LEMON Manuals: Even more car manuals for everyone: 1960-2025
Home >> Lexus >> 2002 >> LX 470 >> Repair and Diagnosis >> Body & Frame >> Door Locks >> Remote Keyless Entry System >> Trouble Shooting >> Pre-Check
April 5, 2026: LEMON Manuals is launched! Read the announcement.

Trouble Shooting: Pre-Check

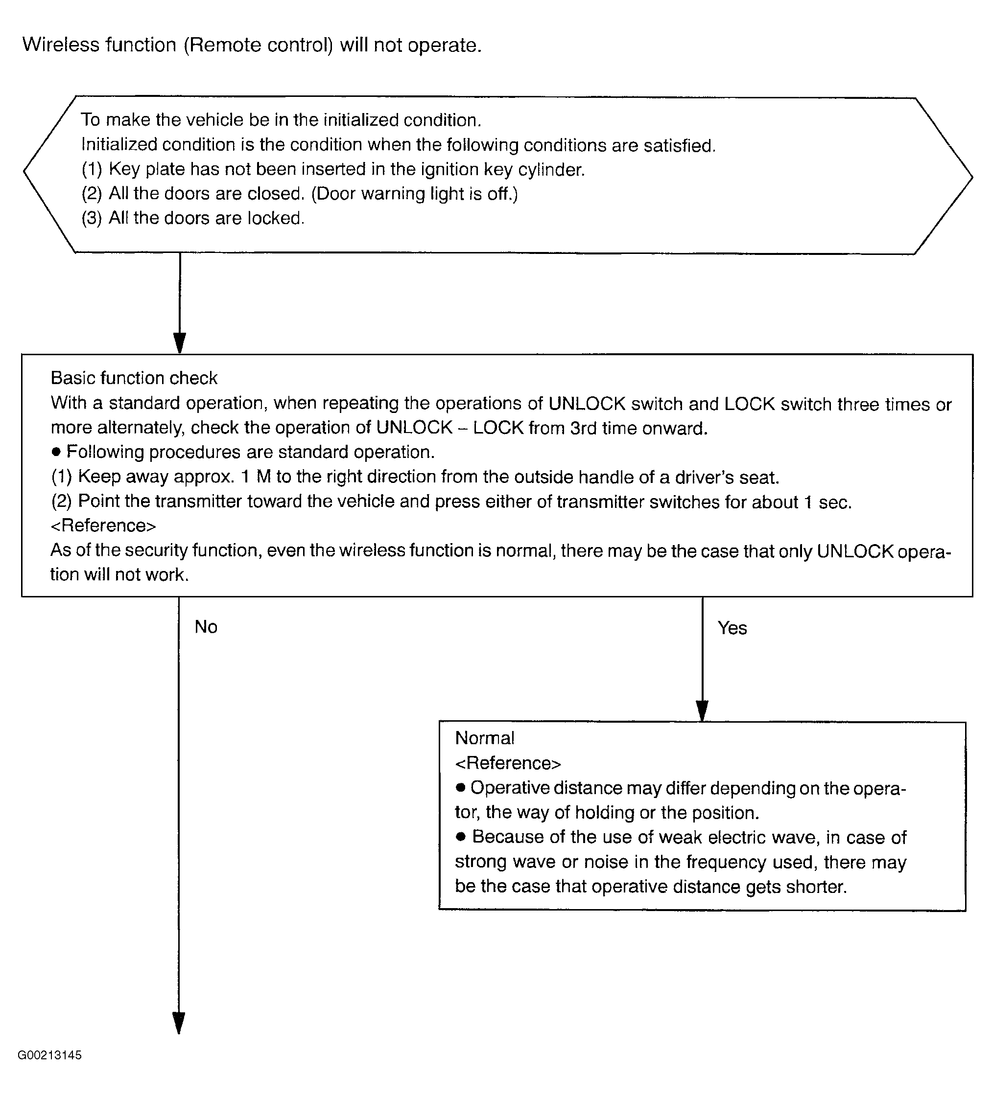
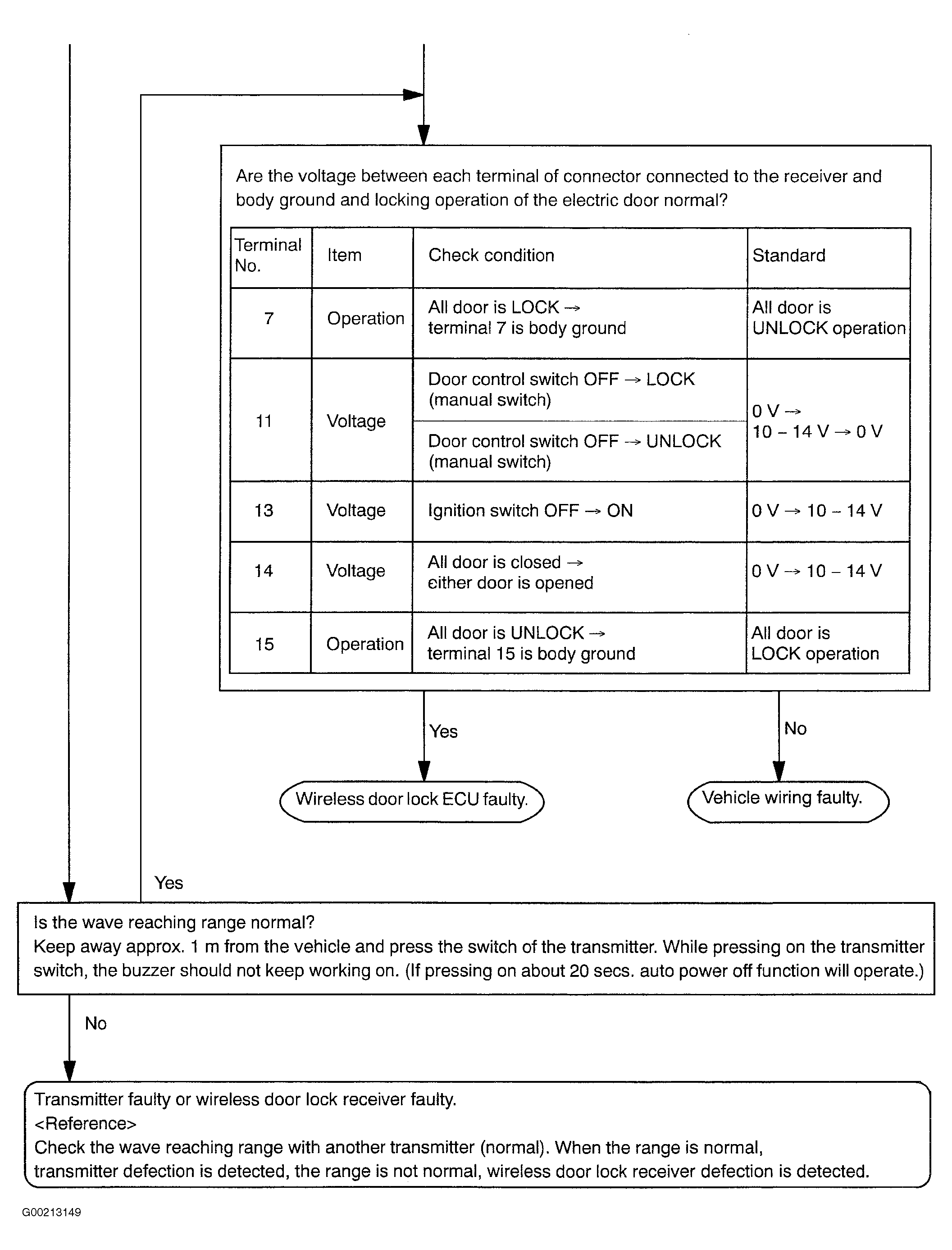
For pre-check, refer to the flowcharts. See Fig 1-Fig 5 .

Fig 1: Identifying Wireless Function Pre-Check Flowchart (1 Of 5)
G00213145Courtesy of © TOYOTA, LICENSE AGREEMENT TMS1002
Fig 2: Identifying Wireless Function Pre-Check Flowchart (2 Of 5)
G00213146Courtesy of © TOYOTA, LICENSE AGREEMENT TMS1002
Fig 3: Identifying Wireless Function Pre-Check Flowchart (3 Of 5)
G00213147Courtesy of © TOYOTA, LICENSE AGREEMENT TMS1002
Fig 4: Identifying Wireless Function Pre-Check Flowchart (4 Of 5)
G00213148Courtesy of © TOYOTA, LICENSE AGREEMENT TMS1002
Fig 5: Identifying Wireless Function Pre-Check Flowchart (5 Of 5)
G00213149Courtesy of © TOYOTA, LICENSE AGREEMENT TMS1002