LEMON Manuals: Even more car manuals for everyone: 1960-2025
Home >> Lexus >> 2004 >> LX 470 V8-4.7L (2UZ-FE) >> Repair and Diagnosis >> Body and Frame >> Locks >> Keyless Entry >> Keyless Entry Transmitter >> Testing and Inspection
April 5, 2026: LEMON Manuals is launched! Read the announcement.

Keyless Entry Transmitter: Testing and Inspection

Part 1:




Part 2:




Part 3:




Part 4:




Part 5:




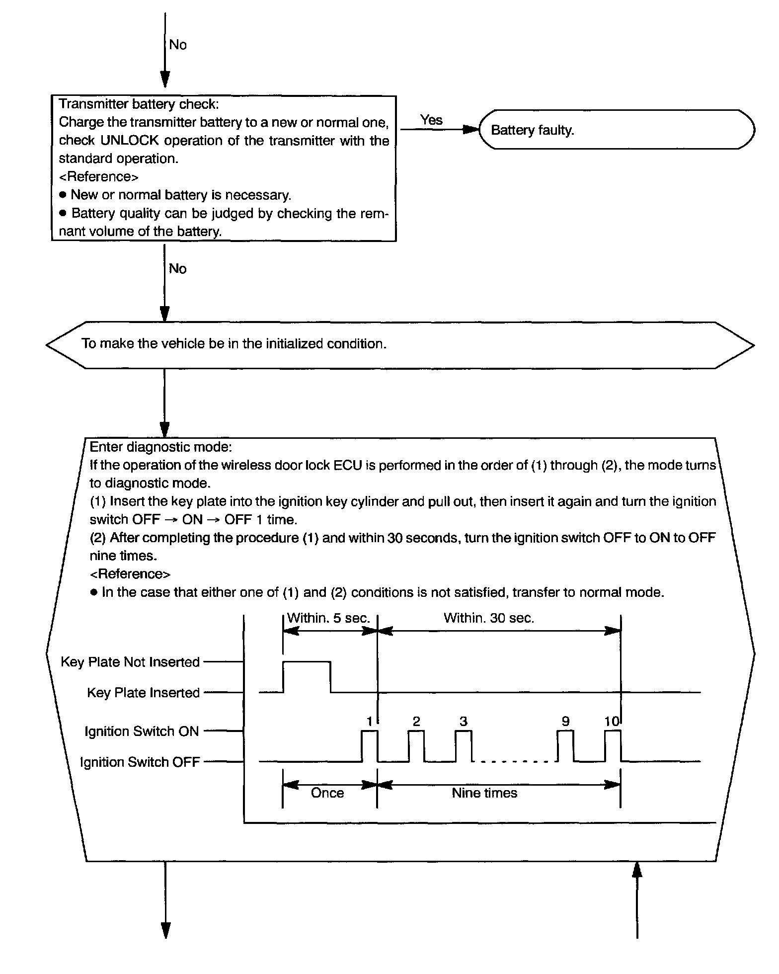
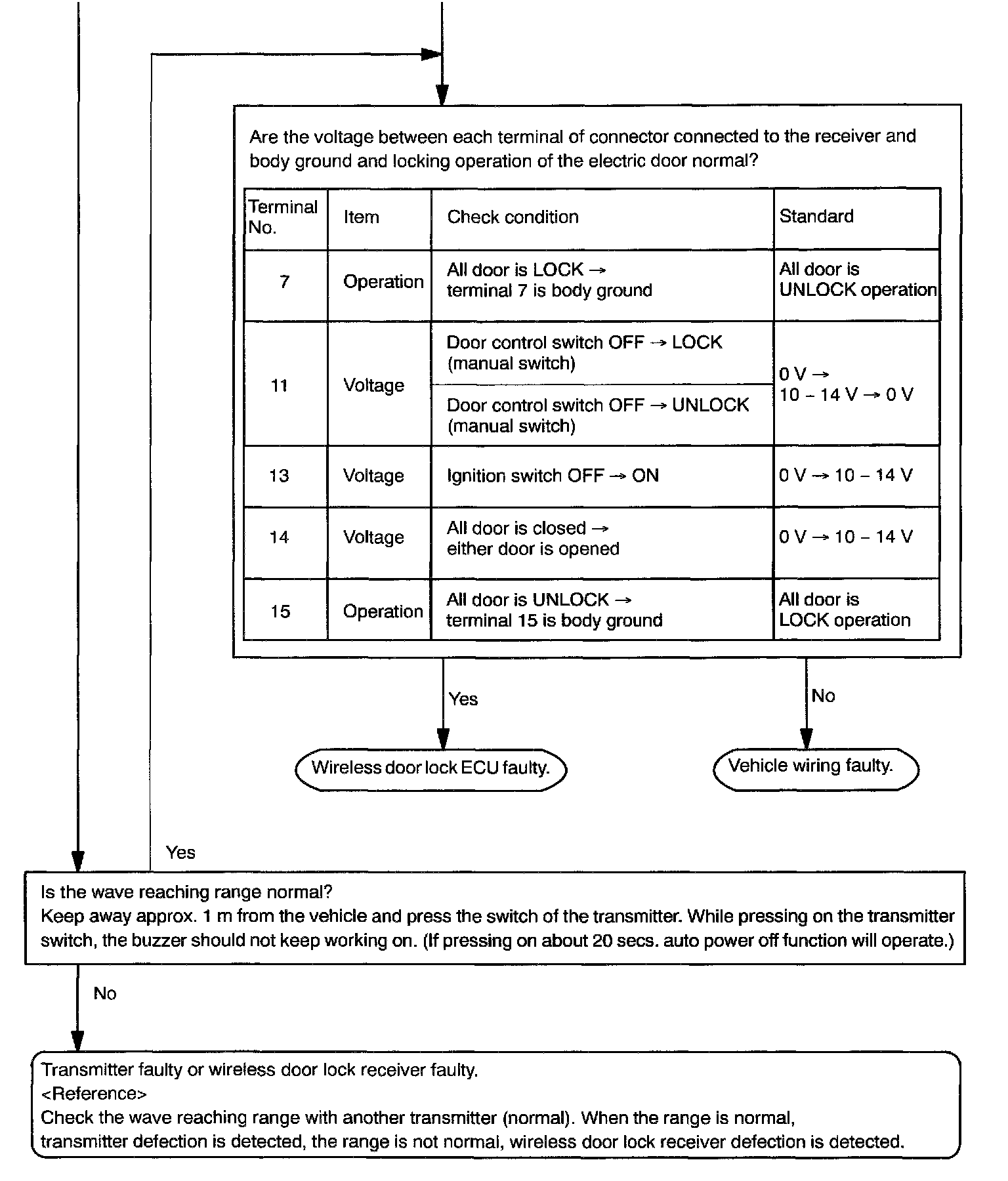
PRE-CHECK
Wireless function (Remote control) will not operate.

