LEMON Manuals: Even more car manuals for everyone: 1960-2025
Home >> Mazda >> 2001 >> Tribute DX 4WD L4-2.0L >> Repair and Diagnosis >> Diagrams >> Connector Views >> Powertrain Management >> Computers and Control Systems >> Engine Control Module
April 5, 2026: LEMON Manuals is launched! Read the announcement.

Engine Control Module






PID/DATA Monitor Reference Value (M/T) (Part 1):






PID/DATA Monitor Reference Value (M/T) (Part 2):






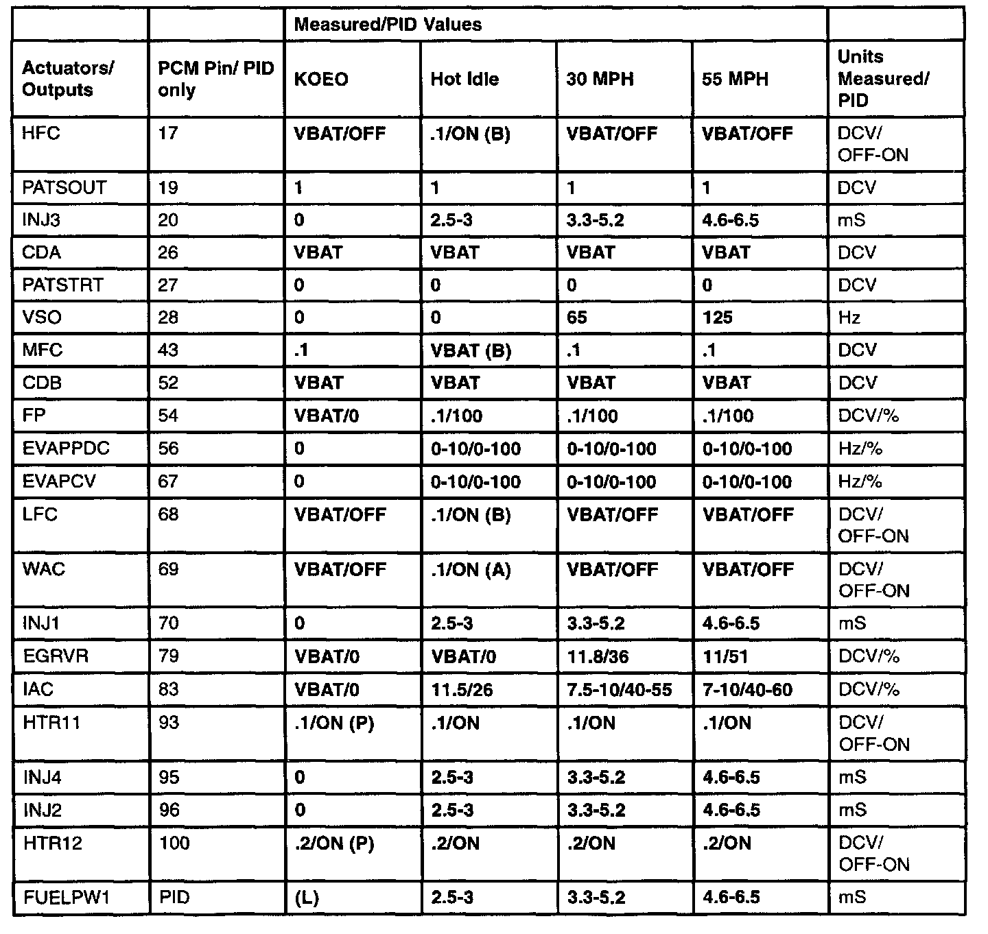
Typical Diagnostic Reference Values (Part 1):






Typical Diagnostic Reference Values (Part 2):