LEMON Manuals: Even more car manuals for everyone: 1960-2025
Home >> Lexus >> 2007 >> LS 460 >> Repair and Diagnosis >> External Pages >> Different car >> Section 14 (Computer Relearn Procedures) >> Introduction >> Notes
April 5, 2026: LEMON Manuals is launched! Read the announcement.

Section 14 (Computer Relearn Procedures): Introduction: Notes

WARNING: This page does not describe the selected car, but rather 11 other vehicles, including the 2004 Nissan Xterra, 2004 Nissan Titan, 2004 Nissan Sentra, 2004 Nissan Quest, and 2004 Nissan Pathfinder. However, it is still accessible from the selected car via links, so may be relevant.
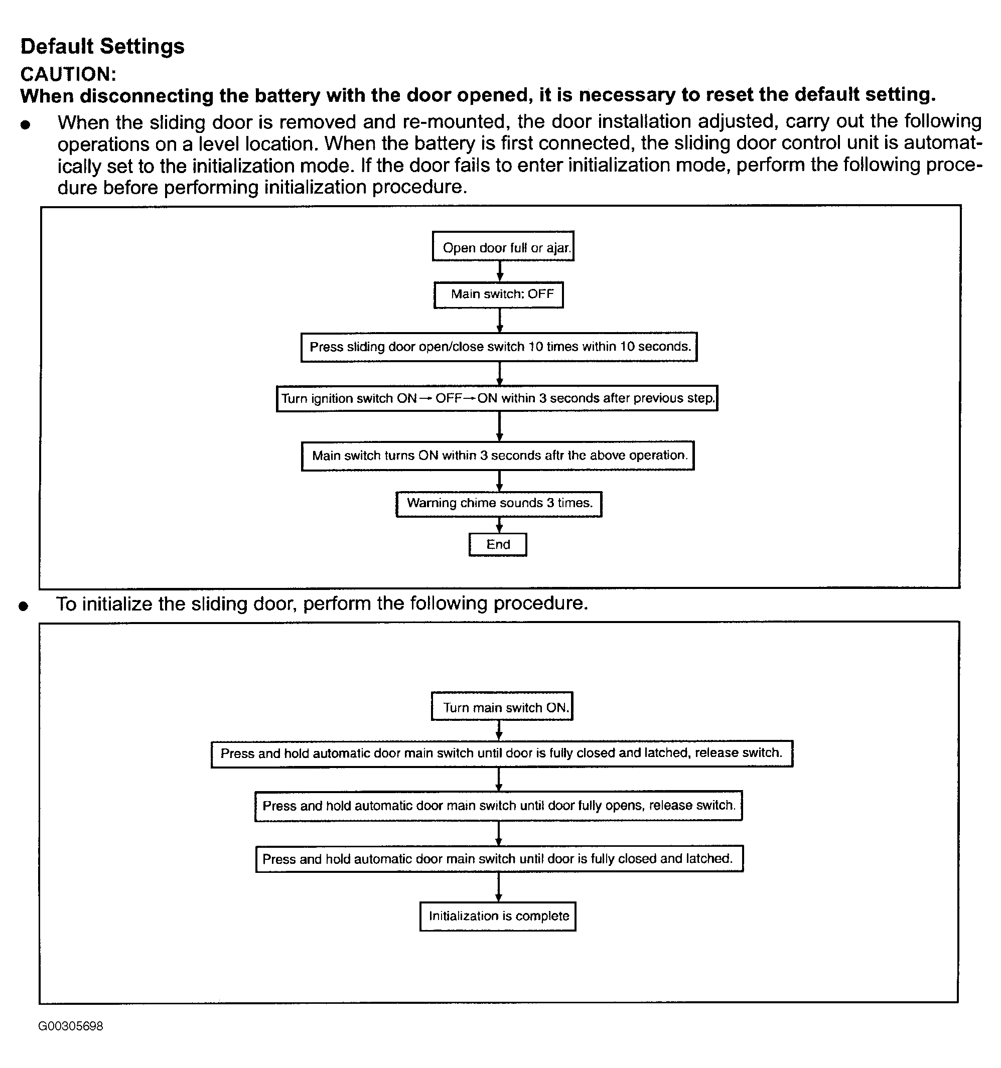
WARNING: On Quest models, some power sliding door (if equipped) functions may become disabled after the battery is disconnected and/or power supply is interrupted. Perform the following initialization procedure to restart the power sliding door so that all functions are enabled. See Fig 1.
Fig 1: Power Sliding Door Initialization Procedure (Quest)
G00305698Courtesy of NISSAN MOTOR CO., U.S.A.
WARNING: The 350Z is equipped with an automatic window adjusting function. When a door is opened, the window automatically lowers slightly to avoid contact between the window and the side roof panel. After the door is closed, the window will automatically raise slightly. On vehicles equipped with the automatic window adjusting function, lower both the driver and front passenger side windows before disconnecting the battery cables. This will prevent interference between the side window and the roof panel when either door is opened or closed. After the battery cables are disconnected, do not open/close the driver and/or front passenger door with the window in the full up position. The automatic window adjusting function will not work and the side roof panel or window may be damaged.
NOTE: Before replacing any component that scan tool suggests are faulty. Ensure that all wiring connections and harness connectors are okay. Ensure that power and ground circuits are functioning properly. For circuit identification, see ENGINE PERFORMANCE in appropriate SYSTEM WIRING DIAGRAMS article in ELECTRICAL.