LEMON Manuals: Even more car manuals for everyone: 1960-2025
Home >> Lexus >> 2004 >> GS 300 >> Repair and Diagnosis (Single Page) >> Body & Frame >> Windows >> Power Window Control System >> Troubleshooting
April 5, 2026: LEMON Manuals is launched! Read the announcement.

Power Window Control System: Troubleshooting

  1. WINDOW DOES NOT OPERATE WITH POWER WINDOW MASTER SWITCH. (MANUAL OR AUTOMATIC OPERATION CAN NOT BE PERFORMED.) 
    TROUBLE AREA CHART

    Trouble Suspect Area (terminal No.) Parts name
    All windows do not operate with master switch of each window. PWS terminal of body ECU does not output signal.
    • Body ECU PWS terminal (B8) output
    • Master Switch PW terminal (15) output
    • Check wire harness between PWS terminal and PW terminal (15)
    • Body ECU
    • Master switch
    Windows except driver's do not operate with master switch of each window. Master switch (window lock circuit) faulty
    • Check continuity between master switch PW terminal (15) and W/L2 terminal (10)
    • Check wire harness between W/L2 terminal of master switch (10) and PCT terminals of each power window switch.
    • Master switch
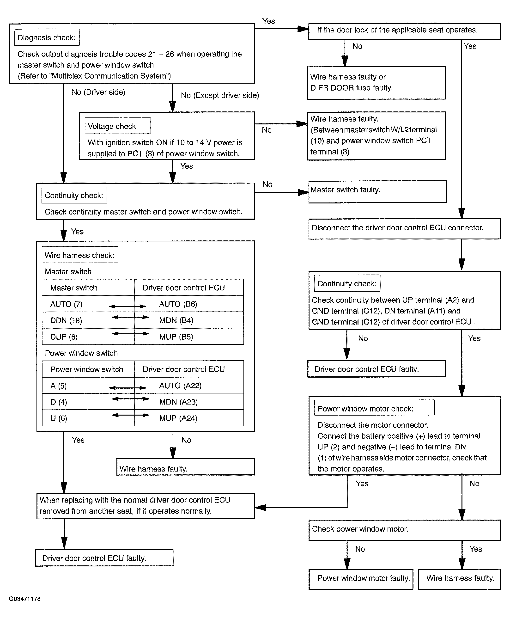
    Only specific window does not operate. (Manual and automatic operation can not be performed.) FLOW CHART < A > -
    Only specific window does not operate. (Automatic operation can not be performed.) When "Jam Protection" sensor is defective, automatic function as a fail-safe function might be unable.
    • Master switch
    • Power window switch
    • Door control ECU

    FLOW CHART < A >

    1. Only specific window does not operate. (Neither manual nor automatic operation is available.) 
      Fig 1: Flow Chart A
      G03471178Courtesy of © TOYOTA, LICENSE AGREEMENT TMS1002
  2. REMOTE CONTROL OF ALL WINDOWS (EXCEPT DRIVER'S) DOES NOT FUNCTION WITH MASTER SWITCH. (WINDOWS OPERATE NORMALLY WITH EACH OF MASTER SWITCHES. 
    TROUBLE AREA CHART

