT TMS1002

    If the toe-in is not within the specified valve, after the camber is inspected, see  5 to adjust.

    Fig 6: Identifying Rear Toe-In Measurements
    G01181008Courtesy of © TOYOTA, LICENSE AGREEMENT TMS1002
  5. ADJUST CAMBER AND TOE-IN 
    1. Measure the lengths of the toe control link "A" and No. 2 lower suspension arm "B", as shown in the illustration.
    2. Obtain the difference between "A" and "B".
    3. Employ the same manner described above to the other side.
    4. Obtain the difference between right and left from the values obtained above.

      Right and left difference: 4.0 mm (0.157 in.) or less 

      Fig 7: Measuring Lengths Of Toe Control Link "A" And No. 2 Lower Suspension Arm "B"
      G01181009Courtesy of © TOYOTA, LICENSE AGREEMENT TMS1002

      If they are not within the specified value, adjust the lengths of them by turning the adjusting cam.

    5. Inspect the camber and toe-in.
    6. Adjust the camber.
      1. Loosen the camber adjusting cam nut of the No. 2 lower suspension arm.
      2. Turn the camber adjusting cam of the No. 2 lower suspension arm and adjust the camber.

        HINT:

        Camber will change about 5.0' (0.08°) with each graduation of the adjusting cam.

      3. Torque the camber adjusting cam nut.

        Torque: 110 N.m (1,120 kgf.cm, 81 ft.lbf) 

      Fig 8: Identifying Camber Adjusting Cam Of No. 2 Lower Suspension Arm
      G01181010Courtesy of © TOYOTA, LICENSE AGREEMENT TMS1002
    7. Adjust the toe-in.
      1. Loosen the camber adjusting cam nut of the toe control link.
      2. Turn the camber adjusting cam of the toe control link and adjust the toe-in.

        HINT:

        Toe-in will change about 4.0 mm (0.157 in.) with each graduation of the adjusting cam.

      3. Torque the camber adjusting cam nut.

        Torque: 49 N.m (500 kgf.cm, 36 ft.lbf) 

      Fig 9: Turning Camber Adjusting Cam Of Toe Control Link
      G01181011Courtesy of © TOYOTA, LICENSE AGREEMENT TMS1002