LEMON Manuals: Even more car manuals for everyone: 1960-2025
Home >> Lexus >> 2004 >> IS 300 Base, Automatic >> Repair and Diagnosis (Single Page) >> Body & Frame >> Windows >> Power Window Control System >> Troubleshooting
April 5, 2026: LEMON Manuals is launched! Read the announcement.

Power Window Control System: Troubleshooting

SYMPTOM TABLE

Malfunction symptoms Applicable
Driver's door does not operate.  1
Passenger's and all rear doors do not operate by using the switches at each seat.  2
Any of passenger's and rear doors does not operate by using the switches of each seat.  3
Passenger's and all rear doors are not controlled remotely by using the master switch. (Switches of each door can be operated.)  4
AUTO UP and AUTO DOWN does not operate. (Prepare a normal master switch.)  5
DOWN operation operates during door glass AUTO UP operation.  6
Even though a foreign object is caught, DOWN operation does not function.  7
After ignition switch has been turned to OFF by using a key, power window function does not operate.  8
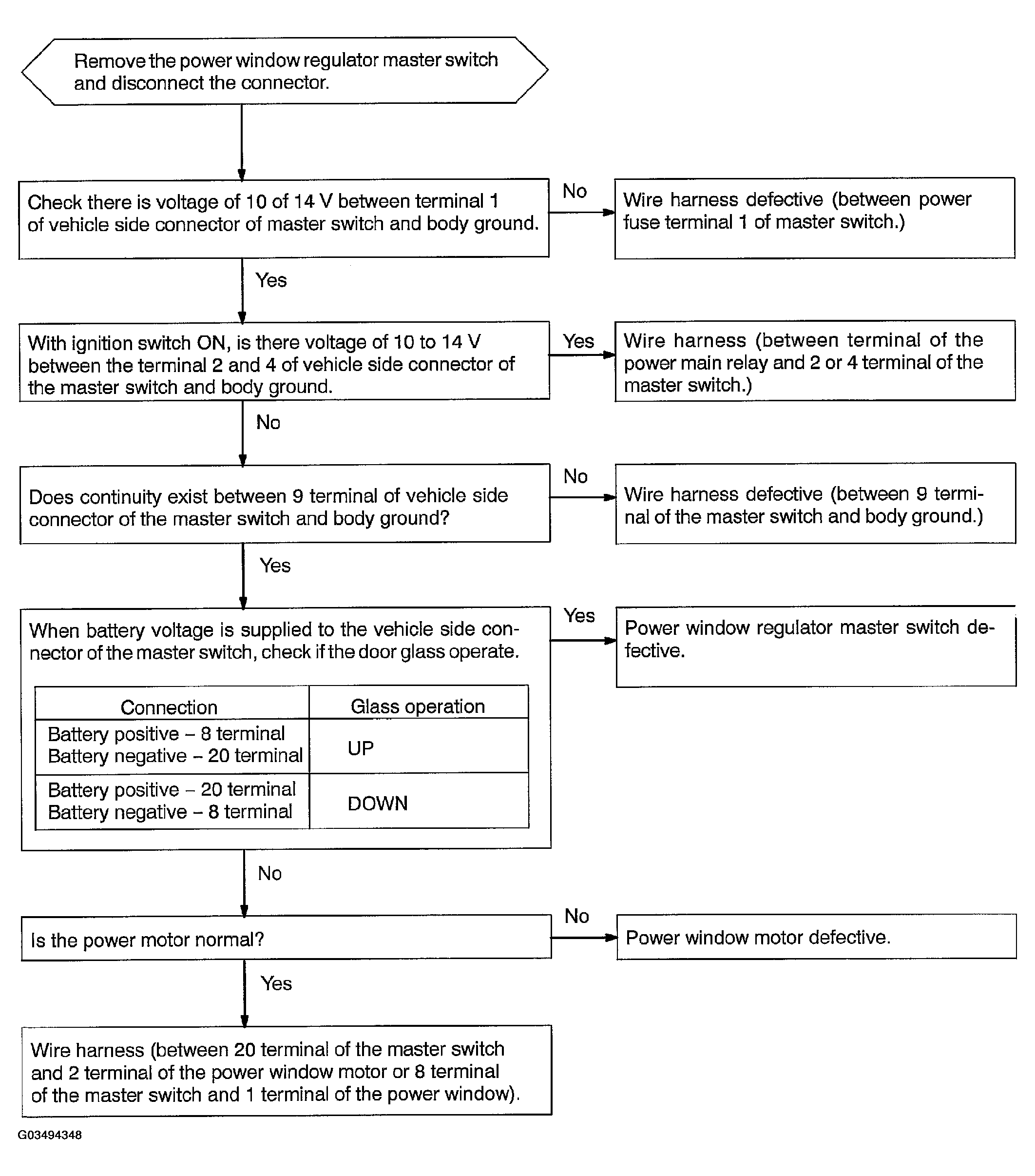
  1. Driver's door does not operate. 
    Fig 1: Driver's Door Does Not Operate Troubleshooting Chart
    G03494348Courtesy of © TOYOTA, LICENSE AGREEMENT TMS1002
  2. Passenger's and all rear doors do not operate by using the switches of each seat  .
    Fig 2: Passenger's & All Rear Doors Do Not Operate Using Switches Of Each Seat Troubleshooting Chart
    G03494349Courtesy of © TOYOTA, LICENSE AGREEMENT TMS1002
  3. Any of passenger's and all rear doors does not operate by using the switches at each seat. 
    Fig 3: Any Passenger's & All Rear Door Does Not Operate Using Switches At Each Seat Troubleshooting Chart
    G03494350Courtesy of © TOYOTA, LICENSE AGREEMENT TMS1002
  4. Passenger's and all rear doors are not controlled remotely by using the master switch. (Switches at each door can be operated.) 
    Fig 4: Passenger's & All Rear Door Are Not Control Remotely Using Master Switch Troubleshooting Chart
    G03494351Courtesy of © TOYOTA, LICENSE AGREEMENT TMS1002
  5. AUTO UP and AUTO DOWN do not operate. (Prepare a normal master switch.) 
    Fig 5: Auto Up & Down Do Not Operate Troubleshooting Chart
    G03494352Courtesy of © TOYOTA, LICENSE AGREEMENT TMS1002
  6. DOWN operates during door glass AUTO UP operation. 
    Fig 6: Down Operates During Door Glass Auto Up Operation Troubleshooting Chart
    G03494353Courtesy of © TOYOTA, LICENSE AGREEMENT TMS1002
  7. Even through a foreign object is caught, DOWN operation does not function. 
    Fig 7: Even Through Foreign Object Is Caught, Down Operation Does Not Function Troubleshooting Chart
    G03494354Courtesy of © TOYOTA, LICENSE AGREEMENT TMS1002
  8. After ignition switch has been turned OFF by using a key, power window function does not operate. 
    Fig 8: After Ignition Switch Turned Off Using Key, Power Window Function Does Not Operate Troubleshooting Chart
    G03494355Courtesy of © TOYOTA, LICENSE AGREEMENT TMS1002