1. INSPECT WIRELESS DOOR LOCK TRANSMITTER OPERATION

HINT: Refer to "3. REPLACE TRANSMITTER (LITHIUM) BATTERY".

a. Using a screwdriver, remove the 2 screws and cover.
b. Remove the battery (lithium battery).




c. Install a new or normal battery (lithium battery).

HINT: When a new or normal battery can not be obtained, connect 2 new 1.5 V batteries in series, connect the battery (+) to the battery receptacle side terminal and battery (-) to the bottom terminal, then apply 3 V voltage to the transmitter.

d. In the location where is approx. 1 M away from driver's outside handle in the right direction, face the key plate of the transmitter to the vehicle, and check the transmitter operation when pressing transmission switch.

Standard:
- Remote control of vehicle door lock can be operated.
- LED lights up more than once.

HINT:
- The minimum operation distance differs according to operator, the way of holding the transmitter, and location.
- As weak wave is used, operation distance might be shortened when noise is detected in strong wave or used frequency.

e. Install the battery (lithium battery).
f. Install a cover so that O-ring is not distorted or slipped off.
g. Using a screwdriver, tighten the 2 screws.

2. CHECK BATTERY CAPACITY

HINT:
- Make sure to use the LEXUS electrical tester.
- With the battery unloaded, judge can not be made whether the battery is available or not on the test.
- When the transmitter is faulty, the energy amount left in the battery might not be checked correctly.
- On the lithium battery used for the transmitter, the voltage more than 2.5 V with the battery unloaded is shown on the tester until the energy is completely consumed. Accordingly when inspecting the energy amount left in the battery, it is necessary to measure the voltage when the battery is loaded. (1.2 k ohms).




a. Remove the screws and cover using a (+) driver.
b. Remove the battery (lithium battery) from the transmitter.
c. Connect the lead to the (-) terminal of the transmitter and install the battery.




d. Connect the (+) tester to the (+) battery (lithium battery), and (-) tester to the lead respectively.
e. Press one of the transmitting switches on the transmitter for approx. 1 second.
f. Press the transmitting switch on the transmitter again to check the voltage.

Standard: 2.1 V or more

HINT:
- When the temperature of the battery is low, the judge can not be made correctly.
When the outcome of the test is less than 2.1 V, conduct the test again after leaving the battery in the place at 18 °C for more than 30 minutes.
- By auto power off function, the voltage becomes no load voltage (more than 2.5 V) condition 20 seconds after the switch was pressed.
Make sure to read the voltage before of it.
- High voltage might be shown 1 to 2 times after leaving the battery, judge should be made with the voltage shown at the 3rd time or later.

g. Disconnect the lead.
h. Set the battery (lithium battery) in the transmitter.
i. Install the cover, so that the O-ring is not distorted or slipped off.
j. Using a screwdriver, tighten the 2 screws.

3. REPLACE TRANSMITTER (LITHIUM) BATTERY

NOTE: Special caution should be taken for handling each component as they are precision electronic components.




a. Using a screwdriver, remove the screw and cover.

NOTE: Do not pry out the cover forcibly.

HINT: Push the cover with a finger as shown in the illustration, so that there becomes clearance, then pry out the cover from that clearance.

b. Remove the transmitter.




c. Using a screwdriver, remove the 2 screws and cover.
d. Remove the battery (lithium battery).

NOTE:
- Do not push the terminals with a finger.
- If prying up the battery (lithium battery) forcibly to remove, the terminals are deformed.




e. Install a battery (lithium battery) as shown in the illustration.

NOTE: Face the battery upward. Take care not to deform the terminals.

f. Check that O-ring is not distorted or slipped off, and install the cover.
g. Using a screwdriver, tighten the 2 screws.

NOTE: When the shrews are tightened loosely, it might cause faulty contact of battery (lithium battery) and terminals.

h. Assemble the transmitter to the key plate and the cover.
i. Using a screwdriver, tighten the screw.

4. REPLACE DOOR CONTROL RECEIVER AND TRANSMITTER

NOTE: When replacing the door control receiver and transmitter, registration of recognition code is necessary because they are provided as single components.

a. Select which operation mode should be performed from the following modes.
- Add mode
- Rewrite mode
- Prohibition mode
- Confirmation mode

HINT:
- The add mode is used to retain codes already registered while you register new recognition codes. This mode is used when adding a transmitter. However, if the number of registered codes exceeds 4 codes, previously registered codes are correspondingly erased in order, starting from the first registered code.
- The rewrite mode is used to erase all previously registered codes and register only new recognition codes.
- The prohibition mode is used to erase all registered codes and cancels the wireless door lock function. Use this mode when the transmitter is lost.
- The confirmation mode is for confirming how many recognition codes are already registered before you register additional recognition codes.

Part 1:




Part 2:




Part 3:




Wireless Door Lock Control System:




b. Follow the charts shown above to register the transmitter recognition code at the wireless door lock control receiver.

HINT:
- When procedure is out of the specified, the operation returns to normal operation.
- Maximum 4 recognition codes can be registered.