LEMON Manuals: Even more car manuals for everyone: 1960-2025
Home >> Lexus >> 2002 >> RX 300 FWD >> Repair and Diagnosis (Single Page) >> Body & Frame >> Door Locks >> Remote Keyless Entry >> Programming >> Remote Transmitter Recognition Code Registration
April 5, 2026: LEMON Manuals is launched! Read the announcement.

Remote Transmitter Recognition Code Registration

  1. Select which operation mode should be performed from the following modes:
    • Add Mode -  The add mode is used to retain codes already registered while you register new recognition codes. This mode is used when adding a transmitter. However, if the number of registered codes exceeds 4 codes, previously registered codes are correspondingly erased in order, starting from the first registered code.
    • Rewrite Mode -  The rewrite mode is used to erase all previously registered codes and register only new recognition codes.
    • Prohibition Mode -  The prohibition mode is used to erase all registered codes and cancels the wireless door lock function. Use this mode when the transmitter is lost.
    • Confirmation Mode -  The confirmation mode is for confirming how many recognition codes are already registered before you register additional recognition codes.
  2. NOTE: When the procedure is out of the specified, the operation returns to normal operation. A maximum of 4 recognition codes can be registered.
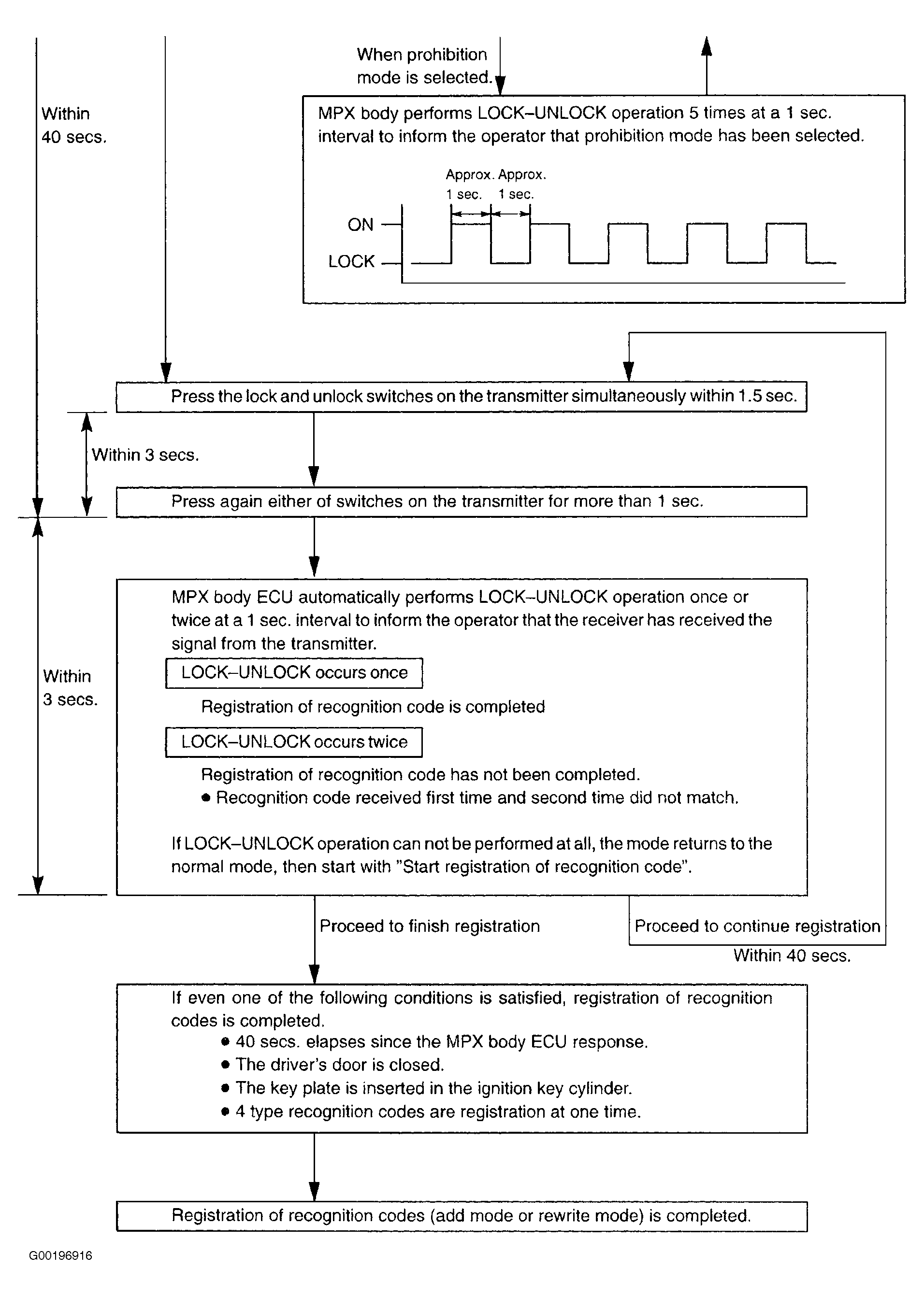
  3. Register the transmitter recognition code at the wireless door lock control receiver. See Fig 1-Fig 3 .
Fig 1: Identifying Registration Of Recognition Code Flowchart (1 Of 3)
G00196915Courtesy of © TOYOTA, LICENSE AGREEMENT TMS1002
Fig 2: Identifying Registration Of Recognition Code Flowchart (2 Of 3)
G00189843Courtesy of © TOYOTA, LICENSE AGREEMENT TMS1002
Fig 3: Identifying Registration Of Recognition Code Flowchart (3 Of 3)
G00196916Courtesy of © TOYOTA, LICENSE AGREEMENT TMS1002