LEMON Manuals: Even more car manuals for everyone: 1960-2025
Home >> Lexus >> 2004 >> GX 470 >> Repair and Diagnosis (Single Page) >> Accessories & Equipment >> Anti-Theft Systems >> Door Control Transmitter Module >> Transmitter Sub-ASSY Module Set Door Control >> Registration
April 5, 2026: LEMON Manuals is launched! Read the announcement.

Transmitter Sub-ASSY Module Set Door Control: Registration

HINT:

  1. When Using Hand-held Tester: REGISTER RECOGNITION CODE 
    Fig 1: When Using Hand-Held Tester: Register Recognition Code - Flow Chart (1 Of 2)
    G00921228Courtesy of © TOYOTA, LICENSE AGREEMENT TMS1002
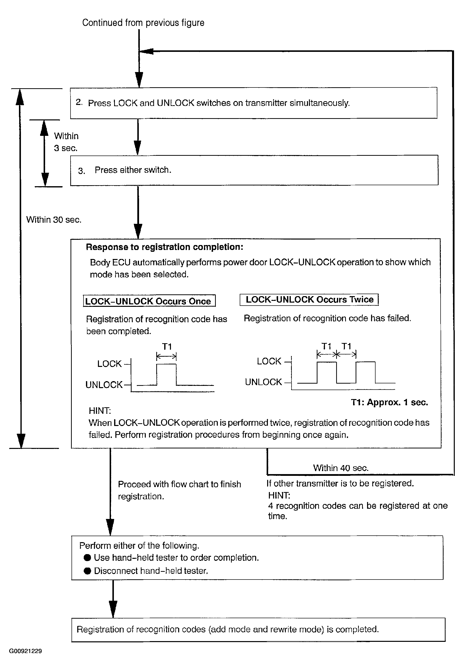
    Fig 2: When Using Hand-Held Tester: Register Recognition Code - Flow Chart (2 Of 2)
    G00921229Courtesy of © TOYOTA, LICENSE AGREEMENT TMS1002
  2. When not Using Hand-held Tester:REGISTER RECOGNITION CODE 
    Fig 3: When Not Using Hand-Held Tester: Register Recognition Code - Flow Chart (1 Of 4)
    G00921230Courtesy of © TOYOTA, LICENSE AGREEMENT TMS1002
    Fig 4: When Not Using Hand-Held Tester: Register Recognition Code - Flow Chart (2 Of 4)
    G00921231Courtesy of © TOYOTA, LICENSE AGREEMENT TMS1002
    Fig 5: When Not Using Hand-Held Tester: Register Recognition Code - Flow Chart (3 Of 4)
    G00921232Courtesy of © TOYOTA, LICENSE AGREEMENT TMS1002
    Fig 6: When Not Using Hand-Held Tester: Register Recognition Code - Flow Chart (4 Of 4)
    G00921233Courtesy of © TOYOTA, LICENSE AGREEMENT TMS1002