LEMON Manuals: Even more car manuals for everyone: 1960-2025
Home >> Lexus >> 2004 >> GS 430 >> Repair and Diagnosis >> Body & Frame >> Door Locks >> Wireless Door Lock Control System >> Pre-Check
April 5, 2026: LEMON Manuals is launched! Read the announcement.

Wireless Door Lock Control System: Pre-Check

Only wireless function (Remote control) will not operate. 

(If a new transmitter or a transmitter of the same type that works properly with the vehicle is not available.) 

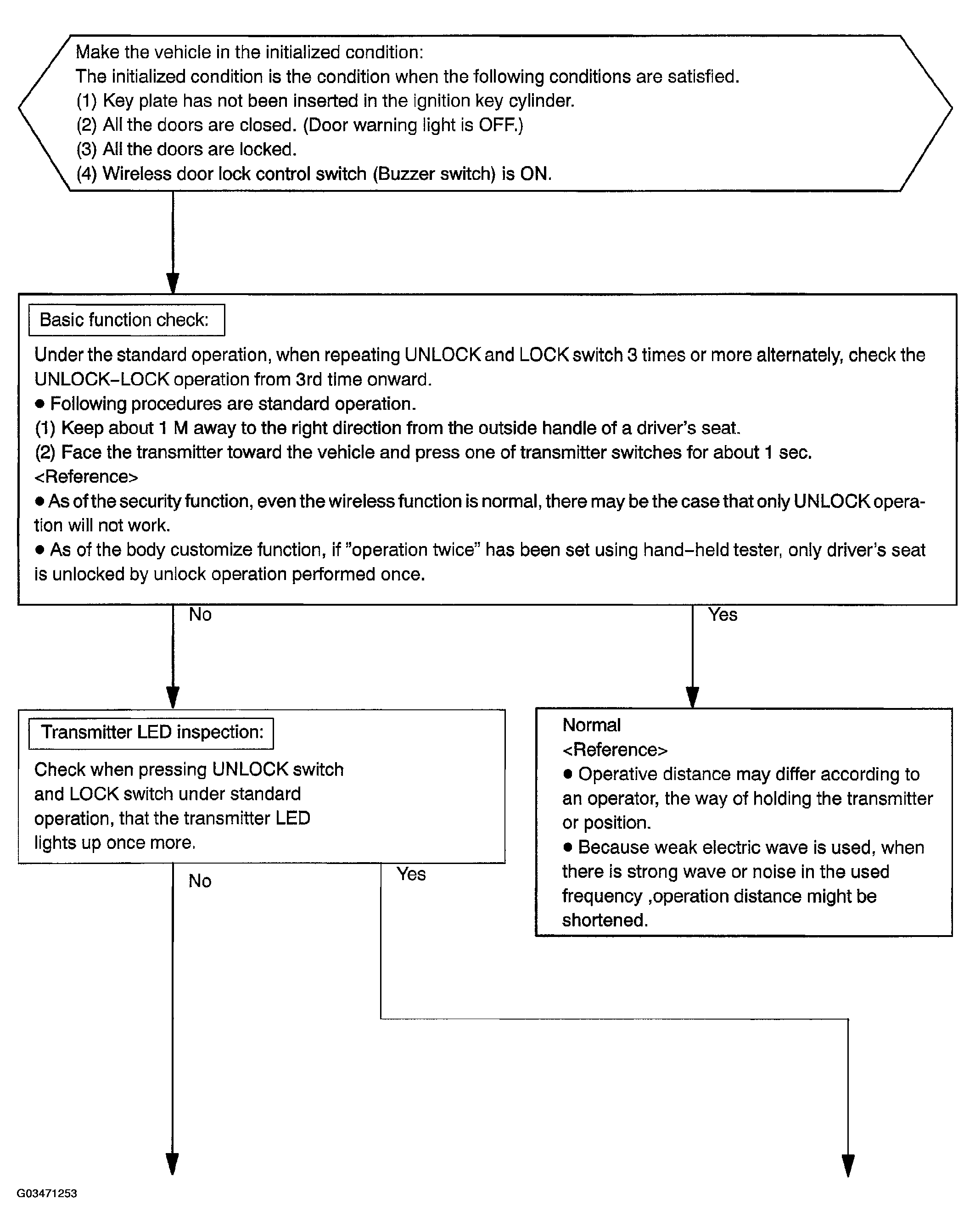
Fig 1: Pre-Check Flow Chart (1 Of 5)
G03471253Courtesy of © TOYOTA, LICENSE AGREEMENT TMS1002
Fig 2: Pre-Check Flow Chart (2 Of 5)
G03471254Courtesy of © TOYOTA, LICENSE AGREEMENT TMS1002