    Trouble Suspect Area (terminal No.) Parts name
    All windows (except driver's) do not operate by remote control. Fail-safe mode caused by leaving the master switch ON or short circuit occurred in remote control switch of master switch.
    • Check continuity of master switch.
    • Master switch
    Only passenger's door does not operate. (UP, DOWN and AUTO DOWN do not operate.) Driver door control ECU DT1 terminal does not output.
    • Driver door control ECU DT1 terminal (B3)
    • Master switch DT1 terminal (3)
    • Check wire harness between terminal DT1 (B3) and DT1 (3)
    • Driver door control ECU
    • Master switch
    Only passenger's door does not operate. (Each operation does not operate.) Master switch faulty
    • Check continuity of master switch.
    Only rear right side door does not operate. (UP, DOWN and AUTO DOWN do not operate.) Driver door control ECU DT2 terminal does not output.
    • Driver door control ECU DT2 terminal (B2)
    • Master switch DT2 terminal (11)
    • Check wire harness between terminal DT2 (B2) and DT2 (11)
    • Driver door control ECU
    • Master switch
    Only rear right side door does not operate. (Either UP, DOWN or AUTO DOWN does not operate.) Master switch faulty
    • Check continuity of master switch.
    Only rear left side door does not operate. (UP, DOWN and AUTO DOWN do not operate.) Driver door control ECU DT3 terminal does not output.
    • Driver door control ECU DT3 terminal (B1)
    • Master switch DT3 terminal (14)
    • Check wire harness between terminal DT3 (B1) and DT3(14)
    • Driver door control ECU
    • Master switch
    Only rear left side door does not operate. (Either UP, DOWN or AUTO DOWN does not operate.) Master switch faulty
    • Check continuity of master switch.
    • Driver door control ECU
    • Master switch
    Only UP operation does not operate. (All window (Except driver side) doors.) Master switch ON SC2 terminal does not output.
    Driver door control ECU SC2 terminal does not input.
    • Master switch SC2 terminal (12)
    • Driver door control ECU SC2 terminal (B10)
    • Check wire harness between terminal SC2 (12) and SC2(B10)
    • Driver door control ECU
    • Master switch
    Only UP operation does not operate. (Only specific window does not operate.) Master switch faulty
    • Check continuity of master switch.
    Only DOWN operation does not operate. (All window (Except driver side) doors.) Master switch ON SC1 terminal does not output.
    Driver door control ECU SC1 terminal does not input.
    • Master switch SC1 terminal (4)
    • Driver door control ECU SC1 terminal (B9)
    • Check wire harness between terminal SC1 (4) and SC1 (B9)
    • Driver door control ECU
    • Master switch
    Only DOWN operation does not operate. (Only specific window does not operate.) Master switch faulty
    • Check continuity of master switch.
    Only AUTO DOWN operation does not operate.
    (All window (Except driver side) doors.)
    Master switch ON SC3 terminal does not output.
    Driver door control ECU SC3 terminal does not input
    • Master switch SC3 terminal (13)
    • Driver door control ECU SC3 terminal (B11)
    • Check wire harness between terminal SC3 (13) and SC3 (B11)
    • Driver door control ECU
    • Master switch
    Only AUTO DOWN operation does not operate.
    (Only specific window does not operate.)
    Master switch faulty
    • Check continuity of master switch.
  3. THE KEY RELATED POWER WINDOW OPERATION DOES NOT OPERATE WITH DRIVER SIDE DOOR KEY CYLINDER. (MASTER SWITCH OPERATION IS NORMAL) 
    TROUBLE AREA CHART

    Trouble Suspect Area (terminal No.) Parts name
    Door lock system does not operate with door key. Refer to "POWER DOOR LOCK CONTROL SYSTEM ". -
    Door lock system does not operate with door key. Fail-safe mode caused by error on jam protection sensor of power window.
    (Operation of power window with multi-function transmitter is prohibited.)
    HINT: DTC 31 - 38 output
    Refer to MULTIPLEX COMMUNICATION SYSTEM - DIAGNOSTICS .
  4. POWER WINDOW DOES NOT OPERATE WITH MULTI-FUNCTION TRANSMITTER. (WINDOWS OPERATE NORMALLY WITH MASTER SWITCH.) 
    TROUBLE AREA CHART

    Trouble Suspect Area (terminal No.) Parts name
    Door lock and luggage compartment opener do not operate with multi-function transmitter. Refer to "WIRELESS DOOR LOCK CONTROL SYSTEM ". -
    Only luggage compartment opener operates with multi-function transmitter. Wireless door lock transmitter faulty. Check wireless door lock transmitter.
    Door lock and luggage compartment opener operate with multi-function transmitter. Fail-safe mode caused by error on jam protection sensor of power window.
    (Operation of power window with multi-function transmitter is prohibited.)
    HINT: DTC 31 - 38 output
    Refer to MULTIPLEX COMMUNICATION SYSTEM - DIAGNOSTICS .
  5. WINDOW MOVES DOWN WITHOUT BEING ORDERED DURING THE UP OPERATION 
    TROUBLE AREA CHART

    Trouble Suspect Area (terminal No.) Parts name
    After the window is fully closed, it starts to move down. Power window motor limit switch wire harness faulty.
    • Power window motor reset switch is reset.
    • Driver door control ECU LMT terminal (B12)
    • Driver door control ECU
    The window moves down during the up operation. FLOW CHART < B > -

    FLOW CHART 

    1. 2. The window moves down during the up operation. 
      Fig 2: Flow Chart B
      G03471179Courtesy of © TOYOTA, LICENSE AGREEMENT TMS1002