LEMON Manuals: Even more car manuals for everyone: 1960-2025
Home >> Mazda >> 2018 >> MX-5 Miata RF Club, Standard Trans >> Repair and Diagnosis >> Restraints >> Air Bag, SRS >> On-Board Diagnostic - SAS Control Module - Two-Step Deployment Control System >> Foreword (SAS Control Module (Two-Step Deployment Control System)) >> Troubleshooting Procedure
April 5, 2026: LEMON Manuals is launched! Read the announcement.

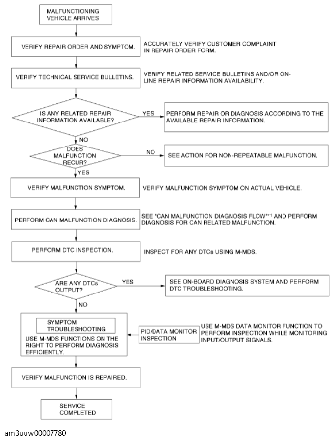
Troubleshooting Procedure

Fig 1: SAS Control Module - Troubleshooting Flowchart
G11276754Courtesy of MAZDA MOTORS CORP.