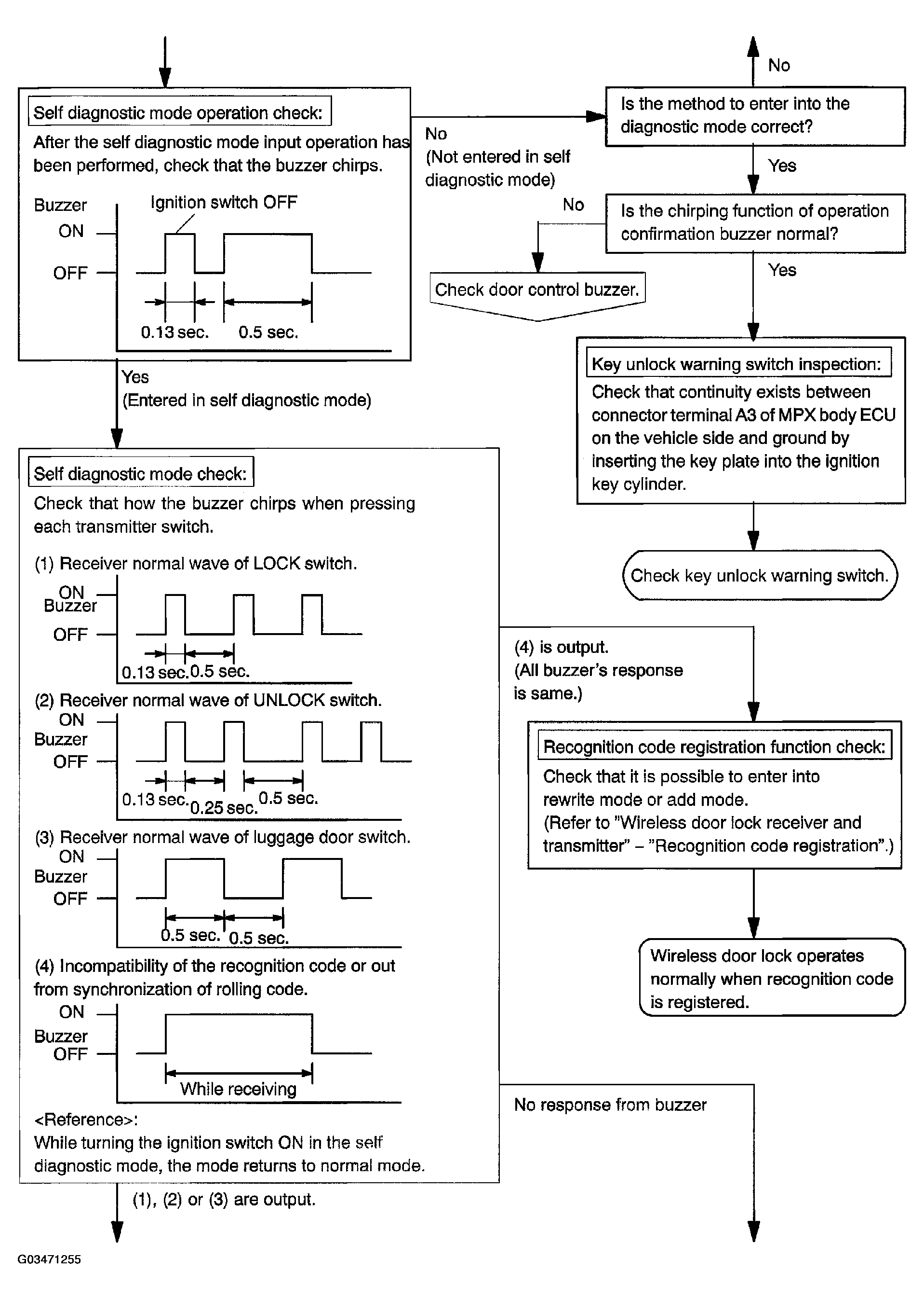
Fig 3: Pre-Check Flow Chart (3 Of 5)
G03471255Courtesy of © TOYOTA, LICENSE AGREEMENT TMS1002
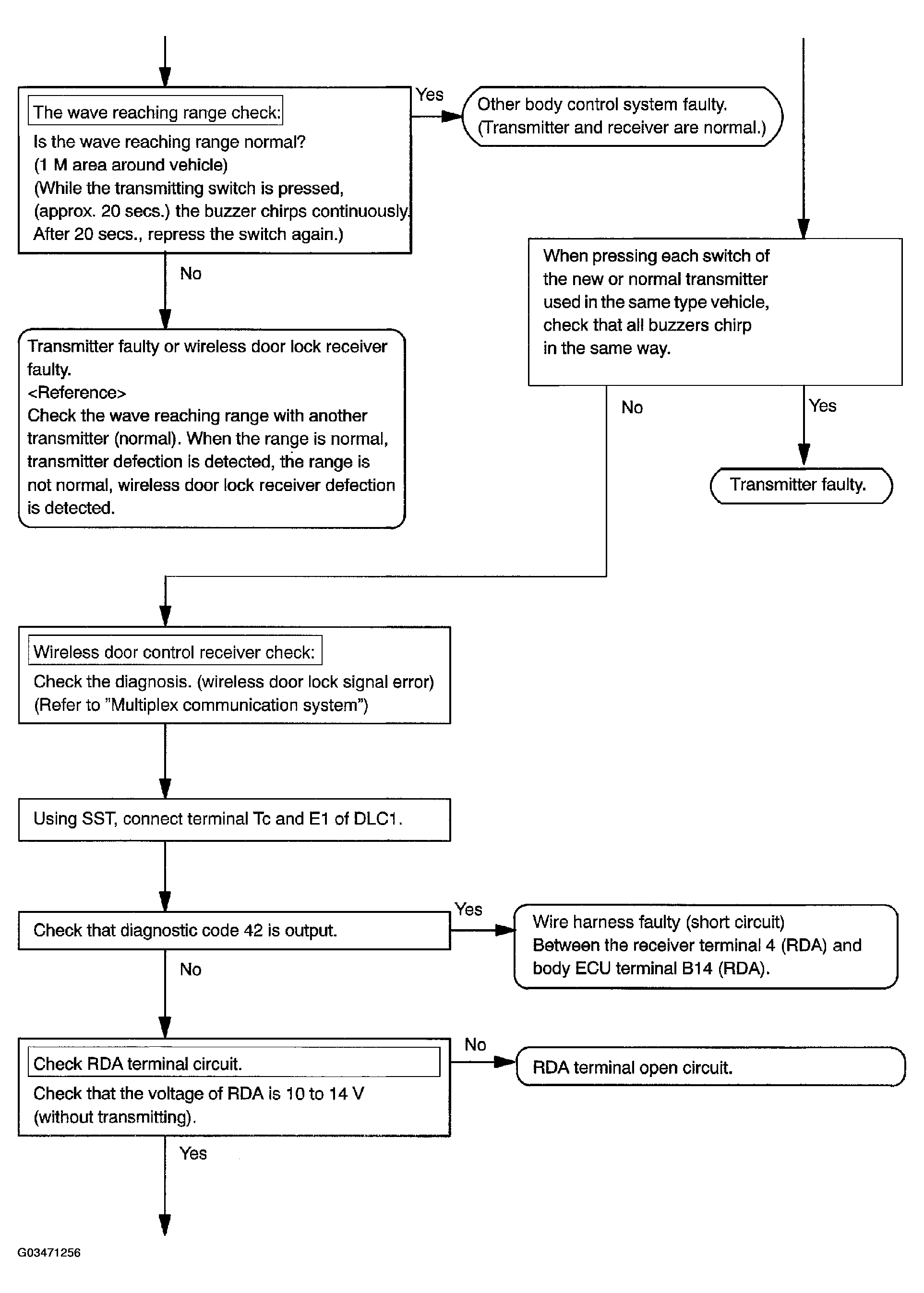
Fig 4: Pre-Check Flow Chart (4 Of 5)
G03471256Courtesy of © TOYOTA, LICENSE AGREEMENT TMS1002
Fig 5: Pre-Check Flow Chart (5 Of 5)
G03471257Courtesy of © TOYOTA, LICENSE AGREEMENT TMS1002