LEMON Manuals: Even more car manuals for everyone: 1960-2025
Home >> Mazda >> 2018 >> 6 Touring >> Repair and Diagnosis (Single Page) >> Accessories & Equipment >> Collision/Avoidance >> On-Board Diagnostic - 360DEGREES View Monitor Control Module >> Forward (360°View Monitor Control Module) >> Troubleshooting Procedure
April 5, 2026: LEMON Manuals is launched! Read the announcement.

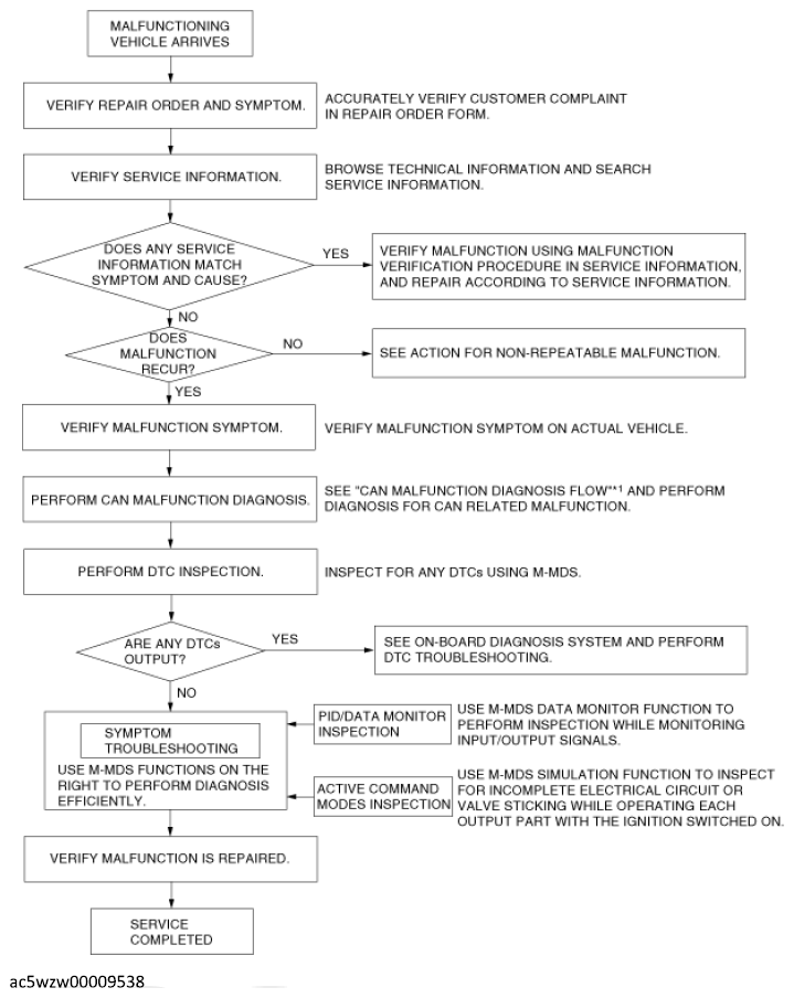
Troubleshooting Procedure

Fig 1: FORWARD Parking Assist Unit (Ultrasonic) Troubleshooting Procedure Flowchart
G12183572Courtesy of MAZDA MOTORS CORP.

*1: (See CONTROLLER AREA NETWORK (CAN) MALFUNCTION DIAGNOSIS FLOW [SKYACTIV-G 2.5] .) (See CONTROLLER AREA NETWORK (CAN) MALFUNCTION DIAGNOSIS FLOW [SKYACTIV-G 2.5T] .)